Ultimo aggiornamento :
18/03/2026
farmaco contro il cancro   Paclitaxel  
Iniezione
Stabilità in soluzione Stabilità in miscela Fattori che influenzano la stabilità Compatibilità metodo di iniezione Bibliografia pdf
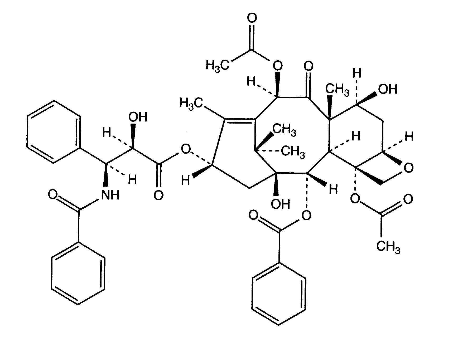
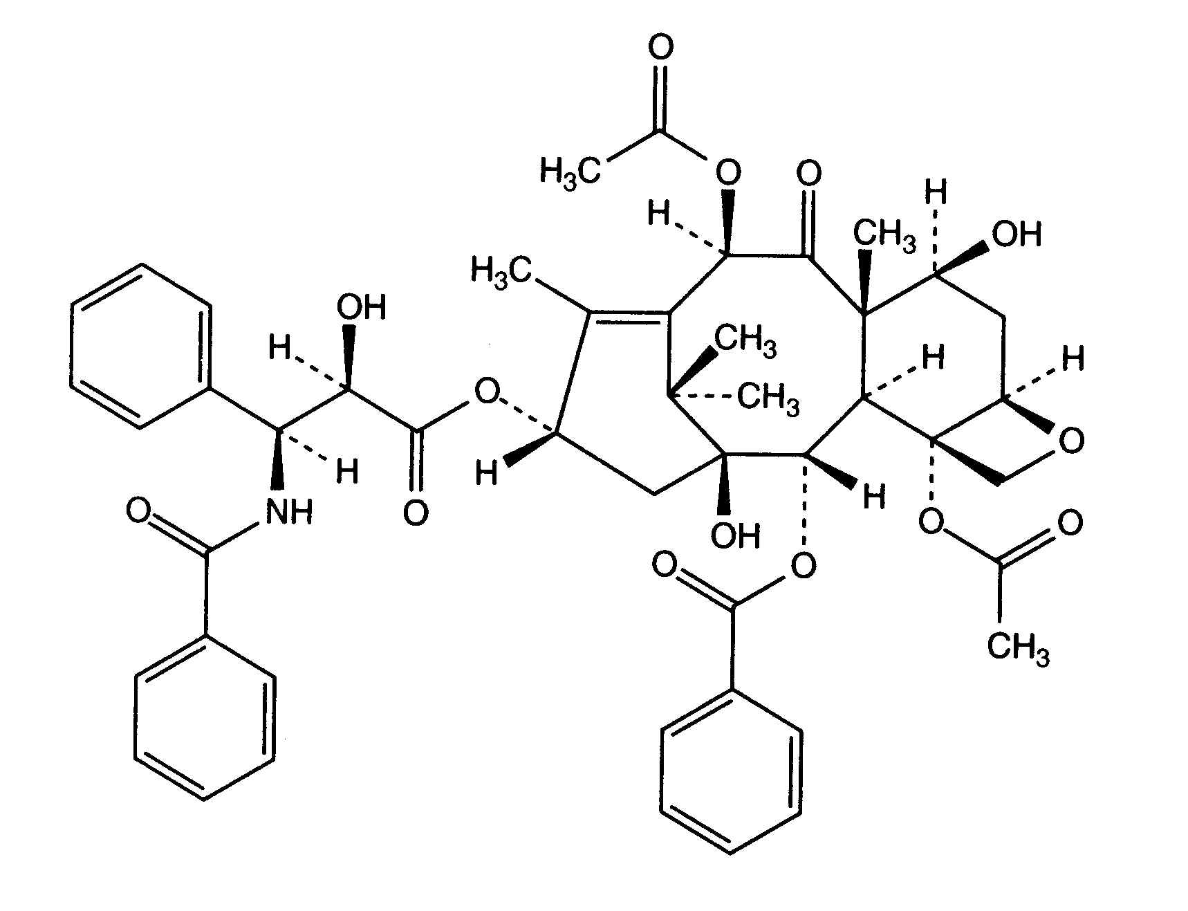
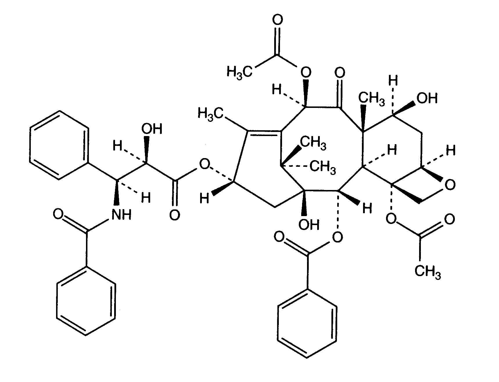
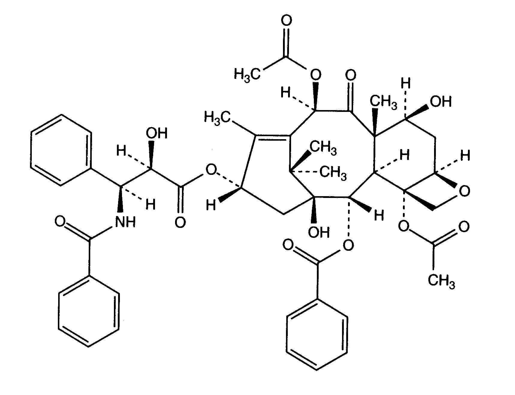
   Struttura chimica  

Nome commerciale   Nome commerciale     

Trade names are indicative and excipients composition can be different depending on the country and manufacturers

Aclipak Malaysia
Acoexcel Messico
Acupaxil Marocco
Anzatax Arabia Saudita, Egitto, Emirati Arabi Uniti, Iran, Malaysia, Marocco, nuova Zelanda, Perù, Tunisia, Turchia
Aritaxel Germania
Cantaxel India
Clitaxel Argentina, Venezuela
Dalys Argentina
Ebetaxel Arabia Saudita, Austria, Iran, Marocco, Tunisia, Turchia
Genexol Egitto, India, Iran
Onxol Stati Uniti d’America
Paclinova Argentina
Paclitaxin Brasile, Lussemburgo, Malaysia, Slovenia
Parexel Brasile, Colombia, Ecuador, Venezuela
Paxene Danimarca, Grecia, Irlanda, Paesi Bassi, Polonia, Spagna
Poltaxel Polonia
Ribotax Germania
Taxol Austria, Brasile, Colombia, Danimarca, Egitto, Emirati Arabi Uniti, Giappone, Grecia, Iran, Italia, Malaysia, Marocco, nuova Zelanda, Paesi Bassi, Perù, Polonia, Portogallo, Slovenia, Svezia, Svizzera, Turchia, Venezuela
Taxomedac Germania
Vitax Brasile, Perù, Turchia
Stabilità in miscela   Iniezione   Stabilità in miscela : Paclitaxel     
contenitore Solvente Concentrazione Molecola Temperatura Conservazione Durata della stabilità Bibliografia
Vetro Cloruro di sodio 0,9% 0,145 mg/ml
