Última actualización :
18/03/2026
fármacos contra el cáncer   Paclitaxel  
Inyectables
Estabilidad en solucion Estabilidad en mezcla Factores que influyen sobre la estabilidad Compatibilidades método de inyección Bibliografía pdf
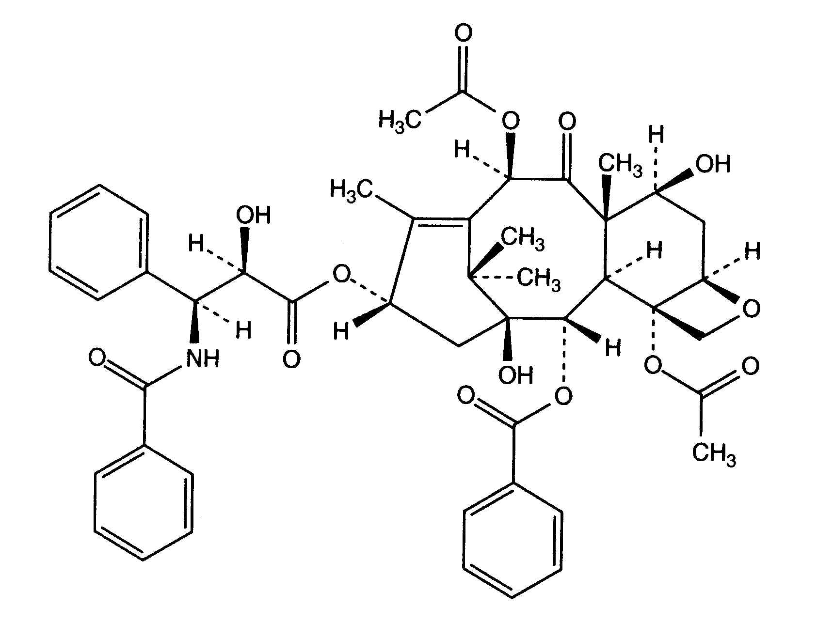
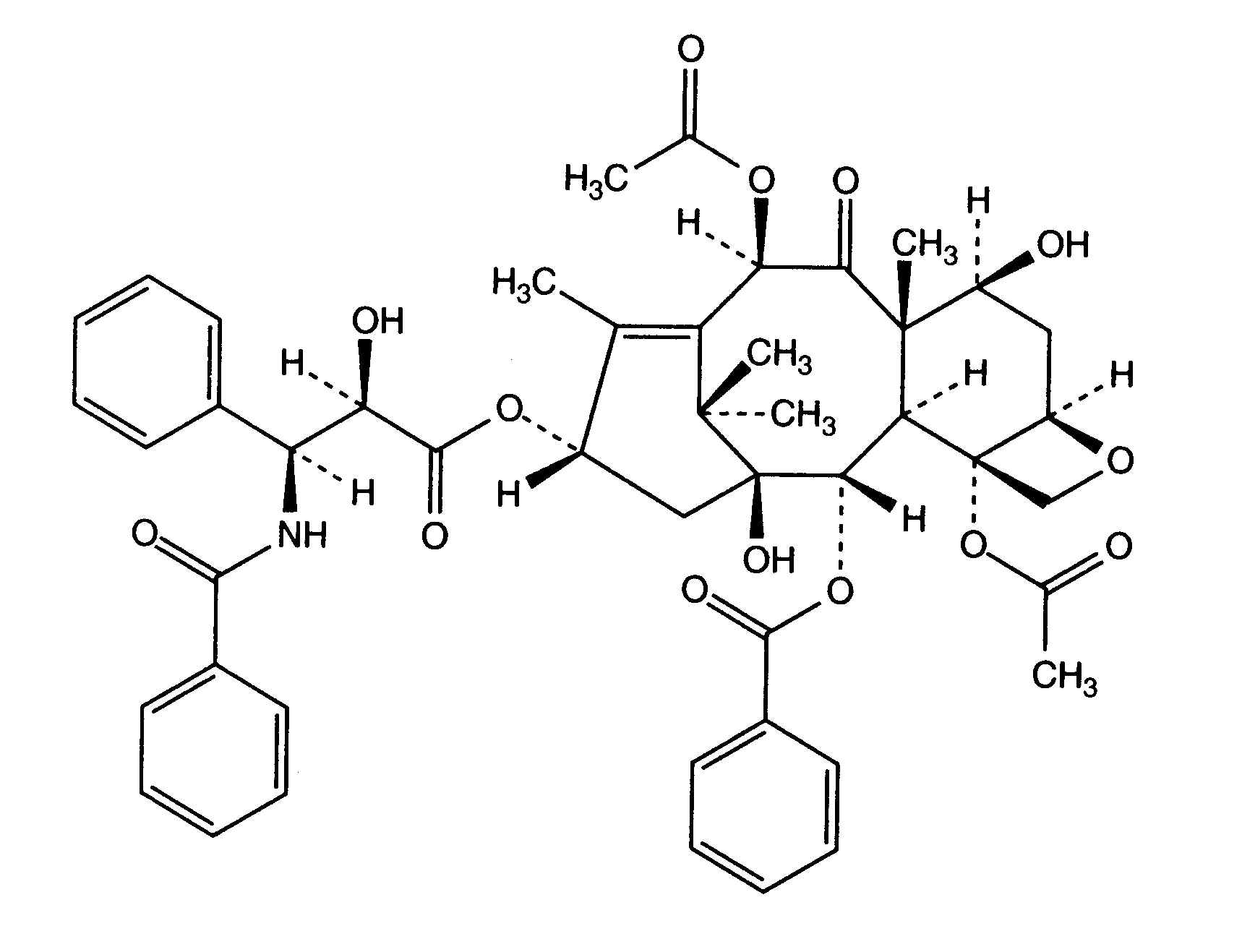
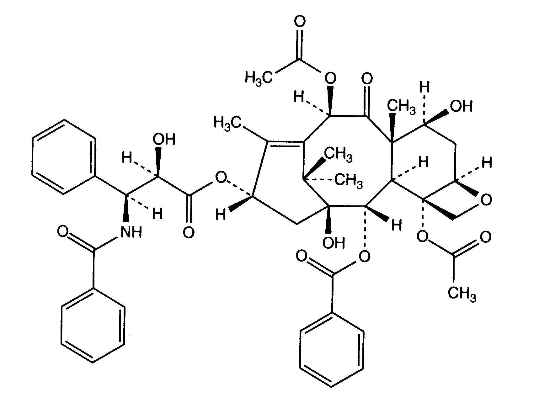
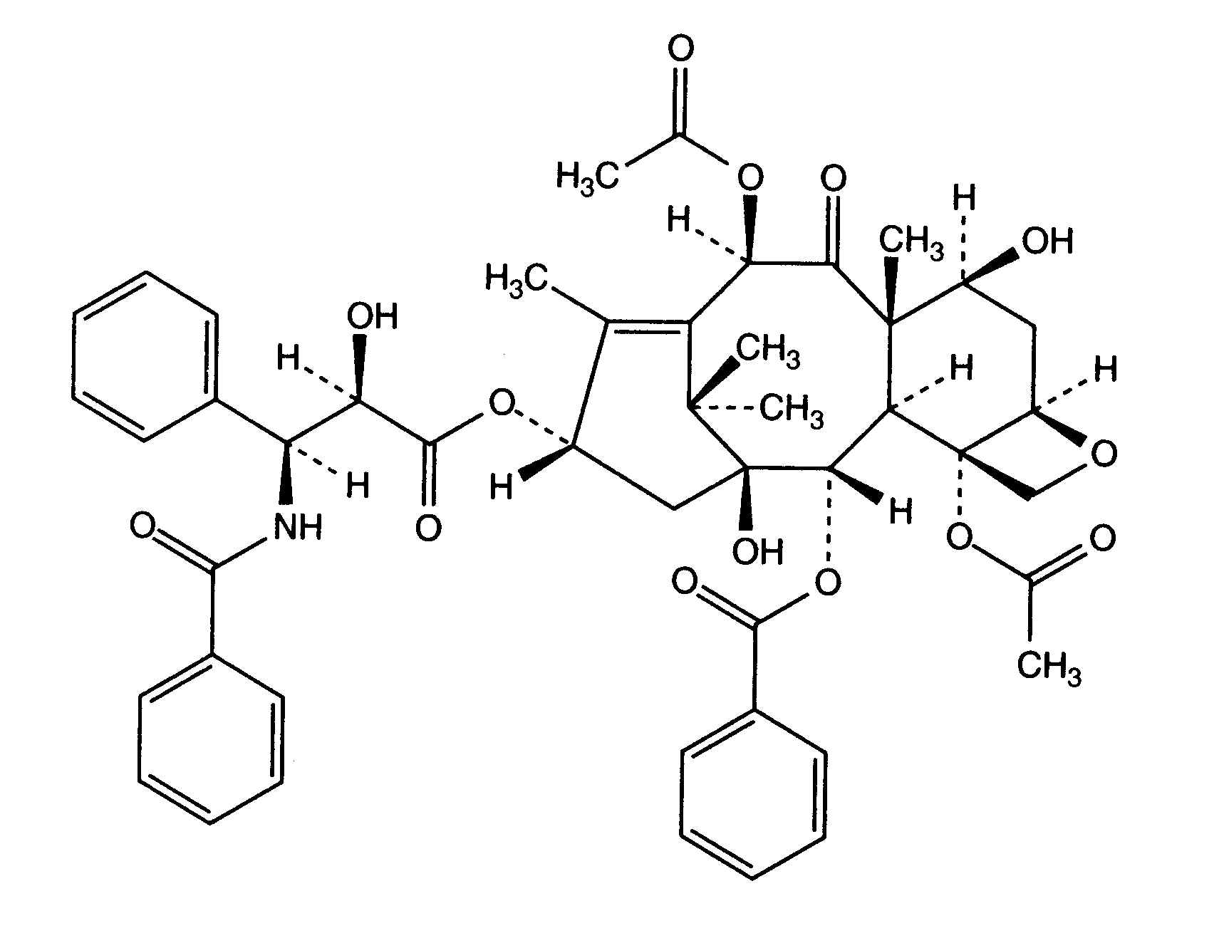
   Estructura química  

Nombre comercial   Nombre comercial     

Los nombres comerciales son orientativos y los excipientes de la formulación pueden ser distintos dependiendo del país y del laboratorio fabricante.

Aclipak Malasia
Acoexcel México
Acupaxil Marruecos
Anzatax Arabia Saudita, Egipto, Emiratos Árabes Unidos, Irán, Malasia, Marruecos, Marruecos, Nueva Zelanda, Túnez, Turquía
Aritaxel Alemania
Cantaxel India
Clitaxel Argentina, Venezuela
Dalys Argentina
Ebetaxel Arabia Saudita, Austria, Irán, Marruecos, Túnez, Turquía
Genexol Egipto, India, Irán
Onxol Estados Unidos de América
Paclinova Argentina
Paclitaxin Brasil, Eslovenia, Luxemburgo, Malasia
Parexel Brasil, Colombia, Ecuador, Venezuela
Paxene Dinamarca, España, Grecia, Irlanda, Países Bajos, Polonia
Poltaxel Polonia
Ribotax Alemania
