Cập nhật lần cuối :
17/12/2025
thuốc trị ung thư   Paclitaxel  
Dạng tiêm
Tính ổn định của các dung dịch Độ ổn định khi trộn lẫn Những yếu tố ảnh hưởng đến độ ổn định Khả năng tương thích Đường dùng Tài liệu tham khảo Pdf
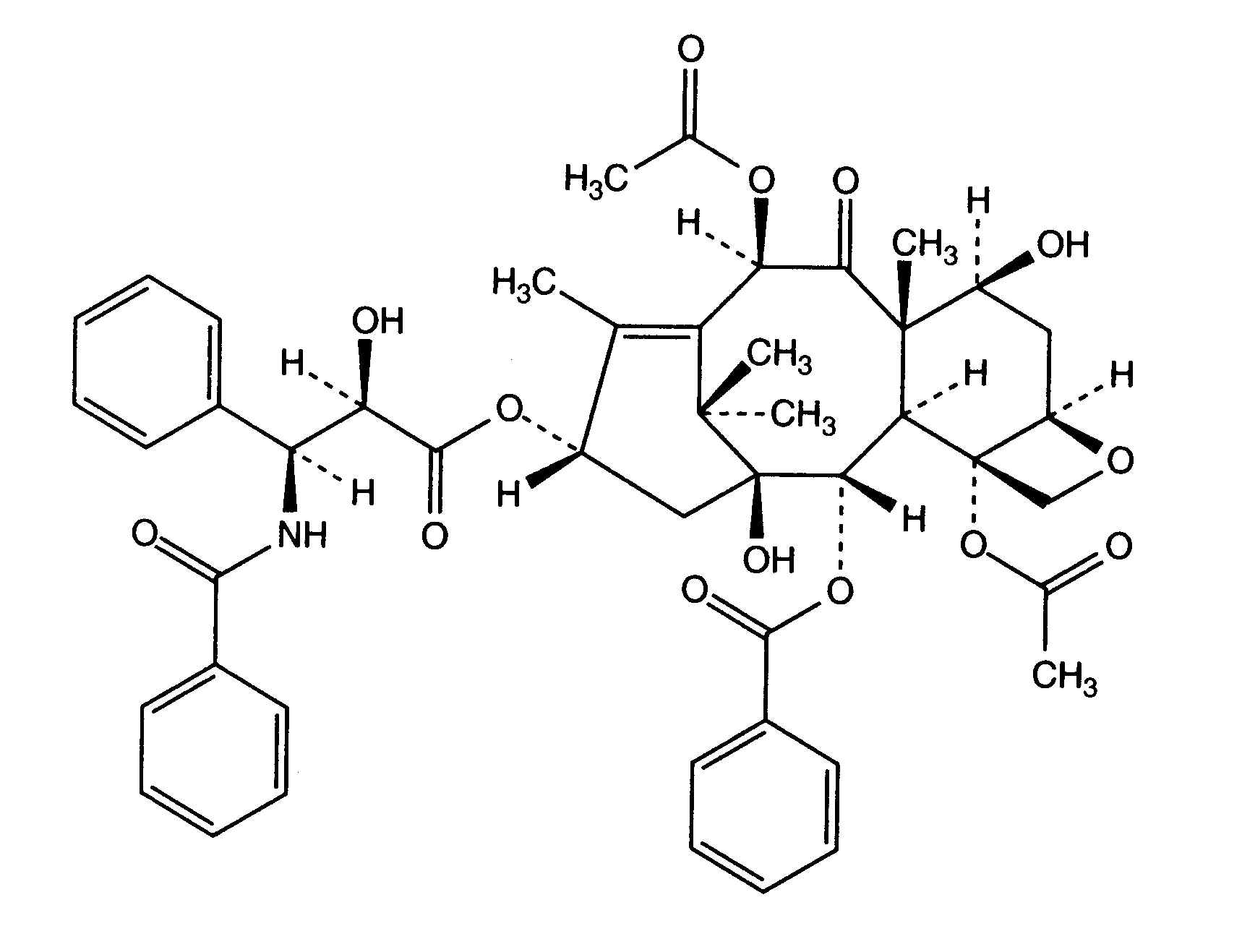
   Cấu trúc hóa học  

Tên thương mại   Tên thương mại     

Các tên thương mại được cung cấp và thành phần tá dược có thể khác nhau giữa các quốc gia và các hãng dược

Aclipak Malaysia
Acoexcel Mexico
Acupaxil Morocco
Anzatax Ả Rập, Ả Rập Saudi, Iran, Malaysia, Morocco, new zealand, Peru, Thổ Nhĩ Kỳ, Tunisia, United Arab Emirates
Aritaxel Đức
Cantaxel Ấn Độ
Clitaxel Argentina, Venezuela
Dalys Argentina
Ebetaxel Ả Rập Saudi, Áo, Iran, Morocco, Thổ Nhĩ Kỳ, Tunisia
Genexol Ả Rập, Ấn Độ, Iran
Onxol Hoa Kỳ
Paclinova Argentina
Paclitaxin Brazil, Luxembourg, Malaysia, Slovenia
Parexel Brazil, Colombia, Ecuador, Venezuela
Paxene Ba Lan, Hà Lan, Hy Lạp, Ireland, Tây Ban Nha, Đan Mạch
Poltaxel Ba Lan
Ribotax Đức
Taxol Ả Rập, Áo, Ba Lan, Bồ Đào Nha, Brazil, Colombia, Hà Lan, Hy Lạp, Iran, Malaysia, Morocco, new zealand, Nhật, Peru, Slovenia, Thổ Nhĩ Kỳ, Thụy Sỹ, Thụy Điển, United Arab Emirates, Venezuela, Ý, Đan Mạch
Taxomedac Đức
Vitax Brazil, Peru, Thổ Nhĩ Kỳ
Độ ổn định khi trộn lẫn   Dạng tiêm   Độ ổn định khi trộn lẫn : Paclitaxel     
Bao bì Dung môi Nồng độ Phân tử Nhiệt độ Bảo quản Thời gian ổn định Mục lục
Thủy tinh NaCl 0,9% 0,145 mg/ml
Dạng tiêm   Paclitaxel   
Dạng tiêm   Granisetron hydrochloride 0,5 mg/ml
20°C-23°C
4 Giờ
Ánh sáng 57