Iniezione   Paclitaxel   
Iniezione   Granisetron hydrochloride 0,5 mg/ml
20°C-23°C
4 Ora
Luce 57
Livello di evidenza A+
Vetro Glucosio 5% 0,3 & 1,2 mg/ml
Iniezione   Paclitaxel   
Iniezione   Ondansetron hydrochloride 0,03 & 0,3 mg/ml
23°C
4 Ora
Luce 47
Livello di evidenza A
Vetro Glucosio 5% 0,3 & 1,2 mg/ml
Iniezione   Paclitaxel   
Iniezione   Ranitidine hydrochloride 0,5 & 2 mg/ml
23°C
4 Ora
Luce 47
Livello di evidenza A
Vetro Glucosio 5% 1,2 mg/ml
Iniezione   Paclitaxel   
Iniezione   Ondansetron hydrochloride 0,3 mg/ml
Iniezione   Ranitidine hydrochloride 2,0 mg/ml
23°C
4 Ora
Luce 47
Livello di evidenza A
Vetro Glucosio 5% 0,3 & 1,2 mg/ml
Iniezione   Paclitaxel   
Iniezione   Fluconazole 2 mg/ml
23°C
4 Ora
Luce 151
Livello di evidenza A
Vetro Glucosio 5% 0,62 mg/ml
Iniezione   Paclitaxel   
Iniezione   Palonosetron hydrochloride 26,6 µg/ml
25°C
4 Ora
Non precisata 1940
Livello di evidenza A+
Vetro Glucosio 5% 0,6 mg/ml
Iniezione   Paclitaxel   
Iniezione   Acetyl L-carnitine 15 mg/ml
25°C
4 Ora
3277
Livello di evidenza A+
Poliolefina Cloruro di sodio 0,9% 0,3 & 1,2 mg/ml
Iniezione   Paclitaxel   
Iniezione   Doxorubicin hydrochloride 0,2 mg/ml
23°C
24 Ora
Luce 1286
Joker
Poliolefina Cloruro di sodio 0,9% 0,3 & 1,2 mg/ml
Iniezione   Paclitaxel   
Iniezione   Carboplatin 2 mg/ml
23°C
24 Ora
Non precisata 872
Livello di evidenza B+
Poliolefina Cloruro di sodio 0,9% 0,3 & 1,2 mg/ml
Iniezione   Paclitaxel   
Iniezione   Doxorubicin hydrochloride 0,2 mg/ml
32°C
24 Ora
Luce 1286
Joker
Poliolefina Cloruro di sodio 0,9% 0,3 & 1,2 mg/ml
Iniezione   Paclitaxel   
Iniezione   Carboplatin 2 mg/ml
