Τελευταία ενημέρωση :
18/03/2026
φάρμακο κατά του καρκίνου   Paclitaxel  
Ενέσιμο
Σταθερότητα διαλυμάτων Σταθερότητα σε μίγματα Παράγοντας που επηρεάζει τη σταθερότητα Συμβατότητες Τρόπος χορήγησης Βιβλιογραφία pdf
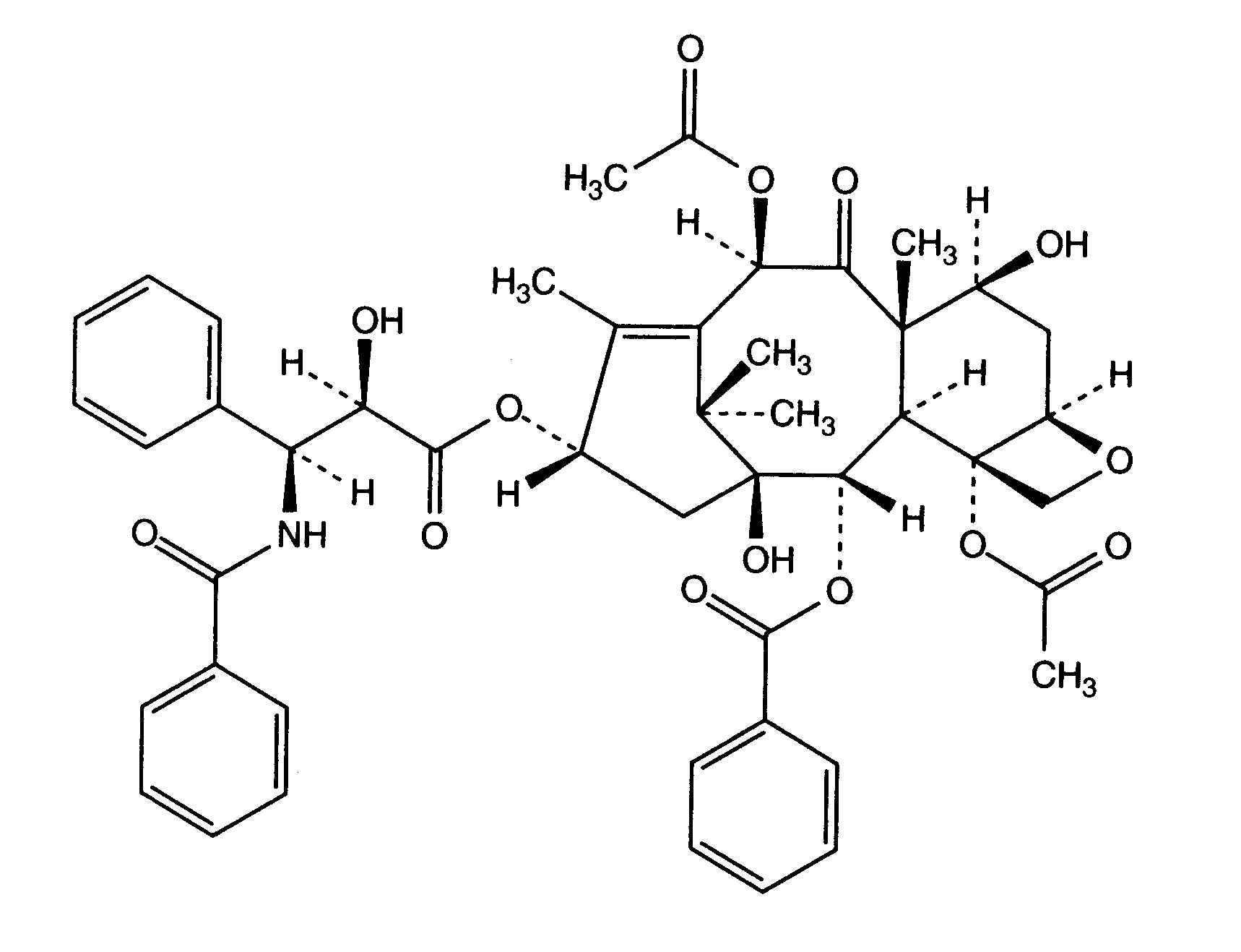
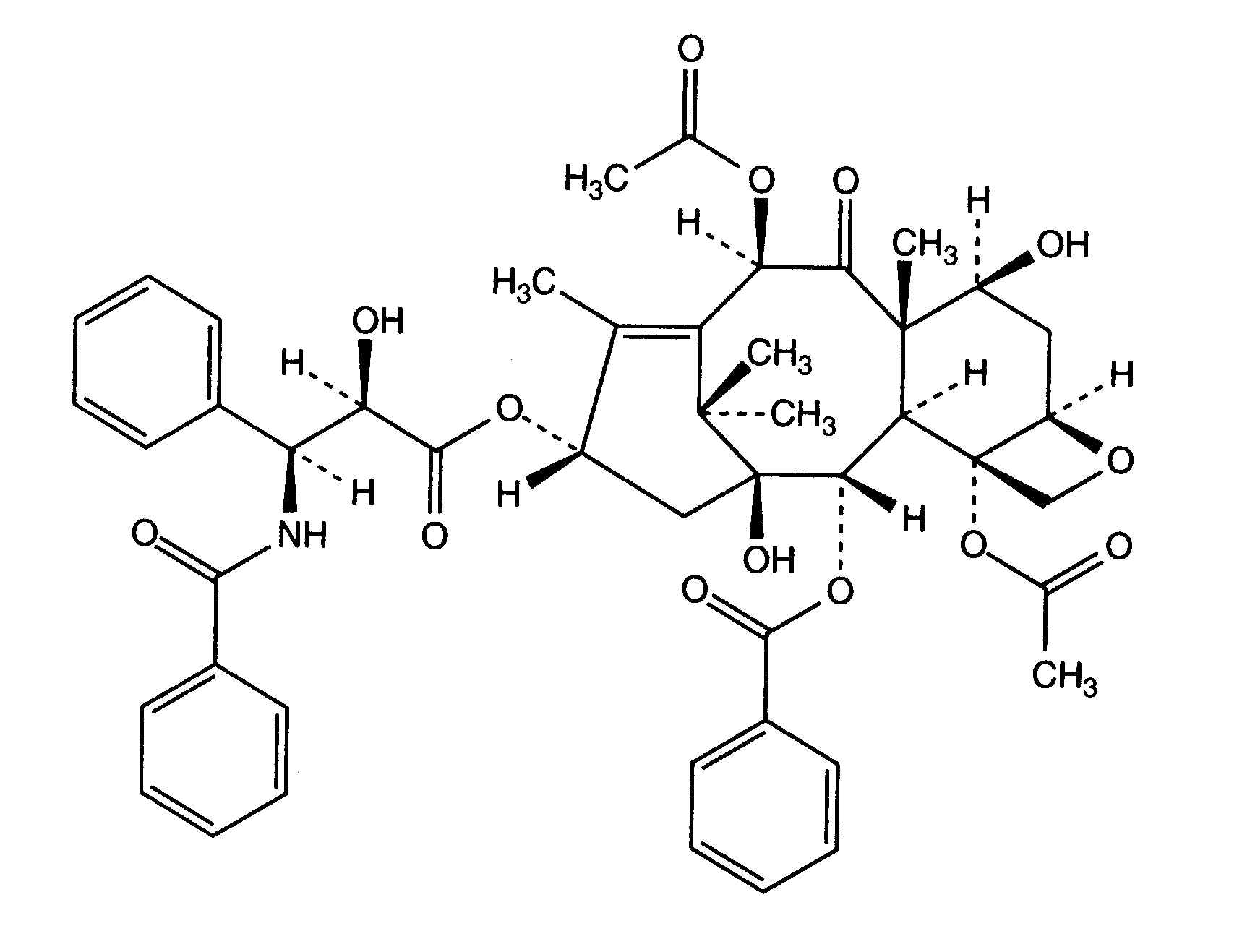
