Viimeisin päivitys :
17/12/2025
syöpälääke   Paclitaxel  
Injektioneste
Stabilius liuoksessa Stabilius seoksissa Tekijät, jotka vaikuttavat stabiliuteen Yhteensopivuus Antotapa Viitteet pdf
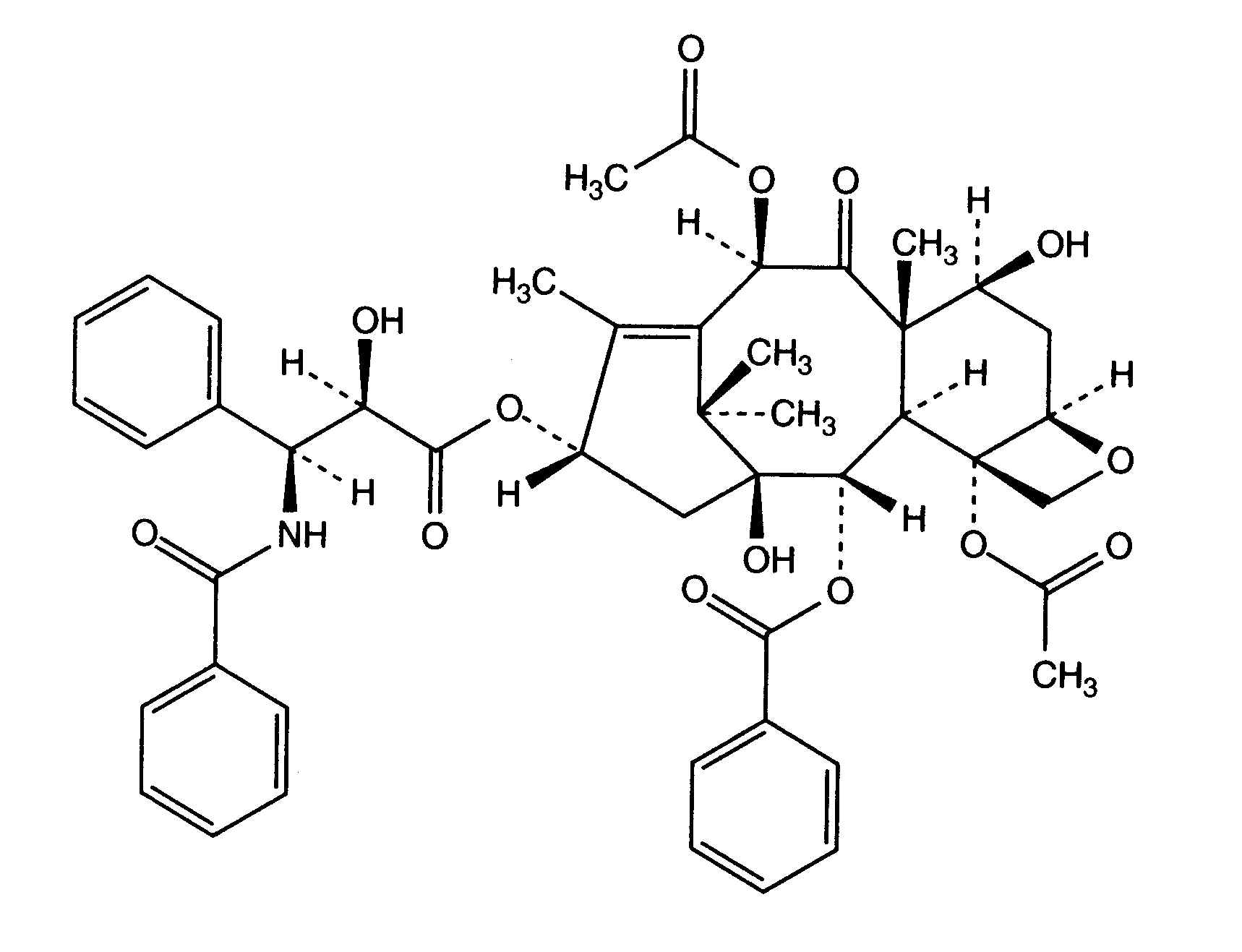
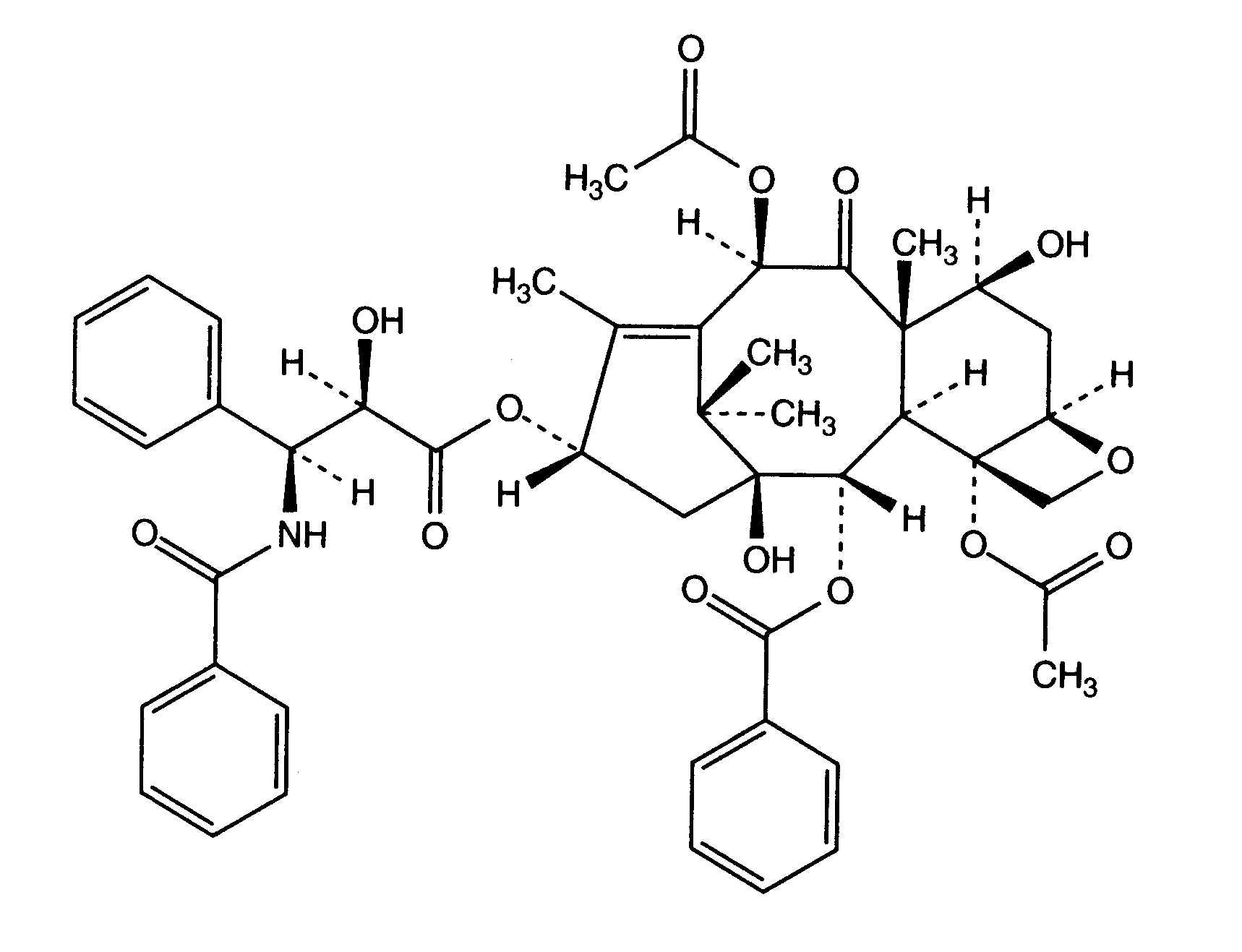
   Kemiallinen rakenne  

Kauppanimi   Kauppanimi     

Trade names are indicative and excipients composition can be different depending on the country and manufacturers

Aclipak Malesia
Acoexcel Meksiko
Acupaxil Marokko
Anzatax Egypti, Iran, Malesia, Marokko, Marokko, New Zealand, Saudi-Arabia, Tunisia, Turkki, Yhdistyneet arabiemiirikunnat
Aritaxel Saksa
Cantaxel Intia
Clitaxel Argentiina, Venezuela
Dalys Argentiina
Ebetaxel Iran, Itävalta, Marokko, Saudi-Arabia, Tunisia, Turkki
Genexol Egypti, Intia, Iran
Onxol Yhdysvallat
Paclinova Argentiina
Paclitaxin Brasilia, Luxemburg, Malesia, Slovenia
Parexel Brasilia, Ecuador, Kolumbia, Venezuela
Paxene Espanja, Hollanti, Irlanti, Kreikka, Puola, Tanska
Poltaxel Puola
Ribotax Saksa
Taxol Brasilia, Egypti, Hollanti, Iran, Italia, Itävalta, Japani, Kolumbia, Kreikka, Malesia, Marokko, Marokko, New Zealand, Portugali, Puola, Ruotsi, Slovenia, Sveitsi, Tanska, Turkki, Venezuela, Yhdistyneet arabiemiirikunnat
Taxomedac Saksa
Vitax Brasilia, Marokko, Turkki
Stabilius seoksissa   Injektioneste   Stabilius seoksissa : Paclitaxel     
Astia Liuotin Konsentraatio Yhdiste Lämpötila Säilytys Vakauden kesto Viitteet
Lasi Natriumkloridi 0,9% 0,145 mg/ml
Injektioneste   Paclitaxel   
Injektioneste   Granisetron hydrochloride 0,5 mg/ml
20°C-23°C
4 tunti
Valo 57
Näytön laajuus A+
