zadnja posodobitev :
31/03/2026
Antibiotik   Tobramycin sulfate  
Aerosol
Brizgalka Kapljice za oči Peroralna raztopina
Stabilnost farmacevtskih preparatov Stabilnost mešanice Faktorji, ki vplivajo na stabilnost Kompatibilnost Viri pdf
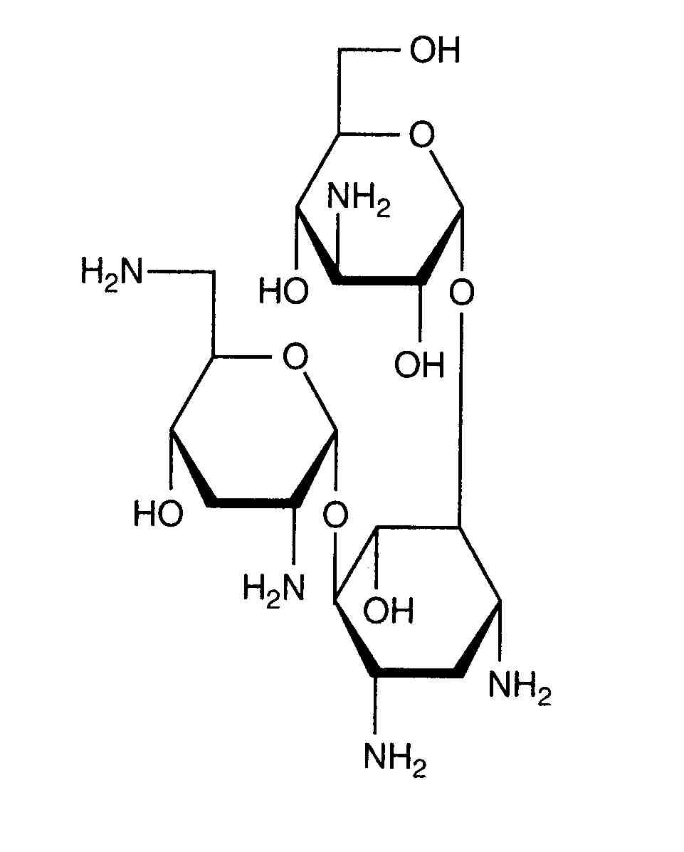
   Kemična formula  

Aerosol
Stabilnost mešanice   Aerosol   Stabilnost mešanice : Tobramycin sulfate     
Vsebnik Ekscipient Sestava Temperatura Shranjevanje Trajanje stabilnosti Viri
Steklo
NaCl 0.9% 2 ml
Aerosol   Tobramycin sulfate Medicinske steklenica za injiciranje40 mg=1   ® = ?
Aerosol   Salbutamol sulfate Medicinske steklenica za injiciranje2,5 mg=0  ® = ?
4°C
7 Dan
Nedoločeno 2960
Polipropilen
Aerosol   Tobramycin sulfate Medicinske steklenica za injiciranje30mg/4 mL  Bramitob® (Asche Chiesi)
Aerosol   Colistin mesilate sodium Medicinske steklenica za injiciranje80mg/3mL  Colistin CF®
25°C
24 čas
Svetloba 3440
Polipropilen
Aerosol   Tobramycin sulfate Medicinske steklenica za injiciranje300mg/5mL  Tobi® (Novartis)
Aerosol   Colistin mesilate sodium Medicinske steklenica za injiciranje80mg/3mL  Colistin CF®
25°C
24 čas
Svetloba 3440
Polipropilen
Aerosol   Tobramycin sulfate Medicinske steklenica za injiciranje300mg/4mL  Bramitob® (Asche Chiesi)
Aerosol   Colistin mesilate sodium Medicinske steklenica za injiciranje80mg/3mL  Colistin CF®
25°C
24 čas
Svetloba 3440

  Mentions Légales