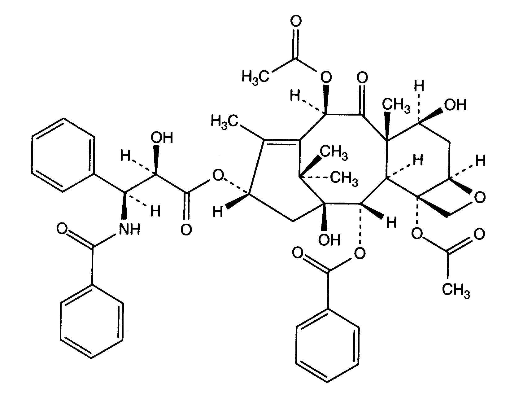
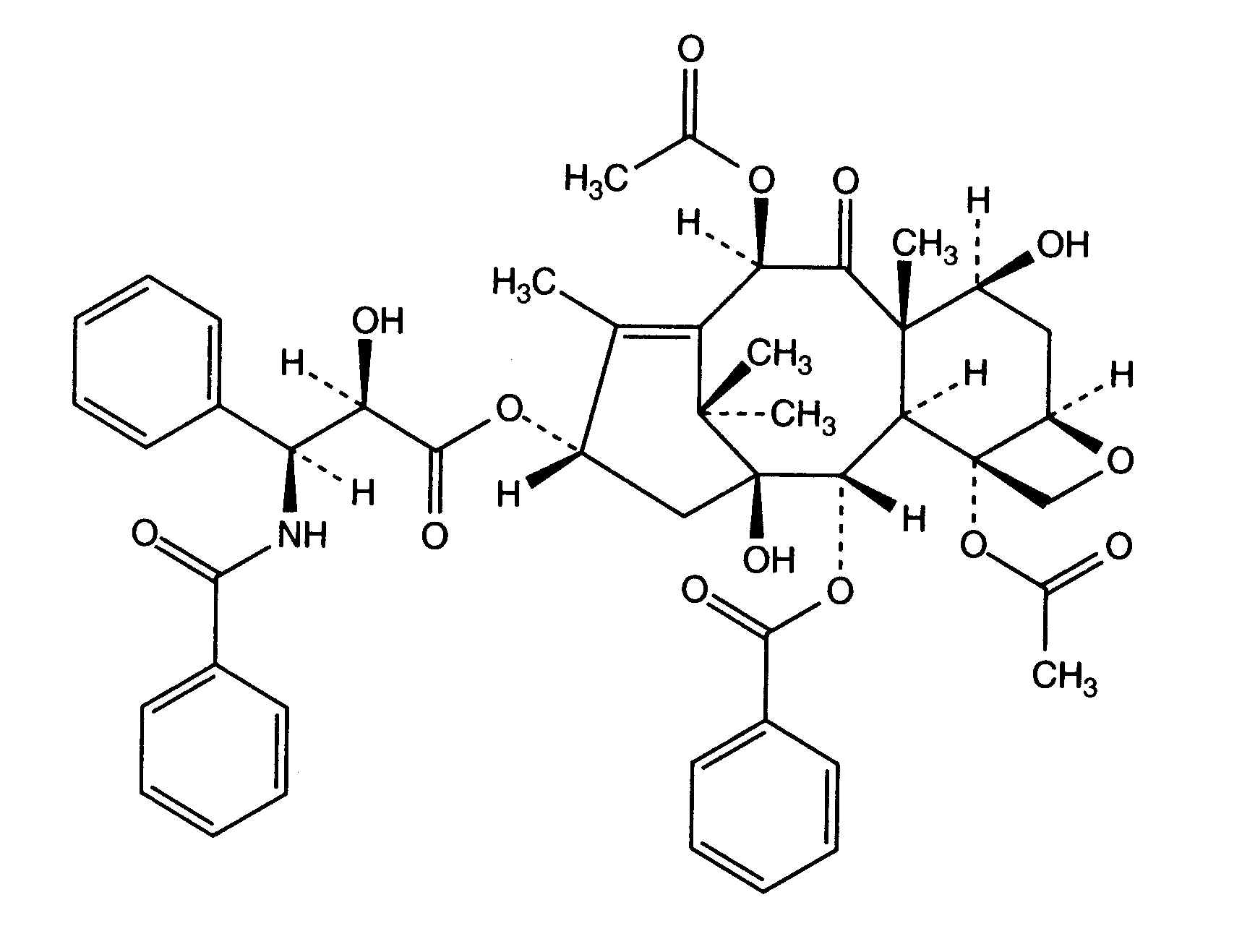
   χημική δομή  

Εμπορική ονομασία   Εμπορική ονομασία     

Οι εμπορικές ονομασίες είναι ενδεικτικές και η σύνθεση των εκδόχων μπορεί να διαφέρει ανάλογα με τη χώρα και τα εργαστήρια

Aclipak Μαλαισία
Acoexcel Μεξικό
Acupaxil Μαρόκο
Anzatax Yhdistyneet arabiemiirikunnat, Αίγυπτος, Ιράν, Μαλαισία, Μαρόκο, νέα Ζηλανδία, Περού, Σαουδική Αραβία, Τουρκία, Τυνησία
Aritaxel Γερμανία
Cantaxel Ινδία
Clitaxel Αργεντινή, Βενεζουέλα
Dalys Αργεντινή
Ebetaxel Αυστρία, Ιράν, Μαρόκο, Σαουδική Αραβία, Τουρκία, Τυνησία
Genexol Αίγυπτος, Ινδία, Ιράν
Onxol Η.Π.Α.
