viimane versioon :
18/03/2026
vähiravimite   Paclitaxel  
Süsteravim
Stabiilsus lahustes Stabiilsust mõjutavad tegurid stabiilsust mõjutavad faktorid Sobimatus Manustamis viis Viited pdf
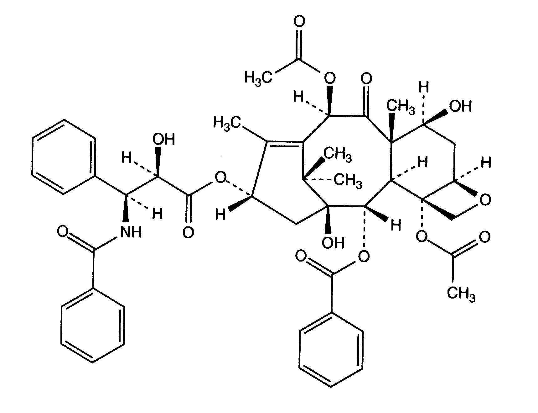
   keemiline struktuur  

Kaubanduslikud nimed erinevates maades   Kaubanduslikud nimed erinevates maades     

Preparaatide nimed on näitlikud ja abianete sisaldus võib erineda sõltuvalt riigist ja laborist

Aclipak Malaisia
Acoexcel Mehhiko
Acupaxil Maroko
Anzatax Araabia Ühendemiraadid, Egiptus, Iraan, Malaisia, Maroko, Maroko, Saudi Araabia, Tuneesia, Türgi, uus-Meremaa
Aritaxel Saksamaa
Cantaxel India
Clitaxel Argentiina, Venetsueela
Dalys Argentiina
Ebetaxel Austria, Iraan, Maroko, Saudi Araabia, Tuneesia, Türgi
Genexol Egiptus, India, Iraan
Onxol Ameerika ühendriigid
Paclinova Argentiina
Paclitaxin Brasiilia, Luksemburg, Malaisia, Sloveenia
Parexel Brasiilia, Ecuador, Kolumbia, Venetsueela
Paxene Hispaania, Holland, Iirimaa, Kreeka, Poola, Taani
Poltaxel Poola
Ribotax Saksamaa
Taxol Araabia Ühendemiraadid, Austria, Brasiilia, Egiptus, Holland, Iraan, Itaalia, Jaapan, Kolumbia, Kreeka, Malaisia, Maroko, Maroko, Poola, Portugal, Rootsi, Sloveenia, Sveits, Taani, Türgi, uus-Meremaa, Venetsueela
Taxomedac Saksamaa
Vitax Brasiilia, Maroko, Türgi
Stabiilsust mõjutavad tegurid   Süsteravim   Stabiilsust mõjutavad tegurid : Paclitaxel     
konteiner lahusti kontsentratsioon ingredient temperatuur ladustamine Stabiilsuse kestus Viited
klaas naatriumkloriid 0.9% 0,145 mg/ml
Süsteravim   Paclitaxel   
Süsteravim   Granisetron hydrochloride 0,5 mg/ml
20°C-23°C
4 Tund
valgus 57
Tõenduspõhisuse tase A+
klaas glükoos 5% 0,3 & 1,2 mg/ml
Süsteravim   Paclitaxel   
Süsteravim   Ondansetron hydrochloride 0,03 & 0,3 mg/ml
23°C
4 Tund
valgus 47
Tõenduspõhisuse tase A
klaas glükoos 5% 0,3 & 1,2 mg/ml
Süsteravim   Paclitaxel   
Süsteravim   Ranitidine hydrochloride 0,5 & 2 mg/ml
23°C
4 Tund
valgus 47
Tõenduspõhisuse tase A
klaas glükoos 5% 1,2 mg/ml
Süsteravim   Paclitaxel   
Süsteravim   Ondansetron hydrochloride 0,3 mg/ml
Süsteravim   Ranitidine hydrochloride 2,0 mg/ml
23°C
4 Tund
valgus 47
Tõenduspõhisuse tase A
klaas glükoos 5% 0,3 & 1,2 mg/ml
Süsteravim   Paclitaxel   
Süsteravim   Fluconazole 2 mg/ml
23°C
4 Tund
valgus 151
Tõenduspõhisuse tase A
klaas glükoos 5% 0,62 mg/ml
Süsteravim   Paclitaxel   
Süsteravim   Palonosetron hydrochloride 26,6 µg/ml
25°C
4 Tund
