Poslední aktualizace :
18/03/2026
vėžio narkotikų   Paclitaxel  
Įpurškimas
Tirpalų stabilumas Mišinių stabilumas Stabilumą lemiantys veiksniai Suderinamumas Leidimo būdai Bibliografija pdf
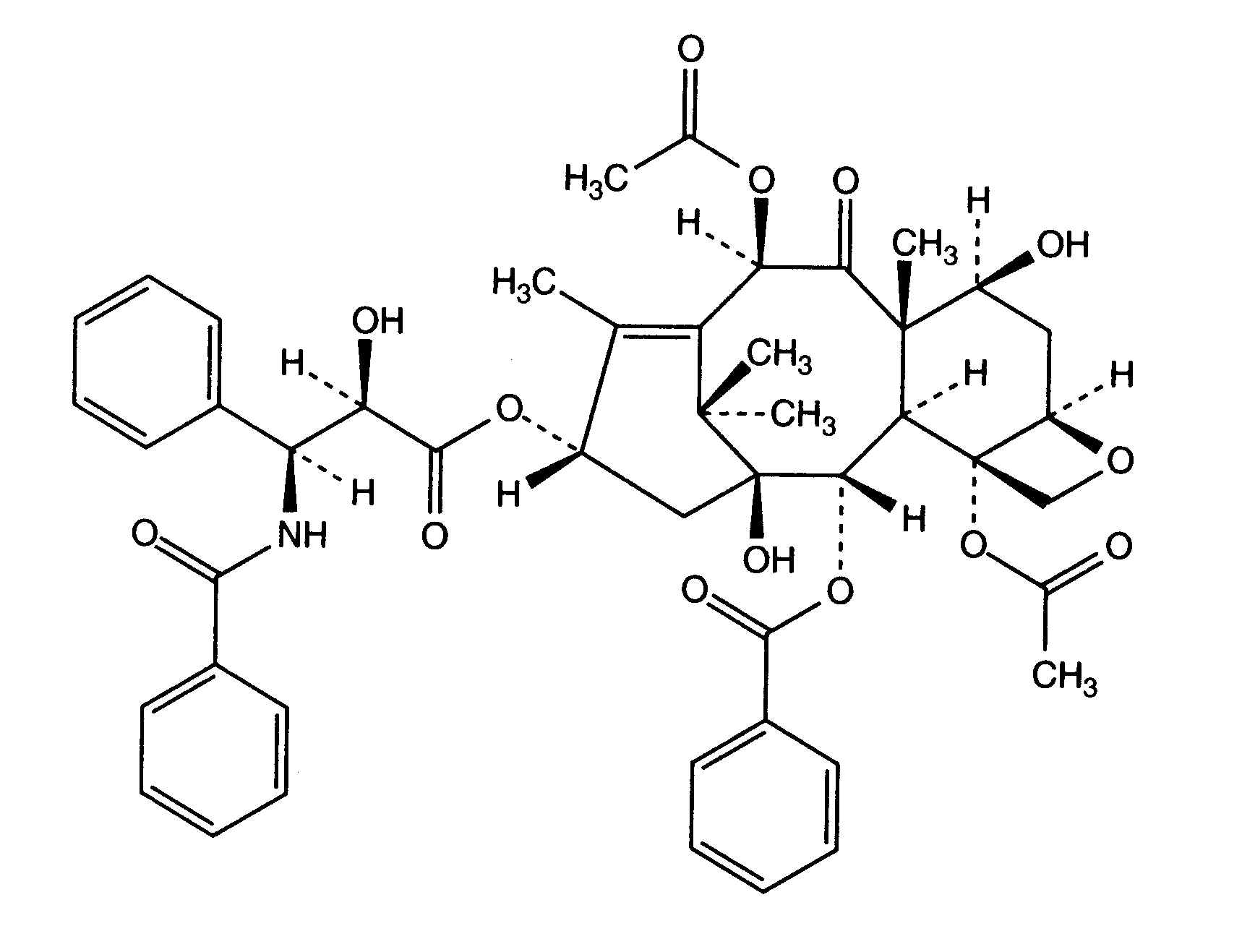
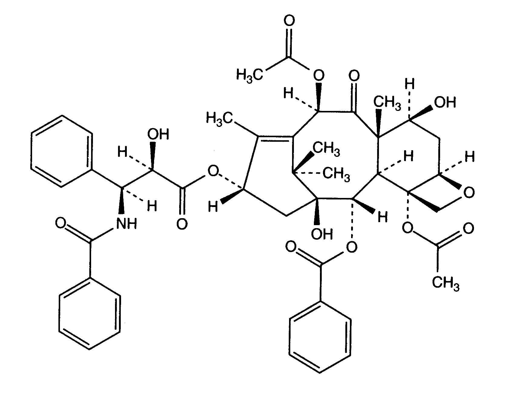
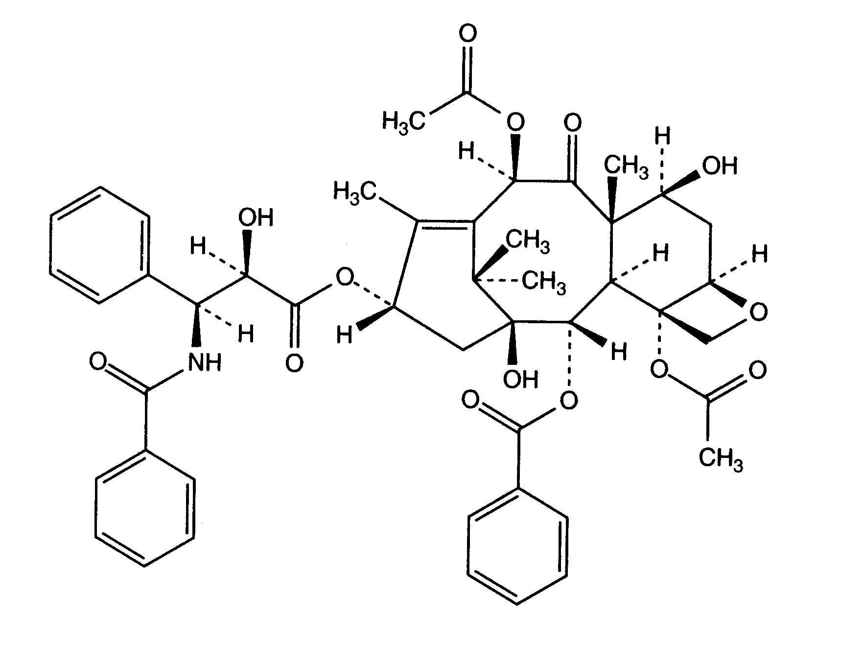
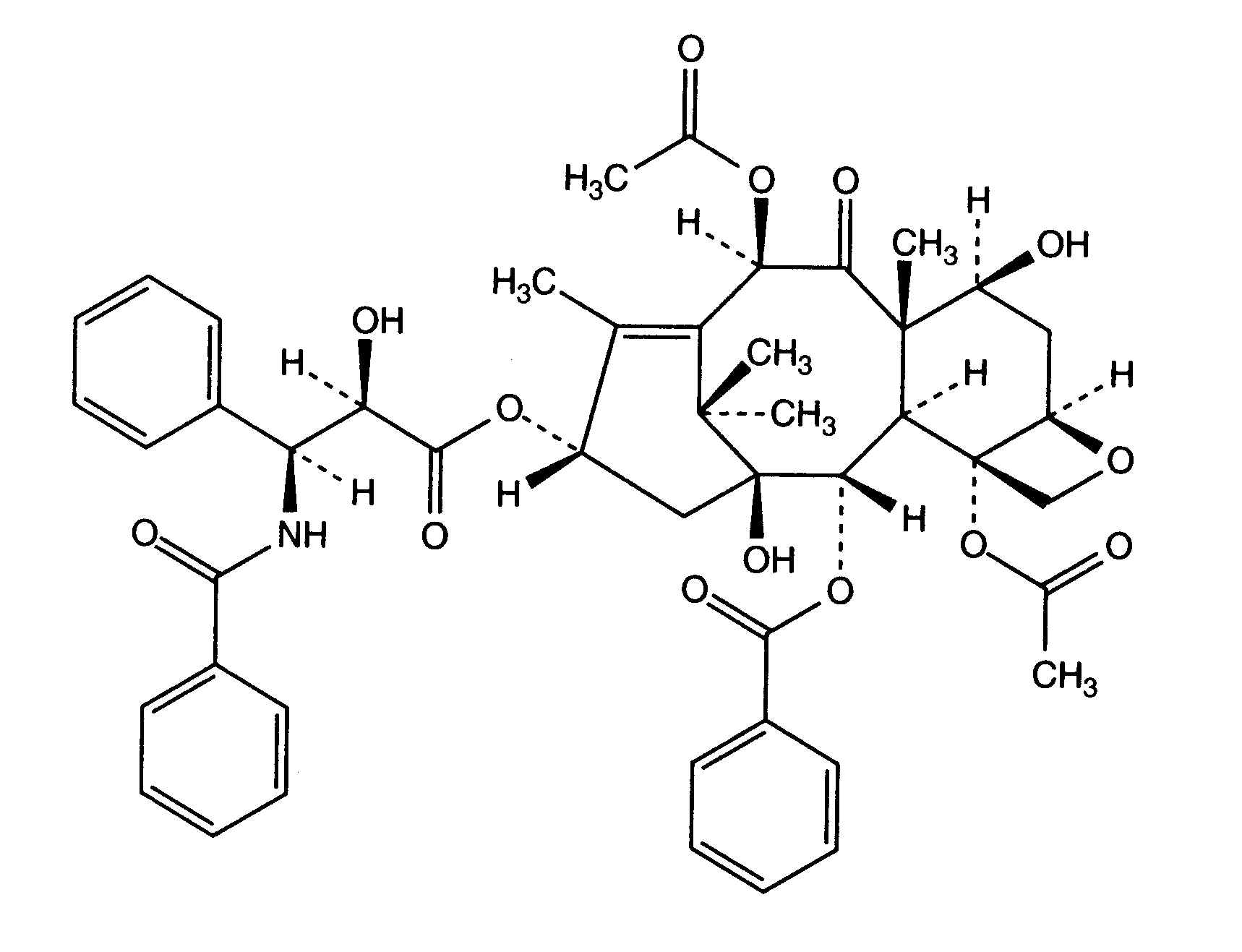
   Cheminė sandara  

Prekinis pavadinimas   Prekinis pavadinimas     

Trade names are indicative and excipients composition can be different depending on the country and manufacturers

Aclipak Malaizija
Acoexcel Meksikas
Acupaxil Marokas
Anzatax Egiptas, Iranas, Jungtiniai Arabų Emyratai, Malaizija, Marokas, Naujojoje Zelandijoje, Peru, Saudo Arabija, Tunisas, Turkija
Aritaxel Vokietija
Cantaxel Indija
Clitaxel Argentina, Venesuela
Dalys Argentina
Ebetaxel Austrija, Iranas, Marokas, Saudo Arabija, Tunisas, Turkija
Genexol Egiptas, Indija, Iranas
Onxol Jungtinės Amerikos Valstijos
Paclinova Argentina
Paclitaxin Brazilija, Liuksemburgas, Malaizija, Slovėnija
Parexel Brazilija, Ekvadoras, Kolumbija, Venesuela
Paxene Airija, Danija, Graikija, Ispanija, Lenkija, Olandija
Poltaxel Lenkija
Ribotax Vokietija
