آخر تحديث :
17/12/2025
المضادة للسرطان المخدرات   Paclitaxel  
حقن
الاستقرار في حلول استقرار مخاليط العوامل التي تؤثر على الاستقرار التوافق طريقة التعاطي مراجع pdf
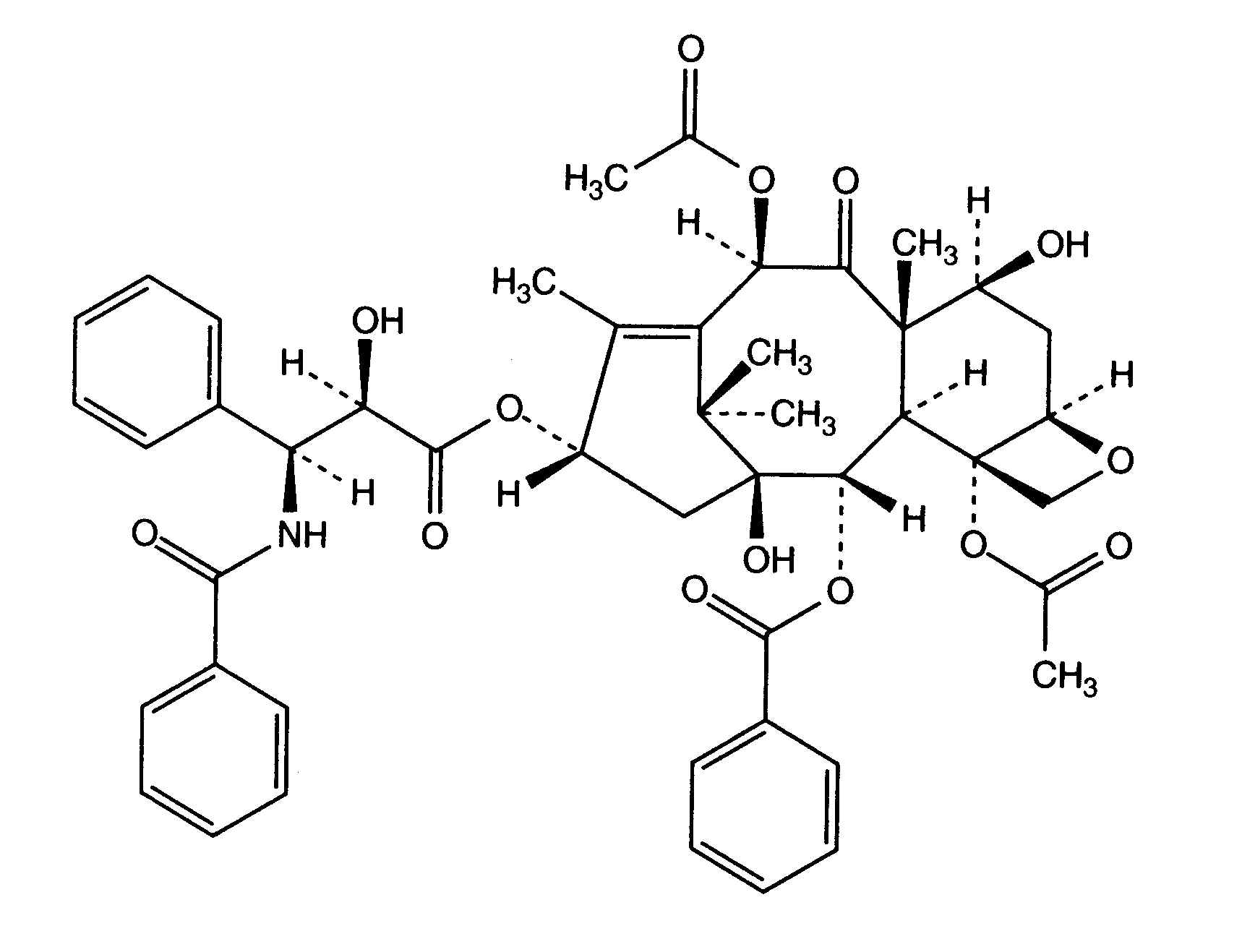
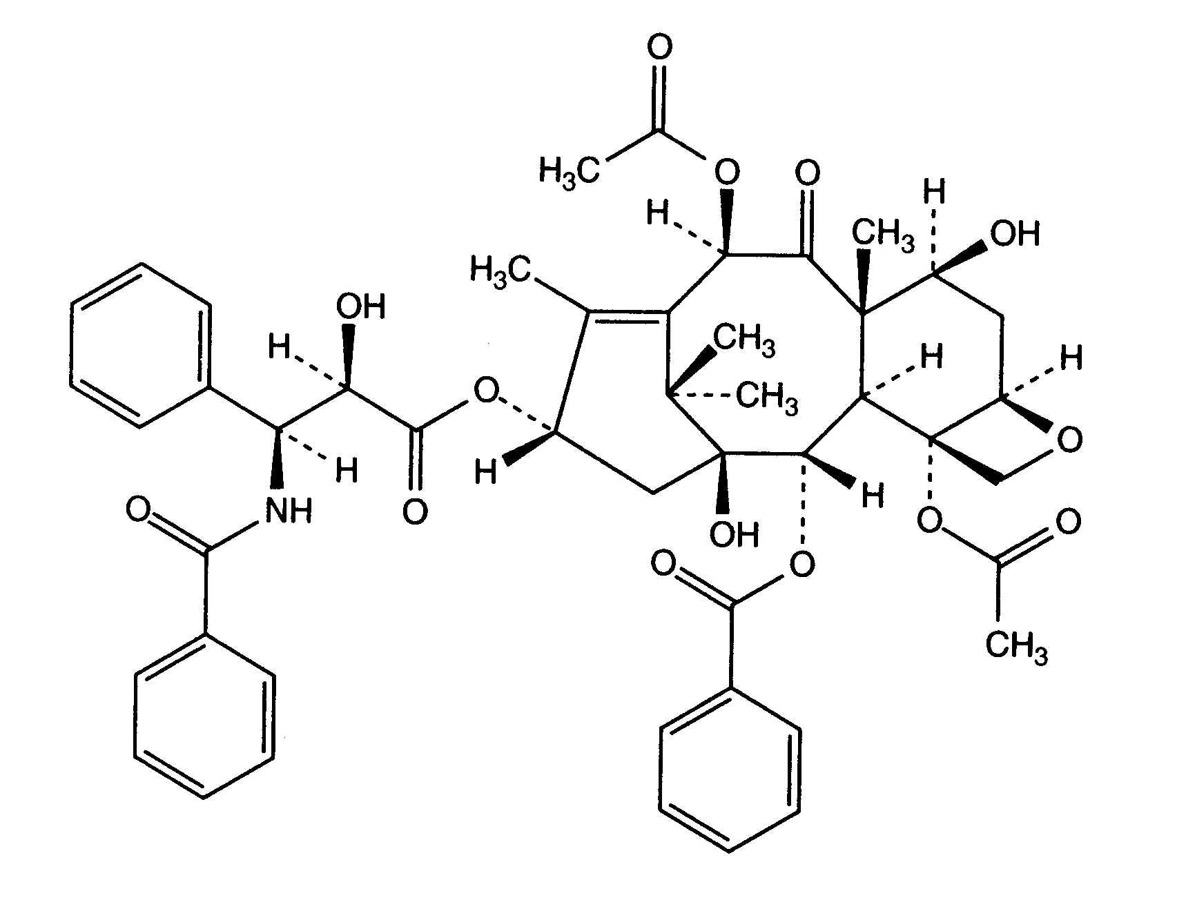
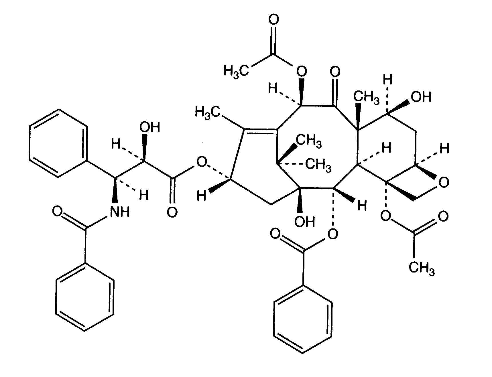
   التركيب الكيميائي  

حجز الاسم التجاري   حجز الاسم التجاري     

تحذير الأسماء التجاريه المختلفه قد تحتوي علي محتوي إضافات مختلفة حسب الدوله و المعمل

Aclipak ماليزيا
Acoexcel المكسيك
Acupaxil المغرب
Anzatax إيران, الإمارات العربية المتحدة, العربية السعودية, المغرب, بيرو, تركيا, تونس, زيلاندا الجديدة, ماليزيا, مصر
Aritaxel ألمانيا
Cantaxel الهند
Clitaxel الأرجنتين, فنزويلا
Dalys الأرجنتين
Ebetaxel إيران, العربية السعودية, المغرب, النمسا, تركيا, تونس
Genexol إيران, الهند, مصر
Onxol الولايات المتحدة
Paclinova الأرجنتين
Paclitaxin البرازيل, سلوفينيا, لوكسمبورغ, ماليزيا
Parexel الإكوادور, البرازيل, فنزويلا, كولومبيا
Paxene إسبانيا, الدنمارك, ايرلندا, بولندا, هولندا, يونان
Poltaxel بولندا
Ribotax ألمانيا
