Poslední aktualizace :
31/03/2026
Antibiotikas   Tobramycin sulfate  
Aerozolis
Akių lašai Geriamas tirpalas Įpurškimas
Stabilumas farmacinių preparatų Mišinių stabilumas Stabilumą lemiantys veiksniai Suderinamumas Bibliografija pdf
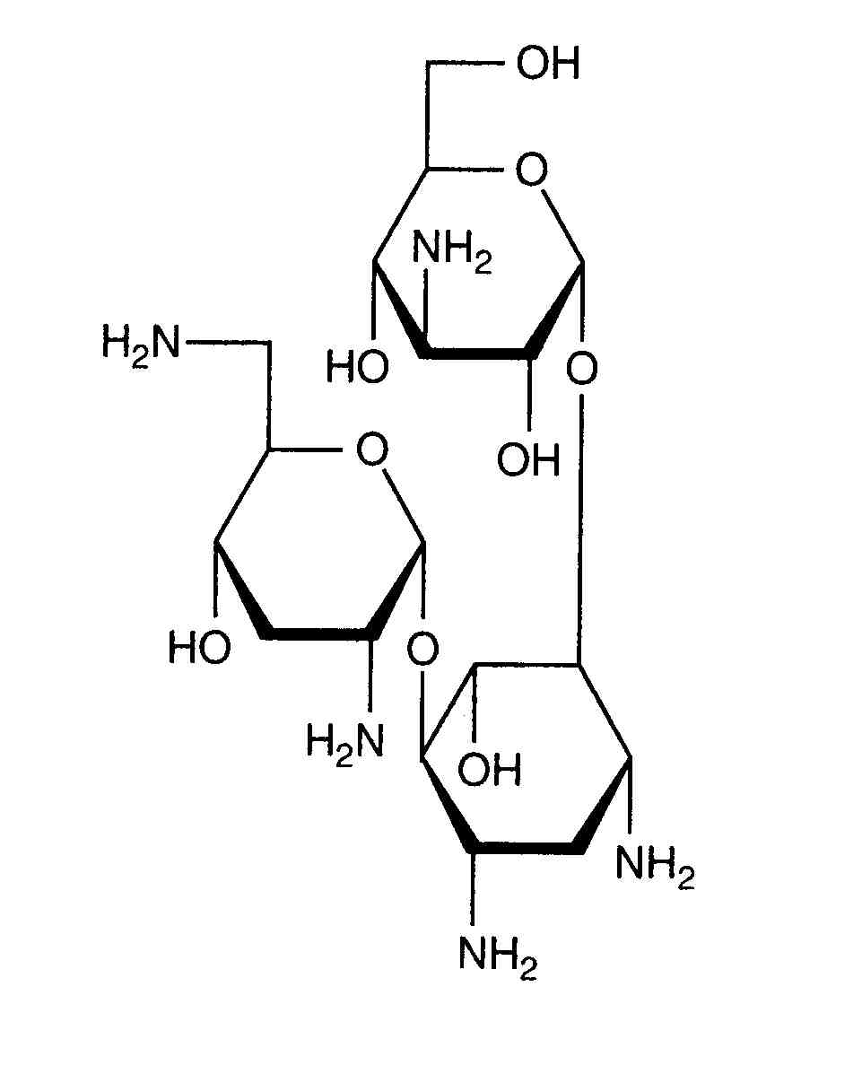
   Cheminė sandara  

Aerozolis
Mišinių stabilumas   Aerozolis   Mišinių stabilumas : Tobramycin sulfate     
Pakuotė Ekscipientas Molekulė Temperatūra Laikymas Stabilumo trukmė Nuorodos
Stiklas
NaCl 0,9 % 2 ml
Aerozolis   Tobramycin sulfate Vaistų buteliukas injekcijoms40 mg=1   ® = ?
Aerozolis   Salbutamol sulfate Vaistų buteliukas injekcijoms2,5 mg=0  ® = ?
4°C
7 Diena
Nenurodyta 2960
Polipropilenas
Aerozolis   Tobramycin sulfate Vaistų buteliukas injekcijoms30mg/4 mL  Bramitob® (Asche Chiesi)
Aerozolis   Colistin mesilate sodium Vaistų buteliukas injekcijoms80mg/3mL  Colistin CF®
25°C
24 Valanda
Šviesa 3440
Polipropilenas
Aerozolis   Tobramycin sulfate Vaistų buteliukas injekcijoms300mg/5mL  Tobi® (Novartis)
Aerozolis   Colistin mesilate sodium Vaistų buteliukas injekcijoms80mg/3mL  Colistin CF®
25°C
24 Valanda
Šviesa 3440
Polipropilenas
Aerozolis   Tobramycin sulfate Vaistų buteliukas injekcijoms300mg/4mL  Bramitob® (Asche Chiesi)
Aerozolis   Colistin mesilate sodium Vaistų buteliukas injekcijoms80mg/3mL  Colistin CF®
25°C
24 Valanda
Šviesa 3440

  Mentions Légales