Lasi Glukoosi 5% 0,3 & 1,2 mg/ml
Injektioneste   Paclitaxel   
Injektioneste   Ondansetron hydrochloride 0,03 & 0,3 mg/ml
23°C
4 tunti
Valo 47
Näytön laajuus A
Lasi Glukoosi 5% 0,3 & 1,2 mg/ml
Injektioneste   Paclitaxel   
Injektioneste   Ranitidine hydrochloride 0,5 & 2 mg/ml
23°C
4 tunti
Valo 47
Näytön laajuus A
Lasi Glukoosi 5% 1,2 mg/ml
Injektioneste   Paclitaxel   
Injektioneste   Ondansetron hydrochloride 0,3 mg/ml
Injektioneste   Ranitidine hydrochloride 2,0 mg/ml
23°C
4 tunti
Valo 47
Näytön laajuus A
Lasi Glukoosi 5% 0,3 & 1,2 mg/ml
Injektioneste   Paclitaxel   
Injektioneste   Fluconazole 2 mg/ml
23°C
4 tunti
Valo 151
Näytön laajuus A
Lasi Glukoosi 5% 0,62 mg/ml
Injektioneste   Paclitaxel   
Injektioneste   Palonosetron hydrochloride 26,6 µg/ml
25°C
4 tunti
Ei määritetty 1940
Näytön laajuus A+
Lasi Glukoosi 5% 0,6 mg/ml
Injektioneste   Paclitaxel   
Injektioneste   Acetyl L-carnitine 15 mg/ml
25°C
4 tunti
3277
Näytön laajuus A+
Polyolefiini Natriumkloridi 0,9% 0,3 & 1,2 mg/ml
Injektioneste   Paclitaxel   
Injektioneste   Doxorubicin hydrochloride 0,2 mg/ml
23°C
24 tunti
Valo 1286
Jokeri
Polyolefiini Natriumkloridi 0,9% 0,3 & 1,2 mg/ml
Injektioneste   Paclitaxel   
Injektioneste   Carboplatin 2 mg/ml
23°C
24 tunti
Ei määritetty 872
Näytön laajuus B+
Polyolefiini Natriumkloridi 0,9% 0,3 & 1,2 mg/ml
Injektioneste   Paclitaxel   
Injektioneste   Doxorubicin hydrochloride 0,2 mg/ml
32°C
24 tunti
Valo 1286
Jokeri
Polyolefiini Natriumkloridi 0,9% 0,3 & 1,2 mg/ml
Injektioneste   Paclitaxel   
Injektioneste   Carboplatin 2 mg/ml
32°C
24 tunti
Ei määritetty 872
Näytön laajuus B+