Cấp độ bằng chứng A+
Thủy tinh Glucose 5% 0,3 & 1,2 mg/ml
Dạng tiêm   Paclitaxel   
Dạng tiêm   Ondansetron hydrochloride 0,03 & 0,3 mg/ml
23°C
4 Giờ
Ánh sáng 47
Cấp độ bằng chứng A
Thủy tinh Glucose 5% 0,3 & 1,2 mg/ml
Dạng tiêm   Paclitaxel   
Dạng tiêm   Ranitidine hydrochloride 0,5 & 2 mg/ml
23°C
4 Giờ
Ánh sáng 47
Cấp độ bằng chứng A
Thủy tinh Glucose 5% 1,2 mg/ml
Dạng tiêm   Paclitaxel   
Dạng tiêm   Ondansetron hydrochloride 0,3 mg/ml
Dạng tiêm   Ranitidine hydrochloride 2,0 mg/ml
23°C
4 Giờ
Ánh sáng 47
Cấp độ bằng chứng A
Thủy tinh Glucose 5% 0,3 & 1,2 mg/ml
Dạng tiêm   Paclitaxel   
Dạng tiêm   Fluconazole 2 mg/ml
23°C
4 Giờ
Ánh sáng 151
Cấp độ bằng chứng A
Thủy tinh Glucose 5% 0,62 mg/ml
Dạng tiêm   Paclitaxel   
Dạng tiêm   Palonosetron hydrochloride 26,6 µg/ml
25°C
4 Giờ
Không rõ 1940
Cấp độ bằng chứng A+
Thủy tinh Glucose 5% 0,6 mg/ml
Dạng tiêm   Paclitaxel   
Dạng tiêm   Acetyl L-carnitine 15 mg/ml
25°C
4 Giờ
3277
Cấp độ bằng chứng A+
Nhựa polyolefin NaCl 0,9% 0,3 & 1,2 mg/ml
Dạng tiêm   Paclitaxel   
Dạng tiêm   Doxorubicin hydrochloride 0,2 mg/ml
23°C
24 Giờ
Ánh sáng 1286
JOKER
Nhựa polyolefin NaCl 0,9% 0,3 & 1,2 mg/ml
Dạng tiêm   Paclitaxel   
Dạng tiêm   Carboplatin 2 mg/ml
23°C
24 Giờ
Không rõ 872
Cấp độ bằng chứng B+
Nhựa polyolefin NaCl 0,9% 0,3 & 1,2 mg/ml
Dạng tiêm   Paclitaxel   
Dạng tiêm   Doxorubicin hydrochloride 0,2 mg/ml
32°C
24 Giờ
Ánh sáng 1286
JOKER
Nhựa polyolefin NaCl 0,9% 0,3 & 1,2 mg/ml
Dạng tiêm   Paclitaxel   
Dạng tiêm   Carboplatin 2 mg/ml
32°C
24 Giờ
Không rõ 872