Taxol إيران, إيطاليا, الإمارات العربية المتحدة, البرازيل, البرتغال, الدنمارك, السويد, المغرب, النمسا, اليابان, بولندا, بيرو, تركيا, زيلاندا الجديدة, سلوفينيا, سويسرا, فنزويلا, كولومبيا, ماليزيا, مصر, هولندا, يونان
Taxomedac ألمانيا
Vitax البرازيل, بيرو, تركيا
استقرار مخاليط   حقن   استقرار مخاليط : Paclitaxel     
حاوية مذيب تركيز مركب درجة الحرارة تخزين مدة الاستقرار مراجع
زجاج كلوريد الصوديوم 0.9% 0,145 mg/ml
حقن   Paclitaxel   
حقن   Granisetron hydrochloride 0,5 mg/ml
20°C-23°C
4 ساعة
ضوء 57
 A+ مستوى الأدلة
زجاج الجلوكوز %5 0,3 & 1,2 mg/ml
حقن   Paclitaxel   
حقن   Ondansetron hydrochloride 0,03 & 0,3 mg/ml
23°C
4 ساعة
ضوء 47
A مستوى الأدلة
زجاج الجلوكوز %5 0,3 & 1,2 mg/ml
حقن   Paclitaxel   
حقن   Ranitidine hydrochloride 0,5 & 2 mg/ml
23°C
4 ساعة
ضوء 47
A مستوى الأدلة
زجاج الجلوكوز %5 1,2 mg/ml
حقن   Paclitaxel   
حقن   Ondansetron hydrochloride 0,3 mg/ml
حقن   Ranitidine hydrochloride 2,0 mg/ml
23°C
4 ساعة
ضوء 47
A مستوى الأدلة
زجاج الجلوكوز %5 0,3 & 1,2 mg/ml
حقن   Paclitaxel   
حقن   Fluconazole 2 mg/ml
23°C
4 ساعة
ضوء 151
A مستوى الأدلة
زجاج الجلوكوز %5 0,62 mg/ml
حقن   Paclitaxel   