pole täpsustatud 1940
Tõenduspõhisuse tase A+
klaas glükoos 5% 0,6 mg/ml
Süsteravim   Paclitaxel   
Süsteravim   Acetyl L-carnitine 15 mg/ml
25°C
4 Tund
3277
Tõenduspõhisuse tase A+
polüolefiin naatriumkloriid 0.9% 0,3 & 1,2 mg/ml
Süsteravim   Paclitaxel   
Süsteravim   Doxorubicin hydrochloride 0,2 mg/ml
23°C
24 Tund
valgus 1286
Jokker
polüolefiin naatriumkloriid 0.9% 0,3 & 1,2 mg/ml
Süsteravim   Paclitaxel   
Süsteravim   Carboplatin 2 mg/ml
23°C
24 Tund
pole täpsustatud 872
Tõenduspõhisuse tase B+
polüolefiin naatriumkloriid 0.9% 0,3 & 1,2 mg/ml
Süsteravim   Paclitaxel   
Süsteravim   Doxorubicin hydrochloride 0,2 mg/ml
32°C
24 Tund
valgus 1286
Jokker
polüolefiin naatriumkloriid 0.9% 0,3 & 1,2 mg/ml
Süsteravim   Paclitaxel   
Süsteravim   Carboplatin 2 mg/ml
32°C
24 Tund
pole täpsustatud 872
Tõenduspõhisuse tase B+
polüolefiin naatriumkloriid 0.9% 0,3 & 1,2 mg/ml
Süsteravim   Paclitaxel   
Süsteravim   Carboplatin 2 mg/ml
4°C
24 Tund
kaitsta valguse eest 872
Tõenduspõhisuse tase B+
polüolefiin naatriumkloriid 0.9% 0,3 & 1,2 mg/ml
Süsteravim   Paclitaxel   
Süsteravim   Doxorubicin hydrochloride 0,2 mg/ml
4°C
24 Tund
kaitsta valguse eest 1286
Jokker
polüolefiin glükoos 5% 0,3 & 1,2 mg/ml
Süsteravim   Paclitaxel   
Süsteravim   Doxorubicin hydrochloride 0,2 mg/ml
23°C
24 Tund
valgus 1286
Jokker
polüolefiin glükoos 5% 0,3 & 1,2 mg/ml
Süsteravim   Paclitaxel   
Süsteravim   Carboplatin 2 mg/ml
23°C
24 Tund
pole täpsustatud 872
Tõenduspõhisuse tase B+
polüolefiin glükoos 5% 0,3 & 1,2 mg/ml
Süsteravim   Paclitaxel   
Süsteravim   Doxorubicin hydrochloride 0,2 mg/ml
32°C
24 Tund
valgus 1286
Jokker
polüolefiin glükoos 5% 0,3 & 1,2 mg/ml
Süsteravim   Paclitaxel   
Süsteravim   Carboplatin 2 mg/ml
32°C
24 Tund
pole täpsustatud 872
Tõenduspõhisuse tase B+
polüolefiin glükoos 5% 0,3 & 1,2 mg/ml
Süsteravim   Paclitaxel   
Süsteravim   Carboplatin 2 mg/ml
4°C
24 Tund
kaitsta valguse eest 872
Tõenduspõhisuse tase B+
polüolefiin glükoos 5% 0,3 & 1,2 mg/ml
Süsteravim   Paclitaxel   
Süsteravim   Doxorubicin hydrochloride 0,2 mg/ml
4°C
24 Tund
kaitsta valguse eest 1286
Jokker
pole täpsustatud naatriumkloriid 0.9% 0,27 mg/ml
Süsteravim   Paclitaxel   
Süsteravim   Topotecan 0,028 mg/ml
20°C-23°C
4 Tund
valgus 1026
Tõenduspõhisuse tase C
pole täpsustatud glükoos 5% 0,27 mg/ml
Süsteravim   Paclitaxel   
Süsteravim   Topotecan 0,028 mg/ml
20°C-23°C
4 Tund
valgus 1026
Tõenduspõhisuse tase C

  Mentions Légales