Последно актуализиране :
18/03/2026
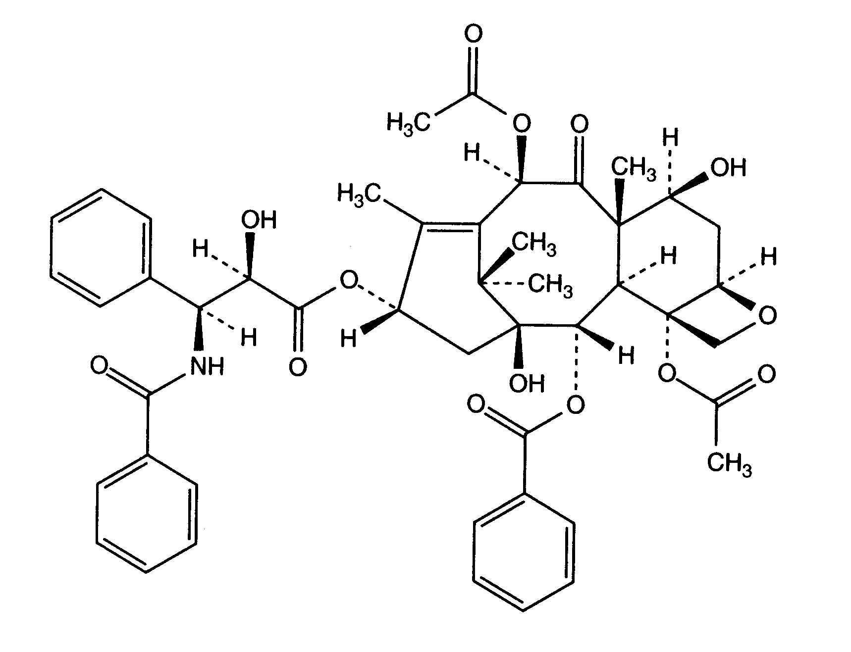
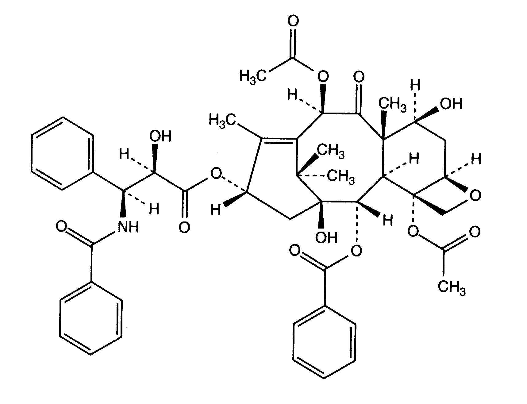
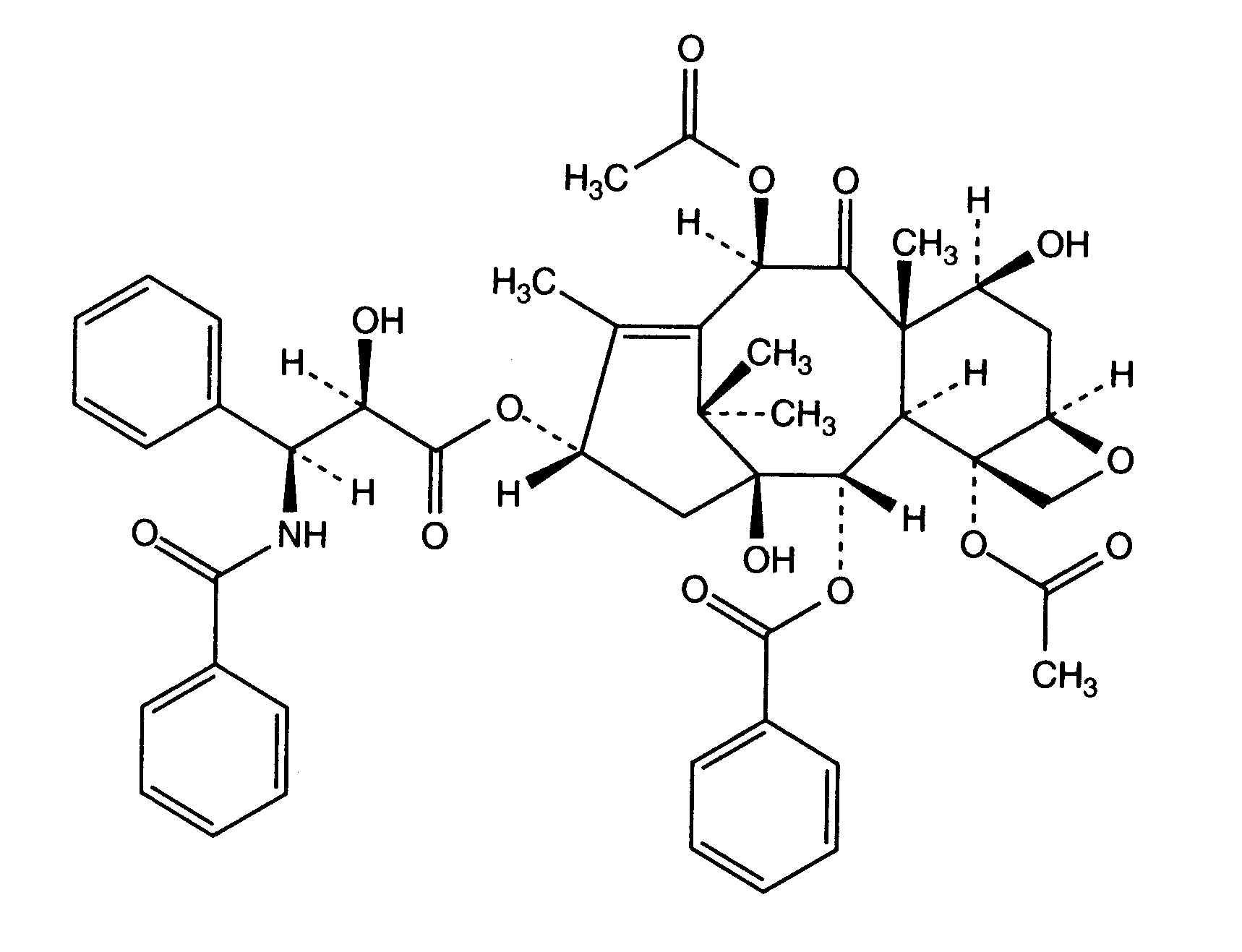
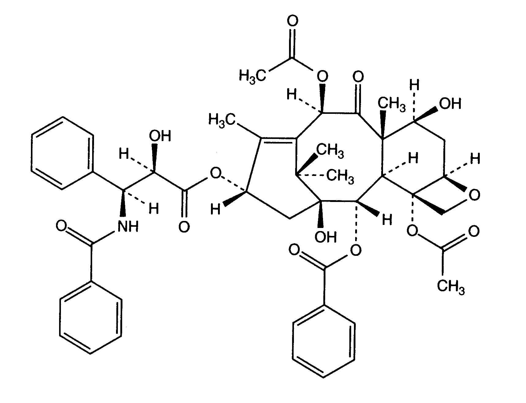
противораково лекарство   Paclitaxel  
Инжекция/Инжекционен
Стабилност на разтвори Стабилност на смеси Фактори, повлияващи стабилността Съвместимост Път на въвеждане Библиография Pdf
   Химична структура  

Търговско наименование   Търговско наименование     

Търговските имена са примерни и съставът на помощните вещества може да бъде различен в зависимост от държавата и лабораториите

Aclipak Малайзия
Acoexcel Мексико
Acupaxil Мароко
Anzatax Египет, Иран, Малайзия, Мароко, нова Зеландия, Обединени арабски емирства, Перу, Саудитска Арабия, Тунис, Турция
Aritaxel Германия
Cantaxel Индия
Clitaxel Аржентина, Венецуела
Dalys Аржентина
Ebetaxel Австрия, Иран, Мароко, Саудитска Арабия, Тунис, Турция
Genexol Египет, Индия, Иран
Onxol Съединени Американски щати / САЩ
Paclinova Аржентина
Paclitaxin Бразилия, Люксенбург, Малайзия, Словения
Parexel Бразилия, Венецуела, Еквадор, Колумбия
Paxene Гърция, Дания, Ирландия, Испания, Полша, Холандия
Poltaxel Полша
Ribotax Германия
Taxol Австрия, Бразилия, Венецуела, Гърция, Дания, Египет, Иран, Италия, Колумбия, Малайзия, Мароко, нова Зеландия, Обединени арабски емирства, Перу, Полша, Португалия, Словения, Турция, Холандия, Швейцария, Швеция, Япония
Taxomedac Германия
Vitax Бразилия, Перу, Турция
Стабилност на смеси   Инжекция/Инжекционен   Стабилност на смеси : Paclitaxel     
Контейнер Разтворител Концентрация Състав / молекула Температура Съхранение Продължителност на стабилността Библиография
Стъкло Sodium chloride 0,9% 0,145 mg/ml
Инжекция/Инжекционен   Paclitaxel   
Инжекция/Инжекционен   Granisetron hydrochloride 0,5 mg/ml
20°C-23°C
4 Час