حقن   Palonosetron hydrochloride 26,6 µg/ml
25°C
4 ساعة
لم يتم تحديد 1940
 A+ مستوى الأدلة
زجاج الجلوكوز %5 0,6 mg/ml
حقن   Paclitaxel   
حقن   Acetyl L-carnitine 15 mg/ml
25°C
4 ساعة
3277
 A+ مستوى الأدلة
البولي فين كلوريد الصوديوم 0.9% 0,3 & 1,2 mg/ml
حقن   Paclitaxel   
حقن   Doxorubicin hydrochloride 0,2 mg/ml
23°C
24 ساعة
ضوء 1286
joker
البولي فين كلوريد الصوديوم 0.9% 0,3 & 1,2 mg/ml
حقن   Paclitaxel   
حقن   Carboplatin 2 mg/ml
23°C
24 ساعة
لم يتم تحديد 872
B+ مستوى الأدلة
البولي فين كلوريد الصوديوم 0.9% 0,3 & 1,2 mg/ml
حقن   Paclitaxel   
حقن   Doxorubicin hydrochloride 0,2 mg/ml
32°C
24 ساعة
ضوء 1286
joker
البولي فين كلوريد الصوديوم 0.9% 0,3 & 1,2 mg/ml
حقن   Paclitaxel   
حقن   Carboplatin 2 mg/ml
32°C
24 ساعة
لم يتم تحديد 872
B+ مستوى الأدلة
البولي فين كلوريد الصوديوم 0.9% 0,3 & 1,2 mg/ml
حقن   Paclitaxel   
حقن   Carboplatin 2 mg/ml
4°C
24 ساعة
بعيدا عن الضوء 872
B+ مستوى الأدلة
البولي فين كلوريد الصوديوم 0.9% 0,3 & 1,2 mg/ml
حقن   Paclitaxel   
حقن   Doxorubicin hydrochloride 0,2 mg/ml
4°C
24 ساعة
بعيدا عن الضوء 1286
joker
