Last update :
18/03/2026
Anticancer drug   Paclitaxel  
injection
Stability in solutions Stability of mixtures Factors which affect stability Compatibility Route of administration References pdf
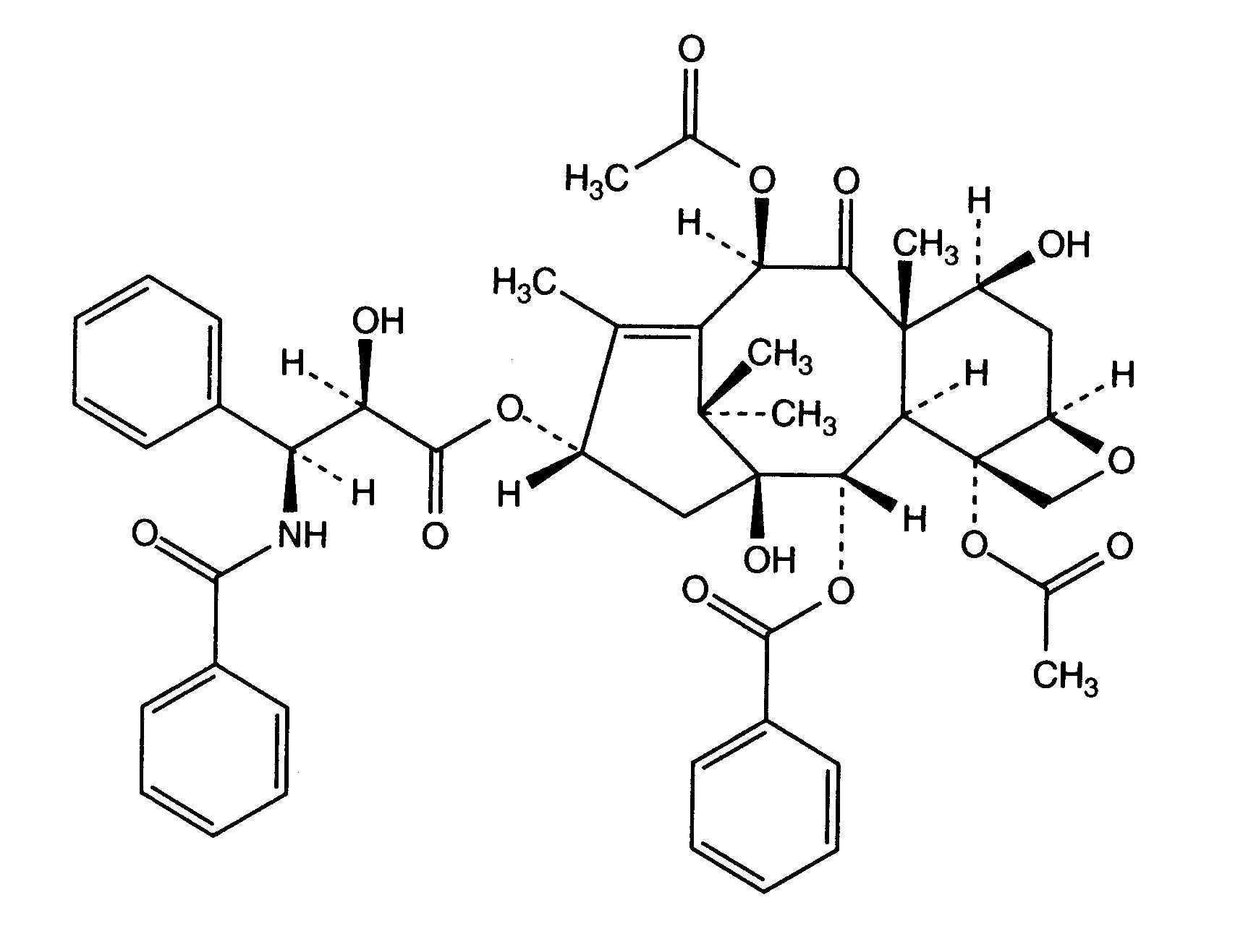
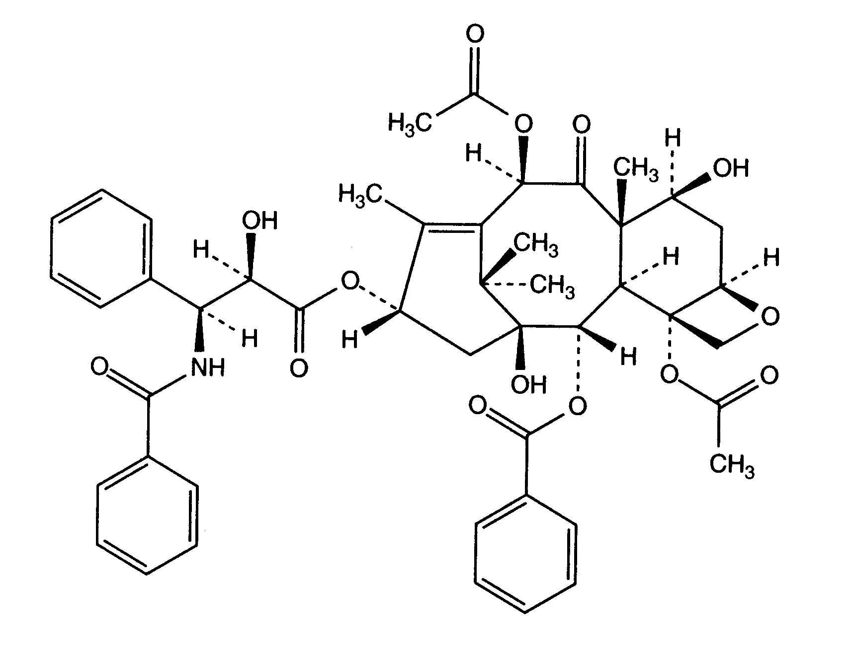
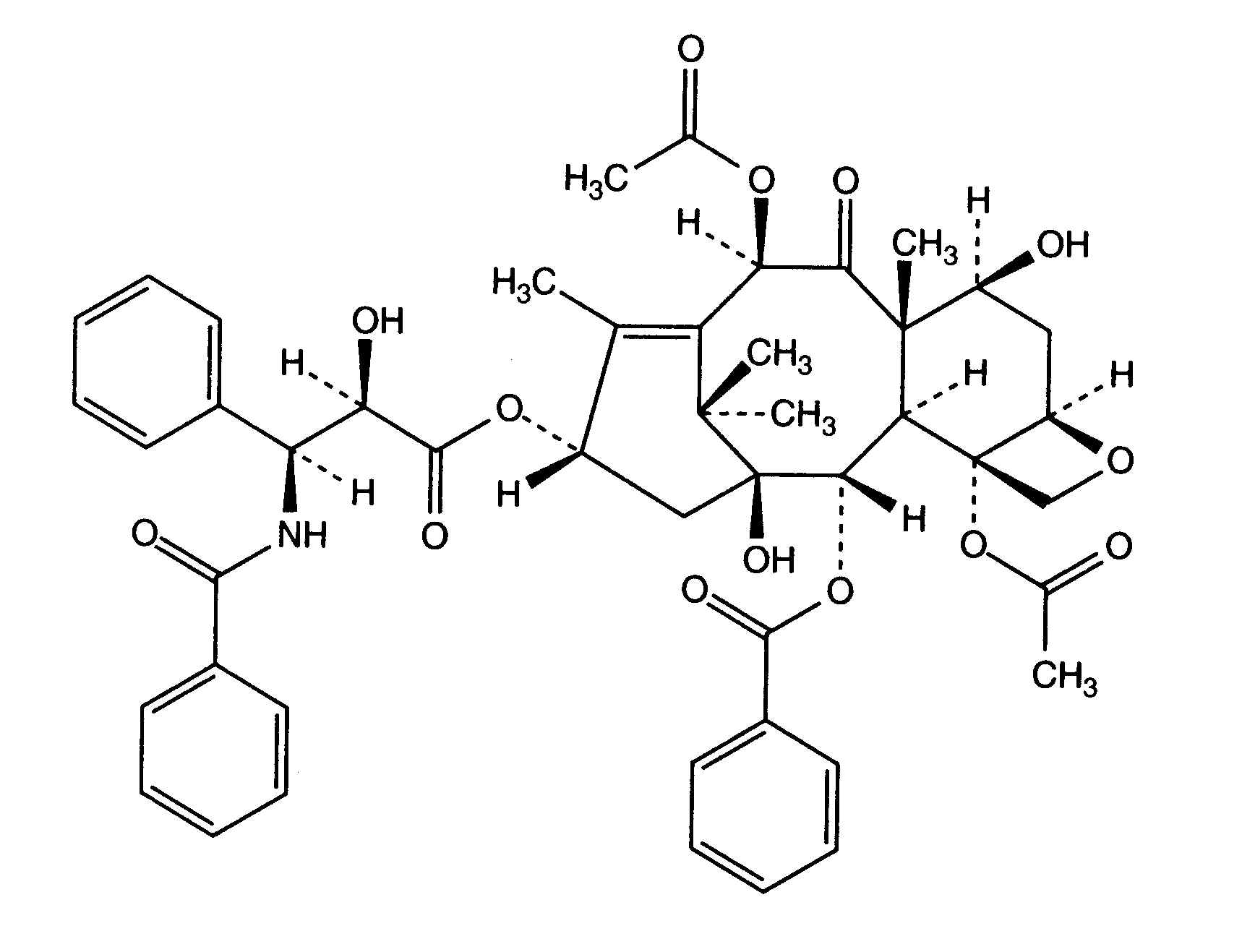
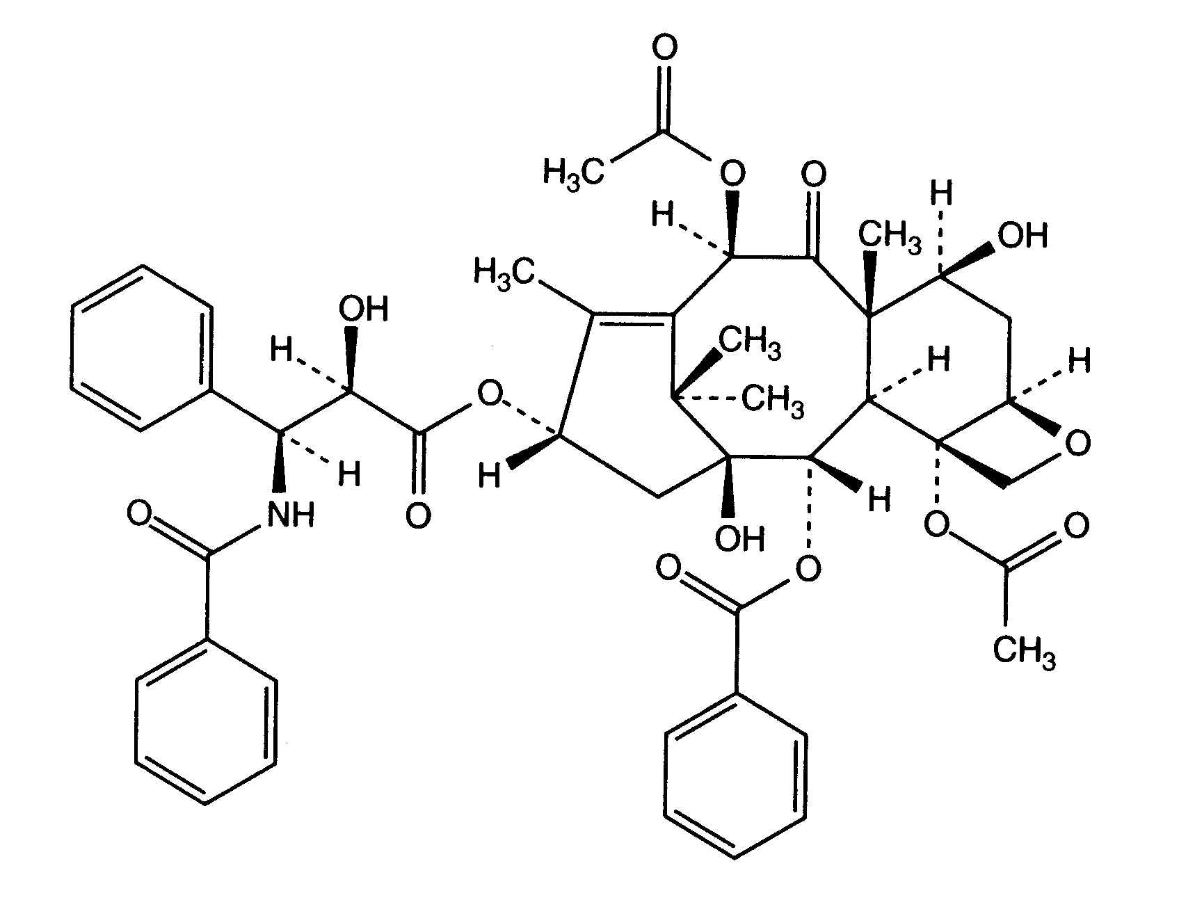
   Chemical structure  

Tradename   Tradename     

Trade names are indicative and excipients composition can be different depending on the country and manufacturers

Aclipak Malaysia
Acoexcel Mexico
Acupaxil Morocco
Anzatax Egypt, Iran, Malaysia, Morocco, New Zealand, Peru, Saudi Arabia, Tunisia, Turkey, United Arab Emirates
Aritaxel Germany
Cantaxel India
Clitaxel Argentina, Venezuela
Dalys Argentina
Ebetaxel Austria, Iran, Morocco, Saudi Arabia, Tunisia, Turkey
Genexol Egypt, India, Iran
Onxol United States of America
Paclinova Argentina
Paclitaxin Brazil, Luxembourg, Malaysia, Slovenia
