Siste oppdatering :
31/03/2026
Antibiotika   Tobramycin sulfate  
Aerosol
Injeksjon Mikstur Øyedråper
Stabilitet av farmasøytiske preparater Stabilitet i blandinger Faktorer som påvirker stabiliteten Kompatibilitet Referanser pdf
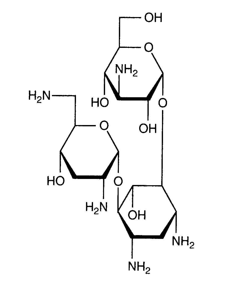
   Kjemisk struktur  

Aerosol
Stabilitet i blandinger   Aerosol   Stabilitet i blandinger : Tobramycin sulfate     
Beholder Hjelpestoff Legemiddel Temperatur Oppbevaring Varighet av stabilitet Referanser
Glass
NaCl 0.9% 2 ml
Aerosol   Tobramycin sulfate Hetteglass40 mg=1   ® = ?
Aerosol   Salbutamol sulfate Hetteglass2,5 mg=0  ® = ?
4°C
7 Dag
Ikke angitt 2960
Polypropylen
Aerosol   Tobramycin sulfate Hetteglass30mg/4 mL  Bramitob® (Asche Chiesi)
Aerosol   Colistin mesilate sodium Hetteglass80mg/3mL  Colistin CF®
25°C
24 Tid
Lys 3440
Polypropylen
Aerosol   Tobramycin sulfate Hetteglass300mg/5mL  Tobi® (Novartis)
Aerosol   Colistin mesilate sodium Hetteglass80mg/3mL  Colistin CF®
25°C
24 Tid
Lys 3440
Polypropylen
Aerosol   Tobramycin sulfate Hetteglass300mg/4mL  Bramitob® (Asche Chiesi)
Aerosol   Colistin mesilate sodium Hetteglass80mg/3mL  Colistin CF®
25°C
24 Tid
Lys 3440

  Mentions Légales