Laatste update :
17/12/2025
geneesmiddel tegen kanker   Paclitaxel  
injecteerbaar geneesmiddel
Stabiliteit in oplossing Stabiliteit in mengsels Factoren die de stabiliteit beïnvloeden Verenigbaarheden Toedieningswijze Literatuur pdf
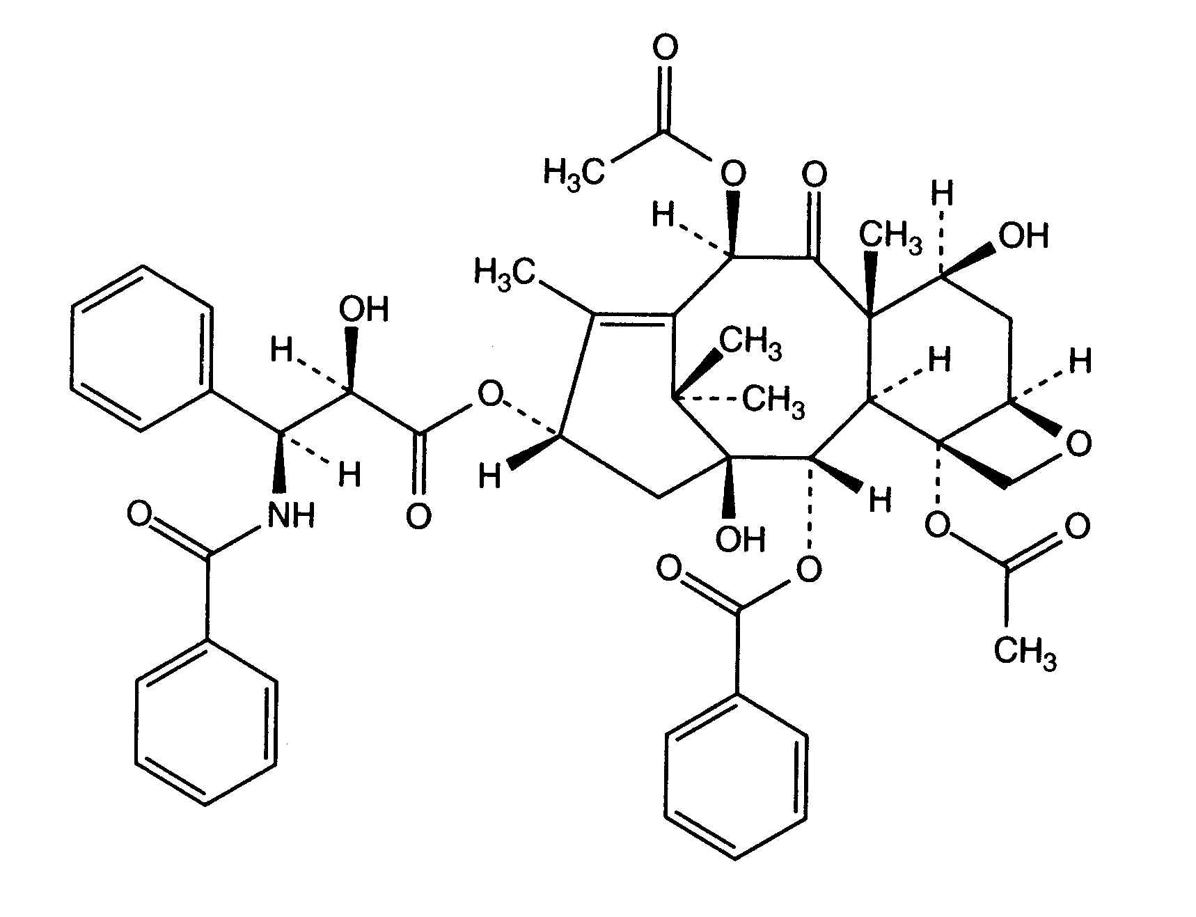
   Molecuulstructuur  

Merknamen in verschillende landen   Merknamen in verschillende landen     

Handelsnamen zijn slechts een indicatie; de samenstelling van hulpstoffen kan per land variëren afhankelijk van de fabrikant

Aclipak Maleisië
Acoexcel Mexico
Acupaxil Marokko
Anzatax Egypte, Iran, Maleisië, Marokko, nieuw Zeeland, Peru, Saudi-Arabië, Tunisie, Turkije, Verenigde Arabische Emiraten
Aritaxel Duitsland
Cantaxel Indië
Clitaxel Argentinië, Venezuela
Dalys Argentinië
Ebetaxel Iran, Marokko, Oostenrijk, Saudi-Arabië, Tunisie, Turkije
Genexol Egypte, Indië, Iran
Onxol USA
Paclinova Argentinië
Paclitaxin Brazilië, Luxemburg, Maleisië, Slovenië
Parexel Brazilië, Colombia, Ecuador, Venezuela
Paxene Denemarken, Griekenland, Ierland, Nederland, Polen, Spanje
Poltaxel Polen
Ribotax Duitsland
Taxol Brazilië, Colombia, Denemarken, Egypte, Griekenland, Iran, Italië, Japan, Maleisië, Marokko, Nederland, nieuw Zeeland, Oostenrijk, Peru, Polen, Portugal, Slovenië, Turkije, Venezuela, Verenigde Arabische Emiraten, Zweden, Zwitserland
Taxomedac Duitsland
Vitax Brazilië, Peru, Turkije
Stabiliteit in mengsels   injecteerbaar geneesmiddel   Stabiliteit in mengsels : Paclitaxel     
Verpakking Oplosmiddel Concentratie Stof Temperatuur Bewaring Duur van de stabiliteit Literatuur
Glas Natriumchloride 0,9% 0,145 mg/ml
injecteerbaar geneesmiddel   Paclitaxel   
injecteerbaar geneesmiddel   Granisetron hydrochloride 0,5 mg/ml
20°C-23°C
4 Uur
Licht 57
Bewijsniveau A+
Glas Glucose 5% 0,3 & 1,2 mg/ml
injecteerbaar geneesmiddel   Paclitaxel   