Parexel Brazil, Colombia, Ecuador, Venezuela
Paxene Denmark, Greece, Ireland, Netherlands, Poland, Spain
Poltaxel Poland
Ribotax Germany
Taxol Austria, Brazil, Colombia, Denmark, Egypt, Greece, Iran, Italy, Japan, Malaysia, Morocco, Netherlands, New Zealand, Peru, Poland, Portugal, Slovenia, Sweden, Switzerland, Turkey, United Arab Emirates, Venezuela
Taxomedac Germany
Vitax Brazil, Peru, Turkey
Stability of mixtures   injection   Stability of mixtures : Paclitaxel     
Container Solvent Concentration Compound Temperature Storage Duration of stability References
Glass Sodium chloride 0,9% 0,145 mg/ml
injection   Paclitaxel   
injection   Granisetron hydrochloride 0,5 mg/ml
20°C-23°C
4 Hour
Light 57
Level of evidence A+
Glass Glucose 5% 0,3 & 1,2 mg/ml
injection   Paclitaxel   
injection   Ondansetron hydrochloride 0,03 & 0,3 mg/ml
23°C
4 Hour
Light 47
Level of evidence A
Glass Glucose 5% 0,3 & 1,2 mg/ml
injection   Paclitaxel   
injection   Ranitidine hydrochloride 0,5 & 2 mg/ml
23°C
4 Hour
Light 47
Level of evidence A
Glass Glucose 5% 1,2 mg/ml
injection   Paclitaxel   
injection   Ondansetron hydrochloride 0,3 mg/ml
injection   Ranitidine hydrochloride 2,0 mg/ml
23°C
4 Hour
Light 47
Level of evidence A
Glass Glucose 5% 0,3 & 1,2 mg/ml
injection   Paclitaxel   
injection   Fluconazole 2 mg/ml
23°C
4 Hour
Light 151
Level of evidence A
Glass Glucose 5% 0,62 mg/ml
injection   Paclitaxel   
injection   Palonosetron hydrochloride 26,6 µg/ml
25°C
4 Hour
Not specified 1940
Level of evidence A+
Glass Glucose 5% 0,6 mg/ml
injection   Paclitaxel   
injection   Acetyl L-carnitine 15 mg/ml
25°C
4 Hour
3277
Level of evidence A+
Polyolefine Sodium chloride 0,9% 0,3 & 1,2 mg/ml
injection   Paclitaxel   
injection   Doxorubicin hydrochloride 0,2 mg/ml
23°C
24 Hour
Light 1286
Joker
Polyolefine Sodium chloride 0,9% 0,3 & 1,2 mg/ml
injection   Paclitaxel   
injection   Carboplatin 2 mg/ml