البولي فين الجلوكوز %5 0,3 & 1,2 mg/ml
حقن   Paclitaxel   
حقن   Doxorubicin hydrochloride 0,2 mg/ml
23°C
24 ساعة
ضوء 1286
joker
البولي فين الجلوكوز %5 0,3 & 1,2 mg/ml
حقن   Paclitaxel   
حقن   Carboplatin 2 mg/ml
23°C
24 ساعة
لم يتم تحديد 872
B+ مستوى الأدلة
البولي فين الجلوكوز %5 0,3 & 1,2 mg/ml
حقن   Paclitaxel   
حقن   Doxorubicin hydrochloride 0,2 mg/ml
32°C
24 ساعة
ضوء 1286
joker
البولي فين الجلوكوز %5 0,3 & 1,2 mg/ml
حقن   Paclitaxel   
حقن   Carboplatin 2 mg/ml
32°C
24 ساعة
لم يتم تحديد 872
B+ مستوى الأدلة
البولي فين الجلوكوز %5 0,3 & 1,2 mg/ml
حقن   Paclitaxel   
حقن   Carboplatin 2 mg/ml
4°C
24 ساعة
بعيدا عن الضوء 872
B+ مستوى الأدلة
البولي فين الجلوكوز %5 0,3 & 1,2 mg/ml
حقن   Paclitaxel   
حقن   Doxorubicin hydrochloride 0,2 mg/ml
4°C
24 ساعة
بعيدا عن الضوء 1286
joker
لم يتم تحديد كلوريد الصوديوم 0.9% 0,27 mg/ml
حقن   Paclitaxel   
حقن   Topotecan 0,028 mg/ml
20°C-23°C
4 ساعة
ضوء 1026
C مستوى الأدلة
لم يتم تحديد الجلوكوز %5 0,27 mg/ml
حقن   Paclitaxel   
حقن   Topotecan 0,028 mg/ml
20°C-23°C
4 ساعة
ضوء 1026
C مستوى الأدلة

  Mentions Légales