Posledná aktualizácia :
17/12/2025
Protinádorová liečba   Paclitaxel  
Injekcia
Stabilita roztokov Stabilita v zmesiach Faktory ovplyvňujúce stabilitu Kompatibility spôsob podania Odkazy na literatúru PDF
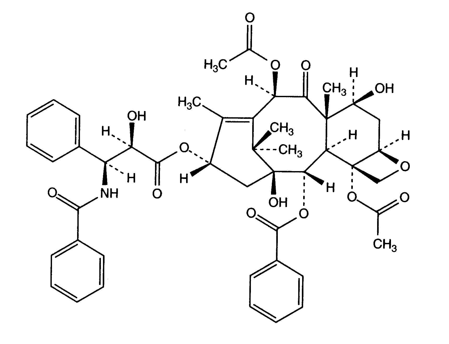
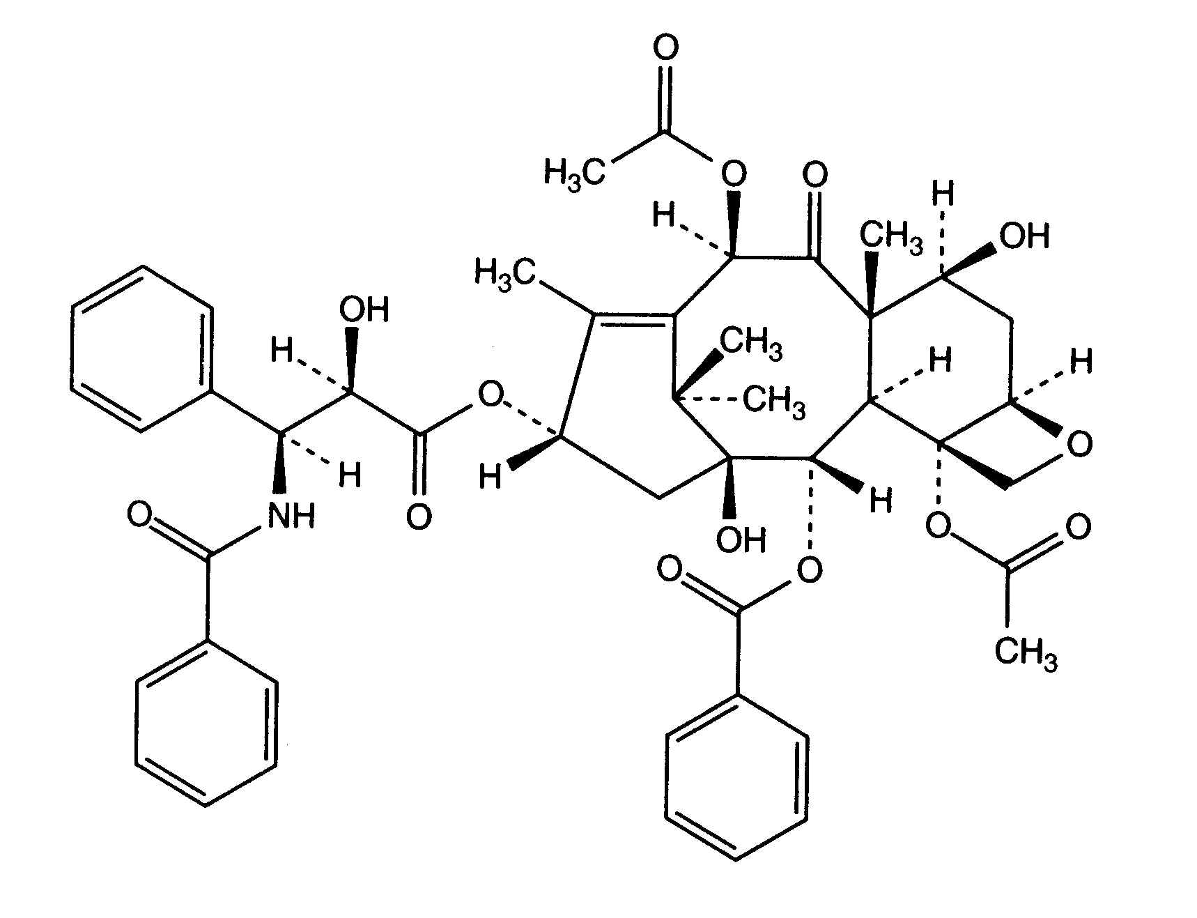
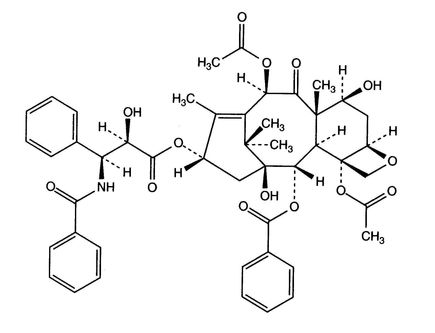
   Chemický vzorec  

Obchodný názov   Obchodný názov     

Obchodné názvy sú orientačné, a zloženie pomocných látok sa môže líšiť v závislosti od krajiny a výrobcu.