Светлина 57
Степен на доказаност A+
Стъкло Glucose 5% 0,3 & 1,2 mg/ml
Инжекция/Инжекционен   Paclitaxel   
Инжекция/Инжекционен   Ondansetron hydrochloride 0,03 & 0,3 mg/ml
23°C
4 Час
Светлина 47
Степен на доказаност A
Стъкло Glucose 5% 0,3 & 1,2 mg/ml
Инжекция/Инжекционен   Paclitaxel   
Инжекция/Инжекционен   Ranitidine hydrochloride 0,5 & 2 mg/ml
23°C
4 Час
Светлина 47
Степен на доказаност A
Стъкло Glucose 5% 1,2 mg/ml
Инжекция/Инжекционен   Paclitaxel   
Инжекция/Инжекционен   Ondansetron hydrochloride 0,3 mg/ml
Инжекция/Инжекционен   Ranitidine hydrochloride 2,0 mg/ml
23°C
4 Час
Светлина 47
Степен на доказаност A
Стъкло Glucose 5% 0,3 & 1,2 mg/ml
Инжекция/Инжекционен   Paclitaxel   
Инжекция/Инжекционен   Fluconazole 2 mg/ml
23°C
4 Час
Светлина 151
Степен на доказаност A
Стъкло Glucose 5% 0,62 mg/ml
Инжекция/Инжекционен   Paclitaxel   
Инжекция/Инжекционен   Palonosetron hydrochloride 26,6 µg/ml
25°C
4 Час
Не е уточнено 1940
Степен на доказаност A+
Стъкло Glucose 5% 0,6 mg/ml
Инжекция/Инжекционен   Paclitaxel   
Инжекция/Инжекционен   Acetyl L-carnitine 15 mg/ml
25°C
4 Час
3277
Степен на доказаност A+
Полиолефин Sodium chloride 0,9% 0,3 & 1,2 mg/ml
Инжекция/Инжекционен   Paclitaxel   
Инжекция/Инжекционен   Doxorubicin hydrochloride 0,2 mg/ml
23°C
24 Час
Светлина 1286
Жокер
Полиолефин Sodium chloride 0,9% 0,3 & 1,2 mg/ml
Инжекция/Инжекционен   Paclitaxel   
Инжекция/Инжекционен   Carboplatin 2 mg/ml
23°C
24 Час
Не е уточнено 872
Степен на доказаност B+
Полиолефин Sodium chloride 0,9% 0,3 & 1,2 mg/ml
Инжекция/Инжекционен   Paclitaxel   
Инжекция/Инжекционен   Doxorubicin hydrochloride 0,2 mg/ml
32°C
24 Час
Светлина 1286
Жокер
Полиолефин Sodium chloride 0,9% 0,3 & 1,2 mg/ml
Инжекция/Инжекционен   Paclitaxel   
Инжекция/Инжекционен   Carboplatin 2 mg/ml
32°C
24 Час
