Ostatnia aktualizacja :
31/03/2026
Antybiotyk   Tobramycin sulfate  
Aerozol
Injekcje Krople oczne Roztwór doustny
Stabilność preparatów farmaceutycznych Trwałość w mieszaninie Czynnik wpływający na trwałość Zgodność Bibliografia pdf
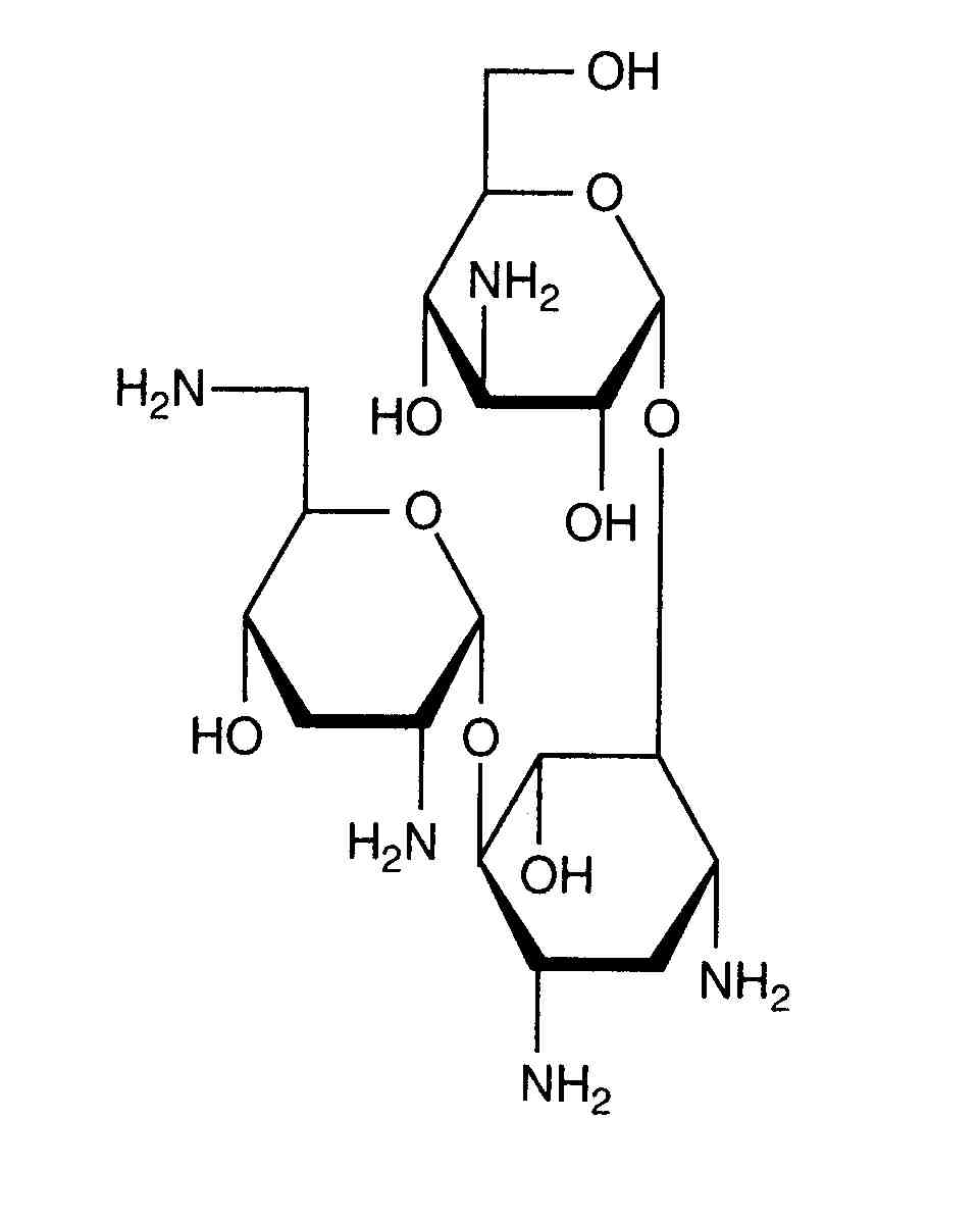
   Struktura chemiczna  

Aerozol
Trwałość w mieszaninie   Aerozol   Trwałość w mieszaninie : Tobramycin sulfate     
Pojemnik Substancja pomocniczna Związek Temperatura Przechowywanie Czas trwania stabilności Bibliografia
Szkło
NaCl 0.9% 2 ml
Aerozol   Tobramycin sulfate Fiolka40 mg=1   ® = ?
Aerozol   Salbutamol sulfate Fiolka2,5 mg=0  ® = ?
4°C
7 Dzień
Nie wyszczególniony 2960
Polipropylen
Aerozol   Tobramycin sulfate Fiolka30mg/4 mL  Bramitob® (Asche Chiesi)
Aerozol   Colistin mesilate sodium Fiolka80mg/3mL  Colistin CF®
25°C
24 Godzina
światło 3440
Polipropylen
Aerozol   Tobramycin sulfate Fiolka300mg/5mL  Tobi® (Novartis)
Aerozol   Colistin mesilate sodium Fiolka80mg/3mL  Colistin CF®
25°C
24 Godzina
światło 3440
Polipropylen
Aerozol   Tobramycin sulfate Fiolka300mg/4mL  Bramitob® (Asche Chiesi)
Aerozol   Colistin mesilate sodium Fiolka80mg/3mL  Colistin CF®
25°C
24 Godzina
światło 3440

  Mentions Légales