23°C
24 Hour
Not specified 872
Level of evidence B+
Polyolefine Sodium chloride 0,9% 0,3 & 1,2 mg/ml
injection   Paclitaxel   
injection   Doxorubicin hydrochloride 0,2 mg/ml
32°C
24 Hour
Light 1286
Joker
Polyolefine Sodium chloride 0,9% 0,3 & 1,2 mg/ml
injection   Paclitaxel   
injection   Carboplatin 2 mg/ml
32°C
24 Hour
Not specified 872
Level of evidence B+
Polyolefine Sodium chloride 0,9% 0,3 & 1,2 mg/ml
injection   Paclitaxel   
injection   Carboplatin 2 mg/ml
4°C
24 Hour
Protect from light 872
Level of evidence B+
Polyolefine Sodium chloride 0,9% 0,3 & 1,2 mg/ml
injection   Paclitaxel   
injection   Doxorubicin hydrochloride 0,2 mg/ml
4°C
24 Hour
Protect from light 1286
Joker
Polyolefine Glucose 5% 0,3 & 1,2 mg/ml
injection   Paclitaxel   
injection   Doxorubicin hydrochloride 0,2 mg/ml
23°C
24 Hour
Light 1286
Joker
Polyolefine Glucose 5% 0,3 & 1,2 mg/ml
injection   Paclitaxel   
injection   Carboplatin 2 mg/ml
23°C
24 Hour