Не е уточнено 872
Степен на доказаност B+
Полиолефин Sodium chloride 0,9% 0,3 & 1,2 mg/ml
Инжекция/Инжекционен   Paclitaxel   
Инжекция/Инжекционен   Carboplatin 2 mg/ml
4°C
24 Час
Защита от светлина 872
Степен на доказаност B+
Полиолефин Sodium chloride 0,9% 0,3 & 1,2 mg/ml
Инжекция/Инжекционен   Paclitaxel   
Инжекция/Инжекционен   Doxorubicin hydrochloride 0,2 mg/ml
4°C
24 Час
Защита от светлина 1286
Жокер
Полиолефин Glucose 5% 0,3 & 1,2 mg/ml
Инжекция/Инжекционен   Paclitaxel   
Инжекция/Инжекционен   Doxorubicin hydrochloride 0,2 mg/ml
23°C
24 Час
Светлина 1286
Жокер
Полиолефин Glucose 5% 0,3 & 1,2 mg/ml
Инжекция/Инжекционен   Paclitaxel   
Инжекция/Инжекционен   Carboplatin 2 mg/ml
23°C
24 Час
Не е уточнено 872
Степен на доказаност B+
Полиолефин Glucose 5% 0,3 & 1,2 mg/ml
Инжекция/Инжекционен   Paclitaxel   
Инжекция/Инжекционен   Doxorubicin hydrochloride 0,2 mg/ml
32°C
24 Час
Светлина 1286
Жокер
Полиолефин Glucose 5% 0,3 & 1,2 mg/ml
Инжекция/Инжекционен   Paclitaxel   
Инжекция/Инжекционен   Carboplatin 2 mg/ml
32°C
24 Час
Не е уточнено 872
Степен на доказаност B+
Полиолефин Glucose 5% 0,3 & 1,2 mg/ml
Инжекция/Инжекционен   Paclitaxel   
Инжекция/Инжекционен   Carboplatin 2 mg/ml
4°C
24 Час
Защита от светлина 872
Степен на доказаност B+
Полиолефин Glucose 5% 0,3 & 1,2 mg/ml
Инжекция/Инжекционен   Paclitaxel   
Инжекция/Инжекционен   Doxorubicin hydrochloride 0,2 mg/ml
4°C
24 Час
Защита от светлина 1286
Жокер
Не е уточнено Sodium chloride 0,9% 0,27 mg/ml
Инжекция/Инжекционен   Paclitaxel   
Инжекция/Инжекционен   Topotecan 0,028 mg/ml
20°C-23°C
4 Час
Светлина 1026
Степен на доказаност C
Не е уточнено Glucose 5% 0,27 mg/ml
Инжекция/Инжекционен   Paclitaxel   
Инжекция/Инжекционен   Topotecan 0,028 mg/ml
20°C-23°C
4 Час
Светлина 1026
Степен на доказаност C

  Mentions Légales