Taxol Austria, Brasil, Colombia, Dinamarca, Egipto, Emiratos Árabes Unidos, Eslovenia, Grecia, Irán, Italia, Japón, Malasia, Marruecos, Marruecos, Nueva Zelanda, Países Bajos, Polonia, Portugal, Suecia, Suiza, Turquía, Venezuela
Taxomedac Alemania
Vitax Brasil, Marruecos, Turquía
Estabilidad en mezcla   Inyectables   Estabilidad en mezcla : Paclitaxel     
Envase Solvente Concentración Molécula Temperatura Conservación Duración de la estabilidad Bibliografía
Vidrio Cloruro de sodio 0,9% 0,145 mg/ml
Inyectables   Paclitaxel   
Inyectables   Granisetron hydrochloride 0,5 mg/ml
20°C-23°C
4 Hora
Luz 57
Nivel de evidencia A+
Vidrio Glucosa 5% 0,3 & 1,2 mg/ml
Inyectables   Paclitaxel   
Inyectables   Ondansetron hydrochloride 0,03 & 0,3 mg/ml
23°C
4 Hora
Luz 47
Nivel de evidencia A
Vidrio Glucosa 5% 0,3 & 1,2 mg/ml
Inyectables   Paclitaxel   
Inyectables   Ranitidine hydrochloride 0,5 & 2 mg/ml
23°C
4 Hora
Luz 47
Nivel de evidencia A
Vidrio Glucosa 5% 1,2 mg/ml
Inyectables   Paclitaxel   
Inyectables   Ondansetron hydrochloride 0,3 mg/ml
Inyectables   Ranitidine hydrochloride 2,0 mg/ml
23°C
4 Hora
Luz 47
Nivel de evidencia A
Vidrio Glucosa 5% 0,3 & 1,2 mg/ml
Inyectables   Paclitaxel   
Inyectables   Fluconazole 2 mg/ml
23°C
4 Hora
Luz 151
Nivel de evidencia A
Vidrio Glucosa 5% 0,62 mg/ml