Taxol Austrija, Brazilija, Danija, Egiptas, Graikija, Iranas, Italija, Japonija, Jungtiniai Arabų Emyratai, Kolumbija, Lenkija, Malaizija, Marokas, Naujojoje Zelandijoje, Olandija, Peru, Portugalija, Slovėnija, Švedija, Šveicarija, Turkija, Venesuela
Taxomedac Vokietija
Vitax Brazilija, Peru, Turkija
Mišinių stabilumas   Įpurškimas   Mišinių stabilumas : Paclitaxel     
Pakuotė Tirpiklis Koncentracija Molekulė Temperatūra Laikymas Stabilumo trukmė Nuorodos
Stiklas Natrio chloridas 0,9% 0,145 mg/ml
Įpurškimas   Paclitaxel   
Įpurškimas   Granisetron hydrochloride 0,5 mg/ml
20°C-23°C
4 Valanda
Šviesa 57
Bandymo lygis A+
Stiklas Gliukozė 5% 0,3 & 1,2 mg/ml
Įpurškimas   Paclitaxel   
Įpurškimas   Ondansetron hydrochloride 0,03 & 0,3 mg/ml
23°C
4 Valanda
Šviesa 47
Bandymo lygis A
Stiklas Gliukozė 5% 0,3 & 1,2 mg/ml
Įpurškimas   Paclitaxel   
Įpurškimas   Ranitidine hydrochloride 0,5 & 2 mg/ml
23°C
4 Valanda
Šviesa 47
Bandymo lygis A
Stiklas Gliukozė 5% 1,2 mg/ml
Įpurškimas   Paclitaxel   
Įpurškimas   Ondansetron hydrochloride 0,3 mg/ml
Įpurškimas   Ranitidine hydrochloride 2,0 mg/ml
23°C
4 Valanda
Šviesa 47
Bandymo lygis A
Stiklas Gliukozė 5% 0,3 & 1,2 mg/ml
Įpurškimas   Paclitaxel   
Įpurškimas   Fluconazole 2 mg/ml
23°C
4 Valanda
Šviesa 151
Bandymo lygis A
Stiklas Gliukozė 5% 0,62 mg/ml
