آخر تحديث :
31/03/2026
مضاد حيوي   Tobramycin sulfate  
الأيروصولات
حقن عن طريق الفم  قطرات العين
استقرار المستحضرات الصيدلانية استقرار مخاليط العوامل التي تؤثر على الاستقرار التوافق مراجع pdf
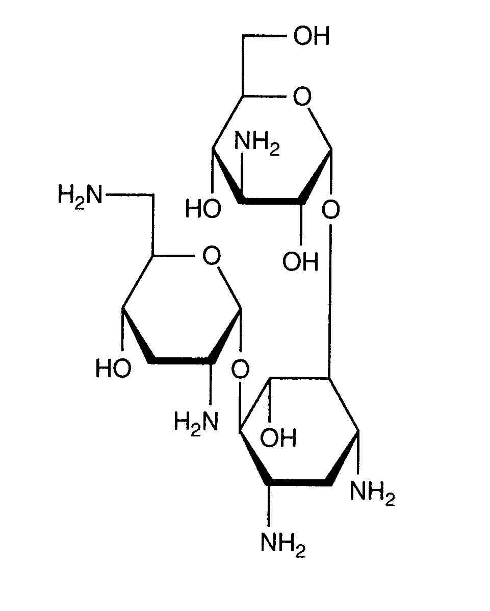
   التركيب الكيميائي  

الأيروصولات
استقرار مخاليط   الأيروصولات   استقرار مخاليط : Tobramycin sulfate     
حاوية الاضافات مركب درجة الحرارة تخزين مدة الاستقرار مراجع
زجاج
كلوريد الصوديوم 0.9 2 ml
الأيروصولات   Tobramycin sulfate زجاجة الدواء للحقن40 mg=1   ® = ?
الأيروصولات   Salbutamol sulfate زجاجة الدواء للحقن2,5 mg=0  ® = ?
4°C
7 يوم
لم يتم تحديد 2960
البولي بروبلين
الأيروصولات   Tobramycin sulfate زجاجة الدواء للحقن30mg/4 mL  Bramitob® (Asche Chiesi)
الأيروصولات   Colistin mesilate sodium زجاجة الدواء للحقن80mg/3mL  Colistin CF®
25°C
24 ساعة
ضوء 3440
البولي بروبلين
الأيروصولات   Tobramycin sulfate زجاجة الدواء للحقن300mg/5mL  Tobi® (Novartis)
الأيروصولات   Colistin mesilate sodium زجاجة الدواء للحقن80mg/3mL  Colistin CF®
25°C
24 ساعة
ضوء 3440
البولي بروبلين
الأيروصولات   Tobramycin sulfate زجاجة الدواء للحقن300mg/4mL  Bramitob® (Asche Chiesi)
الأيروصولات   Colistin mesilate sodium زجاجة الدواء للحقن80mg/3mL  Colistin CF®
25°C
24 ساعة
ضوء 3440

  Mentions Légales