32°C
24 Ora
Non precisata 872
Livello di evidenza B+
Poliolefina Cloruro di sodio 0,9% 0,3 & 1,2 mg/ml
Iniezione   Paclitaxel   
Iniezione   Carboplatin 2 mg/ml
4°C
24 Ora
Al riparo dalla luce 872
Livello di evidenza B+
Poliolefina Cloruro di sodio 0,9% 0,3 & 1,2 mg/ml
Iniezione   Paclitaxel   
Iniezione   Doxorubicin hydrochloride 0,2 mg/ml
4°C
24 Ora
Al riparo dalla luce 1286
Joker
Poliolefina Glucosio 5% 0,3 & 1,2 mg/ml
Iniezione   Paclitaxel   
Iniezione   Doxorubicin hydrochloride 0,2 mg/ml
23°C
24 Ora
Luce 1286
Joker
Poliolefina Glucosio 5% 0,3 & 1,2 mg/ml
Iniezione   Paclitaxel   
Iniezione   Carboplatin 2 mg/ml
23°C
24 Ora
Non precisata 872
Livello di evidenza B+
Poliolefina Glucosio 5% 0,3 & 1,2 mg/ml
Iniezione   Paclitaxel   
Iniezione   Doxorubicin hydrochloride 0,2 mg/ml
32°C
24 Ora
Luce 1286
Joker
Poliolefina Glucosio 5% 0,3 & 1,2 mg/ml
Iniezione   Paclitaxel   
Iniezione   Carboplatin 2 mg/ml
32°C
24 Ora
Non precisata 872
Livello di evidenza B+
Poliolefina Glucosio 5% 0,3 & 1,2 mg/ml
Iniezione   Paclitaxel   
Iniezione   Carboplatin 2 mg/ml
4°C
24 Ora
Al riparo dalla luce 872
Livello di evidenza B+
Poliolefina Glucosio 5% 0,3 & 1,2 mg/ml
Iniezione   Paclitaxel   
Iniezione   Doxorubicin hydrochloride 0,2 mg/ml
4°C
24 Ora
Al riparo dalla luce 1286
Joker
Non precisato Cloruro di sodio 0,9% 0,27 mg/ml
Iniezione   Paclitaxel   
Iniezione   Topotecan 0,028 mg/ml
20°C-23°C
4 Ora
Luce 1026
Livello di evidenza C
Non precisato Glucosio 5% 0,27 mg/ml
Iniezione   Paclitaxel   
Iniezione   Topotecan 0,028 mg/ml
20°C-23°C
4 Ora
Luce 1026
Livello di evidenza C

  Mentions Légales