Inyectables   Paclitaxel   
Inyectables   Palonosetron hydrochloride 26,6 µg/ml
25°C
4 Hora
No precisada 1940
Nivel de evidencia A+
Vidrio Glucosa 5% 0,6 mg/ml
Inyectables   Paclitaxel   
Inyectables   Acetyl L-carnitine 15 mg/ml
25°C
4 Hora
3277
Nivel de evidencia A+
Poliolefina Cloruro de sodio 0,9% 0,3 & 1,2 mg/ml
Inyectables   Paclitaxel   
Inyectables   Doxorubicin hydrochloride 0,2 mg/ml
23°C
24 Hora
Luz 1286
Joker
Poliolefina Cloruro de sodio 0,9% 0,3 & 1,2 mg/ml
Inyectables   Paclitaxel   
Inyectables   Carboplatin 2 mg/ml
23°C
24 Hora
No precisada 872
Nivel de evidencia B+
Poliolefina Cloruro de sodio 0,9% 0,3 & 1,2 mg/ml
Inyectables   Paclitaxel   
Inyectables   Doxorubicin hydrochloride 0,2 mg/ml
32°C
24 Hora
Luz 1286
Joker
Poliolefina Cloruro de sodio 0,9% 0,3 & 1,2 mg/ml
Inyectables   Paclitaxel   
Inyectables   Carboplatin 2 mg/ml
32°C
24 Hora
No precisada 872
Nivel de evidencia B+
Poliolefina Cloruro de sodio 0,9% 0,3 & 1,2 mg/ml
Inyectables   Paclitaxel   
Inyectables   Carboplatin 2 mg/ml
4°C
24 Hora
A cubierto de la luz 872
Nivel de evidencia B+
Poliolefina Cloruro de sodio 0,9% 0,3 & 1,2 mg/ml
Inyectables   Paclitaxel   
Inyectables   Doxorubicin hydrochloride 0,2 mg/ml
4°C
24 Hora
A cubierto de la luz 1286