Not specified 872
Level of evidence B+
Polyolefine Glucose 5% 0,3 & 1,2 mg/ml
injection   Paclitaxel   
injection   Doxorubicin hydrochloride 0,2 mg/ml
32°C
24 Hour
Light 1286
Joker
Polyolefine Glucose 5% 0,3 & 1,2 mg/ml
injection   Paclitaxel   
injection   Carboplatin 2 mg/ml
32°C
24 Hour
Not specified 872
Level of evidence B+
Polyolefine Glucose 5% 0,3 & 1,2 mg/ml
injection   Paclitaxel   
injection   Carboplatin 2 mg/ml
4°C
24 Hour
Protect from light 872
Level of evidence B+
Polyolefine Glucose 5% 0,3 & 1,2 mg/ml
injection   Paclitaxel   
injection   Doxorubicin hydrochloride 0,2 mg/ml
4°C
24 Hour
Protect from light 1286
Joker
Not specified Sodium chloride 0,9% 0,27 mg/ml
injection   Paclitaxel   
injection   Topotecan 0,028 mg/ml
20°C-23°C
4 Hour
Light 1026
Level of evidence C
Not specified Glucose 5% 0,27 mg/ml
injection   Paclitaxel   
injection   Topotecan 0,028 mg/ml
20°C-23°C
4 Hour
Light 1026
Level of evidence C

  Mentions Légales