Aclipak Malajzia
Acoexcel Mexiko
Acupaxil Maroko
Anzatax Egypt, Irán, Malajzia, Maroko, nový Zéland, peru, Saudská Arábia, Spojené arabské emiráty, Tunisko, Turecko
Aritaxel Nemecko
Cantaxel India
Clitaxel Argentína, Venezuela
Dalys Argentína
Ebetaxel Irán, Maroko, Rakúsko, Saudská Arábia, Tunisko, Turecko
Genexol Egypt, India, Irán
Onxol Spojené štáty Americké
Paclinova Argentína
Paclitaxin Brazília, Luxembursko, Malajzia, Slovinsko
Parexel Brazília, Ekvádor, Kolumbia, Venezuela
Paxene Dánsko, Grécko, Holandsko, Írsko, Poľsko, Španielsko
Poltaxel Poľsko
Ribotax Nemecko
Taxol Brazília, Dánsko, Egypt, Grécko, Holandsko, Irán, Japonsko, Kolumbia, Malajzia, Maroko, nový Zéland, peru, Poľsko, Portugalsko, Rakúsko, Slovinsko, Spojené arabské emiráty, Švajčiarsko, Švédsko, Taliansko, Turecko, Venezuela
Taxomedac Nemecko
Vitax Brazília, peru, Turecko
Stabilita v zmesiach   Injekcia   Stabilita v zmesiach : Paclitaxel     
obal rozpúšťadlo koncentrácia Zlúčenina teplota uchovávanie Trvanie stability odkazy na lieteratúru
Sklo 0,9% chlorid sodný 0,145 mg/ml
Injekcia   Paclitaxel   
Injekcia   Granisetron hydrochloride 0,5 mg/ml
20°C-23°C
4 hodín
Za svetla 57
Úroveň dôkazov A+
Sklo 5% glukóza 0,3 & 1,2 mg/ml
Injekcia   Paclitaxel   
Injekcia   Ondansetron hydrochloride 0,03 & 0,3 mg/ml
23°C
4 hodín
Za svetla 47
Úroveň dôkazov A
Sklo 5% glukóza 0,3 & 1,2 mg/ml
Injekcia   Paclitaxel   
Injekcia   Ranitidine hydrochloride 0,5 & 2 mg/ml
23°C
4 hodín
Za svetla 47
Úroveň dôkazov A
Sklo 5% glukóza 1,2 mg/ml
Injekcia   Paclitaxel   
Injekcia   Ondansetron hydrochloride 0,3 mg/ml
Injekcia   Ranitidine hydrochloride 2,0 mg/ml
23°C
4 hodín
Za svetla 47
Úroveň dôkazov A
Sklo 5% glukóza 0,3 & 1,2 mg/ml
Injekcia   Paclitaxel   
Injekcia   Fluconazole 2 mg/ml
23°C
4 hodín
Za svetla 151
Úroveň dôkazov A
Sklo 5% glukóza 0,62 mg/ml
Injekcia   Paclitaxel   
Injekcia   Palonosetron hydrochloride 26,6 µg/ml
25°C
4 hodín
nešpecifikované 1940
Úroveň dôkazov A+
Sklo 5% glukóza 0,6 mg/ml
Injekcia   Paclitaxel   
Injekcia   Acetyl L-carnitine 15 mg/ml
25°C
4 hodín
3277
Úroveň dôkazov A+
polyolefín 0,9% chlorid sodný 0,3 & 1,2 mg/ml