Joker
Poliolefina Glucosa 5% 0,3 & 1,2 mg/ml
Inyectables   Paclitaxel   
Inyectables   Doxorubicin hydrochloride 0,2 mg/ml
23°C
24 Hora
Luz 1286
Joker
Poliolefina Glucosa 5% 0,3 & 1,2 mg/ml
Inyectables   Paclitaxel   
Inyectables   Carboplatin 2 mg/ml
23°C
24 Hora
No precisada 872
Nivel de evidencia B+
Poliolefina Glucosa 5% 0,3 & 1,2 mg/ml
Inyectables   Paclitaxel   
Inyectables   Doxorubicin hydrochloride 0,2 mg/ml
32°C
24 Hora
Luz 1286
Joker
Poliolefina Glucosa 5% 0,3 & 1,2 mg/ml
Inyectables   Paclitaxel   
Inyectables   Carboplatin 2 mg/ml
32°C
24 Hora
No precisada 872
Nivel de evidencia B+
Poliolefina Glucosa 5% 0,3 & 1,2 mg/ml
Inyectables   Paclitaxel   
Inyectables   Carboplatin 2 mg/ml
4°C
24 Hora
A cubierto de la luz 872
Nivel de evidencia B+
Poliolefina Glucosa 5% 0,3 & 1,2 mg/ml
Inyectables   Paclitaxel   
Inyectables   Doxorubicin hydrochloride 0,2 mg/ml
4°C
24 Hora
A cubierto de la luz 1286
Joker
No precisado Cloruro de sodio 0,9% 0,27 mg/ml
Inyectables   Paclitaxel   
Inyectables   Topotecan 0,028 mg/ml
20°C-23°C
4 Hora
Luz 1026
Nivel de evidencia C
No precisado Glucosa 5% 0,27 mg/ml
Inyectables   Paclitaxel   
Inyectables   Topotecan 0,028 mg/ml
20°C-23°C
4 Hora
Luz 1026
Nivel de evidencia C

  Mentions Légales