Seneste opdatering :
31/03/2026
Antibiotisk   Tobramycin sulfate  
Aerosol
Injektion Oral opløsning Øjendråber
Stabilitet af farmaceutiske tilberedninger Stabilitet i blandinger Faktorer der påvirker stabiliteten Kompatibilitet Bibliografi pdf
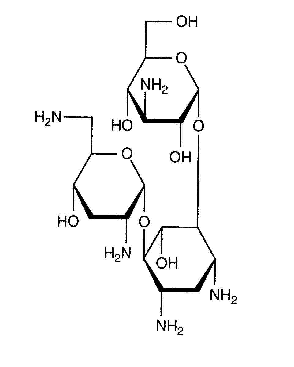
   Kemisk struktur  

Aerosol
Stabilitet i blandinger   Aerosol   Stabilitet i blandinger : Tobramycin sulfate     
Beholder Hjælpestof Molekyle Temperatur Konservering Varighed af stabilitet Bibliografi
Glas
NaCl 0.9% 2 ml
Aerosol   Tobramycin sulfate Medicinflaske til injektion40 mg=1   ® = ?
Aerosol   Salbutamol sulfate Medicinflaske til injektion2,5 mg=0  ® = ?
4°C
7 Dag
Ikke nærmere angivet 2960
Polypropylen
Aerosol   Tobramycin sulfate Medicinflaske til injektion30mg/4 mL  Bramitob® (Asche Chiesi)
Aerosol   Colistin mesilate sodium Medicinflaske til injektion80mg/3mL  Colistin CF®
25°C
24 Time
Lys 3440
Polypropylen
Aerosol   Tobramycin sulfate Medicinflaske til injektion300mg/5mL  Tobi® (Novartis)
Aerosol   Colistin mesilate sodium Medicinflaske til injektion80mg/3mL  Colistin CF®
25°C
24 Time
Lys 3440
Polypropylen
Aerosol   Tobramycin sulfate Medicinflaske til injektion300mg/4mL  Bramitob® (Asche Chiesi)
Aerosol   Colistin mesilate sodium Medicinflaske til injektion80mg/3mL  Colistin CF®
25°C
24 Time
Lys 3440

  Mentions Légales