Injekcia   Paclitaxel   
Injekcia   Doxorubicin hydrochloride 0,2 mg/ml
23°C
24 hodín
Za svetla 1286
Žolík (rôzne)
polyolefín 0,9% chlorid sodný 0,3 & 1,2 mg/ml
Injekcia   Paclitaxel   
Injekcia   Carboplatin 2 mg/ml
23°C
24 hodín
nešpecifikované 872
Úroveň dôkazov B+
polyolefín 0,9% chlorid sodný 0,3 & 1,2 mg/ml
Injekcia   Paclitaxel   
Injekcia   Doxorubicin hydrochloride 0,2 mg/ml
32°C
24 hodín
Za svetla 1286
Žolík (rôzne)
polyolefín 0,9% chlorid sodný 0,3 & 1,2 mg/ml
Injekcia   Paclitaxel   
Injekcia   Carboplatin 2 mg/ml
32°C
24 hodín
nešpecifikované 872
Úroveň dôkazov B+
polyolefín 0,9% chlorid sodný 0,3 & 1,2 mg/ml
Injekcia   Paclitaxel   
Injekcia   Carboplatin 2 mg/ml
4°C
24 hodín
Chránené pred svetlom 872
Úroveň dôkazov B+
polyolefín 0,9% chlorid sodný 0,3 & 1,2 mg/ml
Injekcia   Paclitaxel   
Injekcia   Doxorubicin hydrochloride 0,2 mg/ml
4°C
24 hodín
Chránené pred svetlom 1286
Žolík (rôzne)
polyolefín 5% glukóza 0,3 & 1,2 mg/ml
Injekcia   Paclitaxel   
Injekcia   Doxorubicin hydrochloride 0,2 mg/ml
23°C
24 hodín
Za svetla 1286
Žolík (rôzne)
polyolefín 5% glukóza 0,3 & 1,2 mg/ml
Injekcia   Paclitaxel   
Injekcia   Carboplatin 2 mg/ml
23°C
24 hodín
nešpecifikované 872
Úroveň dôkazov B+
polyolefín 5% glukóza 0,3 & 1,2 mg/ml
Injekcia   Paclitaxel   
Injekcia   Doxorubicin hydrochloride 0,2 mg/ml
32°C
24 hodín
Za svetla 1286
Žolík (rôzne)
polyolefín 5% glukóza 0,3 & 1,2 mg/ml
Injekcia   Paclitaxel   
Injekcia   Carboplatin 2 mg/ml
32°C
24 hodín
nešpecifikované 872
Úroveň dôkazov B+
polyolefín 5% glukóza 0,3 & 1,2 mg/ml
Injekcia   Paclitaxel   
Injekcia   Carboplatin 2 mg/ml
4°C
24 hodín
Chránené pred svetlom 872
Úroveň dôkazov B+
polyolefín 5% glukóza 0,3 & 1,2 mg/ml
Injekcia   Paclitaxel   
Injekcia   Doxorubicin hydrochloride 0,2 mg/ml
4°C
24 hodín
Chránené pred svetlom 1286
Žolík (rôzne)
nešpecifikované 0,9% chlorid sodný 0,27 mg/ml
Injekcia   Paclitaxel   
Injekcia   Topotecan 0,028 mg/ml
20°C-23°C
4 hodín
Za svetla 1026
Úroveň dôkazov C
nešpecifikované 5% glukóza 0,27 mg/ml
Injekcia   Paclitaxel   
Injekcia   Topotecan 0,028 mg/ml
20°C-23°C
4 hodín
Za svetla 1026
Úroveň dôkazov C

  Mentions Légales