Polyolefiini Natriumkloridi 0,9% 0,3 & 1,2 mg/ml
Injektioneste   Paclitaxel   
Injektioneste   Carboplatin 2 mg/ml
4°C
24 tunti
Suojattava valolta 872
Näytön laajuus B+
Polyolefiini Natriumkloridi 0,9% 0,3 & 1,2 mg/ml
Injektioneste   Paclitaxel   
Injektioneste   Doxorubicin hydrochloride 0,2 mg/ml
4°C
24 tunti
Suojattava valolta 1286
Jokeri
Polyolefiini Glukoosi 5% 0,3 & 1,2 mg/ml
Injektioneste   Paclitaxel   
Injektioneste   Doxorubicin hydrochloride 0,2 mg/ml
23°C
24 tunti
Valo 1286
Jokeri
Polyolefiini Glukoosi 5% 0,3 & 1,2 mg/ml
Injektioneste   Paclitaxel   
Injektioneste   Carboplatin 2 mg/ml
23°C
24 tunti
Ei määritetty 872
Näytön laajuus B+
Polyolefiini Glukoosi 5% 0,3 & 1,2 mg/ml
Injektioneste   Paclitaxel   
Injektioneste   Doxorubicin hydrochloride 0,2 mg/ml
32°C
24 tunti
Valo 1286
Jokeri
Polyolefiini Glukoosi 5% 0,3 & 1,2 mg/ml
Injektioneste   Paclitaxel   
Injektioneste   Carboplatin 2 mg/ml
32°C
24 tunti
Ei määritetty 872
Näytön laajuus B+
Polyolefiini Glukoosi 5% 0,3 & 1,2 mg/ml
Injektioneste   Paclitaxel   
Injektioneste   Carboplatin 2 mg/ml
4°C
24 tunti
Suojattava valolta 872
Näytön laajuus B+
Polyolefiini Glukoosi 5% 0,3 & 1,2 mg/ml
Injektioneste   Paclitaxel   
Injektioneste   Doxorubicin hydrochloride 0,2 mg/ml
4°C
24 tunti
Suojattava valolta 1286
Jokeri
Ei määritetty Natriumkloridi 0,9% 0,27 mg/ml
Injektioneste   Paclitaxel   
Injektioneste   Topotecan 0,028 mg/ml
20°C-23°C
4 tunti
Valo 1026
Näytön laajuus C
Ei määritetty Glukoosi 5% 0,27 mg/ml
Injektioneste   Paclitaxel   
Injektioneste   Topotecan 0,028 mg/ml
20°C-23°C
4 tunti
Valo 1026
Näytön laajuus C

  Mentions Légales