最新更新 :
31/03/2026
抗生素   Tobramycin sulfate  
气雾剂
口服剂 注射液 眼药水
制剂的稳定性 混合物稳定性 影响稳定性的因素 兼容性 引用文献 PDF
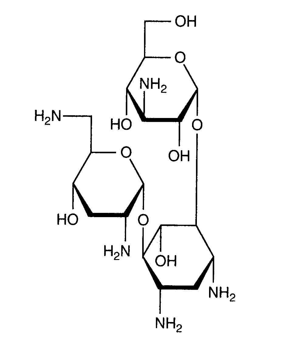
   化学式  

气雾剂
混合物稳定性   气雾剂   混合物稳定性 : Tobramycin sulfate     
容器 添加剂 分子 温度 保存 穩定持續時間 引用文献
玻璃
NaCl 0.9% 2 ml
气雾剂   Tobramycin sulfate 注射用瓶40 mg=1   ® = ?
气雾剂   Salbutamol sulfate 注射用瓶2,5 mg=0  ® = ?
4°C
7 白天
无特殊要求 2960
聚丙烯
气雾剂   Tobramycin sulfate 注射用瓶30mg/4 mL  Bramitob® (Asche Chiesi)
气雾剂   Colistin mesilate sodium 注射用瓶80mg/3mL  Colistin CF®
25°C
24 小时
光 3440
聚丙烯
气雾剂   Tobramycin sulfate 注射用瓶300mg/5mL  Tobi® (Novartis)
气雾剂   Colistin mesilate sodium 注射用瓶80mg/3mL  Colistin CF®
25°C
24 小时
光 3440
聚丙烯
气雾剂   Tobramycin sulfate 注射用瓶300mg/4mL  Bramitob® (Asche Chiesi)
气雾剂   Colistin mesilate sodium 注射用瓶80mg/3mL  Colistin CF®
25°C
24 小时
光 3440

  Mentions Légales