Įpurškimas   Paclitaxel   
Įpurškimas   Palonosetron hydrochloride 26,6 µg/ml
25°C
4 Valanda
Nenurodyta 1940
Bandymo lygis A+
Stiklas Gliukozė 5% 0,6 mg/ml
Įpurškimas   Paclitaxel   
Įpurškimas   Acetyl L-carnitine 15 mg/ml
25°C
4 Valanda
3277
Bandymo lygis A+
Poliolefinas Natrio chloridas 0,9% 0,3 & 1,2 mg/ml
Įpurškimas   Paclitaxel   
Įpurškimas   Doxorubicin hydrochloride 0,2 mg/ml
23°C
24 Valanda
Šviesa 1286
Joker
Poliolefinas Natrio chloridas 0,9% 0,3 & 1,2 mg/ml
Įpurškimas   Paclitaxel   
Įpurškimas   Carboplatin 2 mg/ml
23°C
24 Valanda
Nenurodyta 872
Bandymo lygis B+
Poliolefinas Natrio chloridas 0,9% 0,3 & 1,2 mg/ml
Įpurškimas   Paclitaxel   
Įpurškimas   Doxorubicin hydrochloride 0,2 mg/ml
32°C
24 Valanda
Šviesa 1286
Joker
Poliolefinas Natrio chloridas 0,9% 0,3 & 1,2 mg/ml
Įpurškimas   Paclitaxel   
Įpurškimas   Carboplatin 2 mg/ml
32°C
24 Valanda
Nenurodyta 872
Bandymo lygis B+
Poliolefinas Natrio chloridas 0,9% 0,3 & 1,2 mg/ml
Įpurškimas   Paclitaxel   
Įpurškimas   Carboplatin 2 mg/ml
4°C
24 Valanda
Apsaugotas nuo šviesos 872
Bandymo lygis B+
Poliolefinas Natrio chloridas 0,9% 0,3 & 1,2 mg/ml
Įpurškimas   Paclitaxel   
Įpurškimas   Doxorubicin hydrochloride 0,2 mg/ml
4°C
24 Valanda
Apsaugotas nuo šviesos 1286
Joker