Cấp độ bằng chứng B+
Nhựa polyolefin NaCl 0,9% 0,3 & 1,2 mg/ml
Dạng tiêm   Paclitaxel   
Dạng tiêm   Carboplatin 2 mg/ml
4°C
24 Giờ
Tránh ánh sáng 872
Cấp độ bằng chứng B+
Nhựa polyolefin NaCl 0,9% 0,3 & 1,2 mg/ml
Dạng tiêm   Paclitaxel   
Dạng tiêm   Doxorubicin hydrochloride 0,2 mg/ml
4°C
24 Giờ
Tránh ánh sáng 1286
JOKER
Nhựa polyolefin Glucose 5% 0,3 & 1,2 mg/ml
Dạng tiêm   Paclitaxel   
Dạng tiêm   Doxorubicin hydrochloride 0,2 mg/ml
23°C
24 Giờ
Ánh sáng 1286
JOKER
Nhựa polyolefin Glucose 5% 0,3 & 1,2 mg/ml
Dạng tiêm   Paclitaxel   
Dạng tiêm   Carboplatin 2 mg/ml
23°C
24 Giờ
Không rõ 872
Cấp độ bằng chứng B+
Nhựa polyolefin Glucose 5% 0,3 & 1,2 mg/ml
Dạng tiêm   Paclitaxel   
Dạng tiêm   Doxorubicin hydrochloride 0,2 mg/ml
32°C
24 Giờ
Ánh sáng 1286
JOKER
Nhựa polyolefin Glucose 5% 0,3 & 1,2 mg/ml
Dạng tiêm   Paclitaxel   
Dạng tiêm   Carboplatin 2 mg/ml
32°C
24 Giờ
Không rõ 872
Cấp độ bằng chứng B+
Nhựa polyolefin Glucose 5% 0,3 & 1,2 mg/ml
Dạng tiêm   Paclitaxel   
Dạng tiêm   Carboplatin 2 mg/ml
4°C
24 Giờ
Tránh ánh sáng 872
Cấp độ bằng chứng B+
Nhựa polyolefin Glucose 5% 0,3 & 1,2 mg/ml
Dạng tiêm   Paclitaxel   
Dạng tiêm   Doxorubicin hydrochloride 0,2 mg/ml
4°C
24 Giờ
Tránh ánh sáng 1286
JOKER
Không rõ NaCl 0,9% 0,27 mg/ml
Dạng tiêm   Paclitaxel   
Dạng tiêm   Topotecan 0,028 mg/ml
20°C-23°C
4 Giờ
Ánh sáng 1026
Cấp độ bằng chứng C
Không rõ Glucose 5% 0,27 mg/ml
Dạng tiêm   Paclitaxel   
Dạng tiêm   Topotecan 0,028 mg/ml
20°C-23°C
4 Giờ
Ánh sáng 1026
Cấp độ bằng chứng C

  Mentions Légales