injecteerbaar geneesmiddel   Ondansetron hydrochloride 0,03 & 0,3 mg/ml
23°C
4 Uur
Licht 47
Bewijsniveau A
Glas Glucose 5% 0,3 & 1,2 mg/ml
injecteerbaar geneesmiddel   Paclitaxel   
injecteerbaar geneesmiddel   Ranitidine hydrochloride 0,5 & 2 mg/ml
23°C
4 Uur
Licht 47
Bewijsniveau A
Glas Glucose 5% 1,2 mg/ml
injecteerbaar geneesmiddel   Paclitaxel   
injecteerbaar geneesmiddel   Ondansetron hydrochloride 0,3 mg/ml
injecteerbaar geneesmiddel   Ranitidine hydrochloride 2,0 mg/ml
23°C
4 Uur
Licht 47
Bewijsniveau A
Glas Glucose 5% 0,3 & 1,2 mg/ml
injecteerbaar geneesmiddel   Paclitaxel   
injecteerbaar geneesmiddel   Fluconazole 2 mg/ml
23°C
4 Uur
Licht 151
Bewijsniveau A
Glas Glucose 5% 0,62 mg/ml
injecteerbaar geneesmiddel   Paclitaxel   
injecteerbaar geneesmiddel   Palonosetron hydrochloride 26,6 µg/ml
25°C
4 Uur
Niet gespecificeerd 1940
Bewijsniveau A+
Glas Glucose 5% 0,6 mg/ml
injecteerbaar geneesmiddel   Paclitaxel   
injecteerbaar geneesmiddel   Acetyl L-carnitine 15 mg/ml
25°C
4 Uur
3277
Bewijsniveau A+
Polyolefine Natriumchloride 0,9% 0,3 & 1,2 mg/ml
injecteerbaar geneesmiddel   Paclitaxel   
injecteerbaar geneesmiddel   Doxorubicin hydrochloride 0,2 mg/ml
23°C
24 Uur
Licht 1286
Joker
Polyolefine Natriumchloride 0,9% 0,3 & 1,2 mg/ml
injecteerbaar geneesmiddel   Paclitaxel   
injecteerbaar geneesmiddel   Carboplatin 2 mg/ml
23°C
24 Uur
Niet gespecificeerd 872
Niveau van bewijs B+
Polyolefine Natriumchloride 0,9% 0,3 & 1,2 mg/ml
injecteerbaar geneesmiddel   Paclitaxel   
injecteerbaar geneesmiddel   Doxorubicin hydrochloride 0,2 mg/ml
32°C
24 Uur
Licht 1286
Joker
Polyolefine Natriumchloride 0,9% 0,3 & 1,2 mg/ml
injecteerbaar geneesmiddel   Paclitaxel   
injecteerbaar geneesmiddel   Carboplatin 2 mg/ml
32°C
24 Uur
Niet gespecificeerd 872
Niveau van bewijs B+
Polyolefine Natriumchloride 0,9% 0,3 & 1,2 mg/ml