Poliolefinas Gliukozė 5% 0,3 & 1,2 mg/ml
Įpurškimas   Paclitaxel   
Įpurškimas   Doxorubicin hydrochloride 0,2 mg/ml
23°C
24 Valanda
Šviesa 1286
Joker
Poliolefinas Gliukozė 5% 0,3 & 1,2 mg/ml
Įpurškimas   Paclitaxel   
Įpurškimas   Carboplatin 2 mg/ml
23°C
24 Valanda
Nenurodyta 872
Bandymo lygis B+
Poliolefinas Gliukozė 5% 0,3 & 1,2 mg/ml
Įpurškimas   Paclitaxel   
Įpurškimas   Doxorubicin hydrochloride 0,2 mg/ml
32°C
24 Valanda
Šviesa 1286
Joker
Poliolefinas Gliukozė 5% 0,3 & 1,2 mg/ml
Įpurškimas   Paclitaxel   
Įpurškimas   Carboplatin 2 mg/ml
32°C
24 Valanda
Nenurodyta 872
Bandymo lygis B+
Poliolefinas Gliukozė 5% 0,3 & 1,2 mg/ml
Įpurškimas   Paclitaxel   
Įpurškimas   Carboplatin 2 mg/ml
4°C
24 Valanda
Apsaugotas nuo šviesos 872
Bandymo lygis B+
Poliolefinas Gliukozė 5% 0,3 & 1,2 mg/ml
Įpurškimas   Paclitaxel   
Įpurškimas   Doxorubicin hydrochloride 0,2 mg/ml
4°C
24 Valanda
Apsaugotas nuo šviesos 1286
Joker
Nenurodyta Natrio chloridas 0,9% 0,27 mg/ml
Įpurškimas   Paclitaxel   
Įpurškimas   Topotecan 0,028 mg/ml
20°C-23°C
4 Valanda
Šviesa 1026
Bandymo lygis C
Nenurodyta Gliukozė 5% 0,27 mg/ml
Įpurškimas   Paclitaxel   
Įpurškimas   Topotecan 0,028 mg/ml
20°C-23°C
4 Valanda
Šviesa 1026
Bandymo lygis C

  Mentions Légales