Paclinova Αργεντινή
Paclitaxin Βραζιλία, Λουξεμβούργο, Μαλαισία, Σλοβενία
Parexel Βενεζουέλα, Βραζιλία, Εκουαδόρ, Κολομβία
Paxene Δανία, Ελλάδα, Ιρλανδία, Ισπανία, Ολλανδία, Πολωνία
Poltaxel Πολωνία
Ribotax Γερμανία
Taxol Yhdistyneet arabiemiirikunnat, Αίγυπτος, Αυστρία, Βενεζουέλα, Βραζιλία, Δανία, Ελβετία, Ελλάδα, Ιαπωνία, Ιράν, Ιταλία, Κολομβία, Μαλαισία, Μαρόκο, νέα Ζηλανδία, Ολλανδία, Περού, Πολωνία, Πορτογαλία, Σλοβενία, Σουηδία, Τουρκία
Taxomedac Γερμανία
Vitax Βραζιλία, Περού, Τουρκία
Σταθερότητα σε μίγματα   Ενέσιμο   Σταθερότητα σε μίγματα : Paclitaxel     
Υποδοχέας Διαλυτικό Συγκέντρωση Συστατικό Θερμοκρασία Αποθήκευση Διάρκεια σταθερότητας Βιβλιογραφία
Ύαλος Χλωριούχο νάτριο 0,9% 0,145 mg/ml
Ενέσιμο   Paclitaxel   
Ενέσιμο   Granisetron hydrochloride 0,5 mg/ml
20°C-23°C
4 Ώρα
Φως 57
Επίπεδο των αποδεικτικών στοιχείων A+
Ύαλος Γλυκόζη 5% 0,3 & 1,2 mg/ml
Ενέσιμο   Paclitaxel   
Ενέσιμο   Ondansetron hydrochloride 0,03 & 0,3 mg/ml
23°C
4 Ώρα
Φως 47
Επίπεδο των αποδεικτικών στοιχείων A
Ύαλος Γλυκόζη 5% 0,3 & 1,2 mg/ml
Ενέσιμο   Paclitaxel   
Ενέσιμο   Ranitidine hydrochloride 0,5 & 2 mg/ml
23°C
4 Ώρα
Φως 47
Επίπεδο των αποδεικτικών στοιχείων A
Ύαλος Γλυκόζη 5% 1,2 mg/ml
Ενέσιμο   Paclitaxel   
Ενέσιμο   Ondansetron hydrochloride 0,3 mg/ml
Ενέσιμο   Ranitidine hydrochloride 2,0 mg/ml
23°C
4 Ώρα
Φως 47
Επίπεδο των αποδεικτικών στοιχείων A
Ύαλος Γλυκόζη 5% 0,3 & 1,2 mg/ml
Ενέσιμο   Paclitaxel   
Ενέσιμο   Fluconazole 2 mg/ml
23°C
4 Ώρα
Φως 151
Επίπεδο των αποδεικτικών στοιχείων A
Ύαλος Γλυκόζη 5% 0,62 mg/ml
Ενέσιμο   Paclitaxel   
Ενέσιμο   Palonosetron hydrochloride 26,6 µg/ml
25°C
4 Ώρα
Απροσδιόριστο 1940
Επίπεδο των αποδεικτικών στοιχείων A+
Ύαλος Γλυκόζη 5% 0,6 mg/ml
Ενέσιμο   Paclitaxel   
Ενέσιμο   Acetyl L-carnitine 15 mg/ml
25°C
4 Ώρα
3277
Επίπεδο των αποδεικτικών στοιχείων A+
Πολυολεφίνη Χλωριούχο νάτριο 0,9% 0,3 & 1,2 mg/ml
Ενέσιμο   Paclitaxel   
Ενέσιμο   Doxorubicin hydrochloride 0,2 mg/ml
23°C
24 Ώρα
Φως 1286
Τζόκερ
Πολυολεφίνη Χλωριούχο νάτριο 0,9% 0,3 & 1,2 mg/ml
Ενέσιμο   Paclitaxel   