injecteerbaar geneesmiddel   Paclitaxel   
injecteerbaar geneesmiddel   Carboplatin 2 mg/ml
4°C
24 Uur
Buiten invloed van licht 872
Niveau van bewijs B+
Polyolefine Natriumchloride 0,9% 0,3 & 1,2 mg/ml
injecteerbaar geneesmiddel   Paclitaxel   
injecteerbaar geneesmiddel   Doxorubicin hydrochloride 0,2 mg/ml
4°C
24 Uur
Buiten invloed van licht 1286
Joker
Polyolefine Glucose 5% 0,3 & 1,2 mg/ml
injecteerbaar geneesmiddel   Paclitaxel   
injecteerbaar geneesmiddel   Doxorubicin hydrochloride 0,2 mg/ml
23°C
24 Uur
Licht 1286
Joker
Polyolefine Glucose 5% 0,3 & 1,2 mg/ml
injecteerbaar geneesmiddel   Paclitaxel   
injecteerbaar geneesmiddel   Carboplatin 2 mg/ml
23°C
24 Uur
Niet gespecificeerd 872
Niveau van bewijs B+
Polyolefine Glucose 5% 0,3 & 1,2 mg/ml
injecteerbaar geneesmiddel   Paclitaxel   
injecteerbaar geneesmiddel   Doxorubicin hydrochloride 0,2 mg/ml
32°C
24 Uur
Licht 1286
Joker
Polyolefine Glucose 5% 0,3 & 1,2 mg/ml
injecteerbaar geneesmiddel   Paclitaxel   
injecteerbaar geneesmiddel   Carboplatin 2 mg/ml
32°C
24 Uur
Niet gespecificeerd 872
Niveau van bewijs B+
Polyolefine Glucose 5% 0,3 & 1,2 mg/ml
injecteerbaar geneesmiddel   Paclitaxel   
injecteerbaar geneesmiddel   Carboplatin 2 mg/ml
4°C
24 Uur
Buiten invloed van licht 872
Niveau van bewijs B+
Polyolefine Glucose 5% 0,3 & 1,2 mg/ml
injecteerbaar geneesmiddel   Paclitaxel   
injecteerbaar geneesmiddel   Doxorubicin hydrochloride 0,2 mg/ml
4°C
24 Uur
Buiten invloed van licht 1286
Joker
Niet gespecificeerd Natriumchloride 0,9% 0,27 mg/ml
injecteerbaar geneesmiddel   Paclitaxel   
injecteerbaar geneesmiddel   Topotecan 0,028 mg/ml
20°C-23°C
4 Uur
Licht 1026
Bewijsniveau C
Niet gespecificeerd Glucose 5% 0,27 mg/ml
injecteerbaar geneesmiddel   Paclitaxel   
injecteerbaar geneesmiddel   Topotecan 0,028 mg/ml
20°C-23°C
4 Uur
Licht 1026
Bewijsniveau C

  Mentions Légales