Ενέσιμο   Carboplatin 2 mg/ml
23°C
24 Ώρα
Απροσδιόριστο 872
Επίπεδο των αποδεικτικών στοιχείων B+
Πολυολεφίνη Χλωριούχο νάτριο 0,9% 0,3 & 1,2 mg/ml
Ενέσιμο   Paclitaxel   
Ενέσιμο   Doxorubicin hydrochloride 0,2 mg/ml
32°C
24 Ώρα
Φως 1286
Τζόκερ
Πολυολεφίνη Χλωριούχο νάτριο 0,9% 0,3 & 1,2 mg/ml
Ενέσιμο   Paclitaxel   
Ενέσιμο   Carboplatin 2 mg/ml
32°C
24 Ώρα
Απροσδιόριστο 872
Επίπεδο των αποδεικτικών στοιχείων B+
Πολυολεφίνη Χλωριούχο νάτριο 0,9% 0,3 & 1,2 mg/ml
Ενέσιμο   Paclitaxel   
Ενέσιμο   Carboplatin 2 mg/ml
4°C
24 Ώρα
Προστατεύετε από το φως 872
Επίπεδο των αποδεικτικών στοιχείων B+
Πολυολεφίνη Χλωριούχο νάτριο 0,9% 0,3 & 1,2 mg/ml
Ενέσιμο   Paclitaxel   
Ενέσιμο   Doxorubicin hydrochloride 0,2 mg/ml
4°C
24 Ώρα
Προστατεύετε από το φως 1286
Τζόκερ
Πολυολεφίνη Γλυκόζη 5% 0,3 & 1,2 mg/ml
Ενέσιμο   Paclitaxel   
Ενέσιμο   Doxorubicin hydrochloride 0,2 mg/ml
23°C
24 Ώρα
Φως 1286
Τζόκερ
Πολυολεφίνη Γλυκόζη 5% 0,3 & 1,2 mg/ml
Ενέσιμο   Paclitaxel   
Ενέσιμο   Carboplatin 2 mg/ml
23°C
24 Ώρα
Απροσδιόριστο 872
Επίπεδο των αποδεικτικών στοιχείων B+
Πολυολεφίνη Γλυκόζη 5% 0,3 & 1,2 mg/ml
Ενέσιμο   Paclitaxel   
Ενέσιμο   Doxorubicin hydrochloride 0,2 mg/ml
32°C
24 Ώρα
Φως 1286
Τζόκερ
Πολυολεφίνη Γλυκόζη 5% 0,3 & 1,2 mg/ml
Ενέσιμο   Paclitaxel   
Ενέσιμο   Carboplatin 2 mg/ml
32°C
24 Ώρα
Απροσδιόριστο 872
Επίπεδο των αποδεικτικών στοιχείων B+
Πολυολεφίνη Γλυκόζη 5% 0,3 & 1,2 mg/ml
Ενέσιμο   Paclitaxel   
Ενέσιμο   Carboplatin 2 mg/ml
4°C
24 Ώρα
Προστατεύετε από το φως 872
Επίπεδο των αποδεικτικών στοιχείων B+
Πολυολεφίνη Γλυκόζη 5% 0,3 & 1,2 mg/ml
Ενέσιμο   Paclitaxel   
Ενέσιμο   Doxorubicin hydrochloride 0,2 mg/ml
4°C
24 Ώρα
Προστατεύετε από το φως 1286
Τζόκερ
Απροσδιόριστο Χλωριούχο νάτριο 0,9% 0,27 mg/ml
Ενέσιμο   Paclitaxel   
Ενέσιμο   Topotecan 0,028 mg/ml
20°C-23°C
4 Ώρα
Φως 1026
Επίπεδο των αποδεικτικών στοιχείων C
Απροσδιόριστο Γλυκόζη 5% 0,27 mg/ml
Ενέσιμο   Paclitaxel   
Ενέσιμο   Topotecan 0,028 mg/ml
20°C-23°C
4 Ώρα
Φως 1026
Επίπεδο των αποδεικτικών στοιχείων C

  Mentions Légales