Ultimele actualizari :
18/03/2026
Citostatic   Paclitaxel  
Injectabil
Stabilitatea in solutie Stabilitatea in amestec Factorii care influenteaza stabilitatea Compatibilitate Microunde Bibliografie pdf
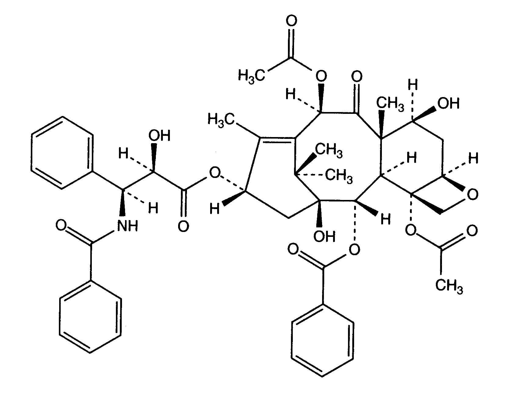
   Formula chimica  

Denumirea comerciala   Denumirea comerciala     

Trade names are indicative and excipients composition can be different depending on the country and manufacturers

Aclipak Malaezia
Acoexcel Mexic
Acupaxil Maroc
Anzatax Arabia Saudita, Egipt, Emiratele Arabe Unite, Iran, Malaezia, Maroc, noua Zeelandă, Peru, Tunisia, Turcia
Aritaxel Germania
Cantaxel India
Clitaxel Argentina, Venezuela
Dalys Argentina
Ebetaxel Arabia Saudita, Austria, Iran, Maroc, Tunisia, Turcia
Genexol Egipt, India, Iran
Onxol SUA
Paclinova Argentina
Paclitaxin Brazilia, Luxemburg, Malaezia, Slovenia
Parexel Brazilia, Columbia, Ecuador, Venezuela
Paxene Danemarca, Grecia, Irlanda, Olanda, Polonia, Spania
Poltaxel Polonia
Ribotax Germania
Taxol Austria, Brazilia, Columbia, Danemarca, Egipt, Elvetia, Emiratele Arabe Unite, Grecia, Iran, Italia, Japonia, Malaezia, Maroc, noua Zeelandă, Olanda, Peru, Polonia, Portugalia, Slovenia, Suedia, Turcia, Venezuela
Taxomedac Germania
Vitax Brazilia, Peru, Turcia
Stabilitatea in amestec   Injectabil   Stabilitatea in amestec : Paclitaxel     
Continut Solvent Concentratie Molecula (substanta activa) Temperatura Conservare Durata stabilității Bibiografie
sticla clorura de sodiu 0,9% 0,145 mg/ml
Injectabil   Paclitaxel   
Injectabil   Granisetron hydrochloride 0,5 mg/ml
20°C-23°C
4 Ora
Lumina 57
Nivel de evidență A+
sticla Glucoza 5% 0,3 & 1,2 mg/ml
Injectabil   Paclitaxel   
Injectabil   Ondansetron hydrochloride 0,03 & 0,3 mg/ml
23°C
4 Ora
Lumina 47
Nivel de evidență A
sticla Glucoza 5% 0,3 & 1,2 mg/ml
Injectabil   Paclitaxel   
Injectabil   Ranitidine hydrochloride 0,5 & 2 mg/ml
23°C
4 Ora
Lumina 47
Nivel de evidență A
sticla Glucoza 5% 1,2 mg/ml
Injectabil   Paclitaxel   
Injectabil   Ondansetron hydrochloride 0,3 mg/ml
Injectabil   Ranitidine hydrochloride 2,0 mg/ml
23°C
4 Ora
Lumina 47
Nivel de evidență A
sticla Glucoza 5% 0,3 & 1,2 mg/ml
Injectabil   Paclitaxel   
Injectabil   Fluconazole 2 mg/ml
23°C
4 Ora
Lumina 151
Nivel de evidență A
sticla Glucoza 5% 0,62 mg/ml
Injectabil   Paclitaxel   
Injectabil   Palonosetron hydrochloride 26,6 µg/ml
25°C
4 Ora
Neprecizat 1940
Nivel de evidență A+
sticla Glucoza 5% 0,6 mg/ml
Injectabil   Paclitaxel   
Injectabil   Acetyl L-carnitine 15 mg/ml
25°C
4 Ora
3277
Nivel de evidență A+
poliolefine clorura de sodiu 0,9% 0,3 & 1,2 mg/ml
Injectabil   Paclitaxel   
Injectabil   Doxorubicin hydrochloride 0,2 mg/ml
23°C
24 Ora
Lumina 1286
Joker
poliolefine clorura de sodiu 0,9% 0,3 & 1,2 mg/ml
Injectabil   Paclitaxel   
Injectabil   Carboplatin 2 mg/ml
23°C
24 Ora
Neprecizat 872
Nivel de evidență B+
poliolefine clorura de sodiu 0,9% 0,3 & 1,2 mg/ml
Injectabil   Paclitaxel   
Injectabil   Doxorubicin hydrochloride 0,2 mg/ml
32°C
24 Ora
Lumina 1286
Joker
poliolefine clorura de sodiu 0,9% 0,3 & 1,2 mg/ml
Injectabil   Paclitaxel   
Injectabil   Carboplatin 2 mg/ml
32°C
24 Ora
Neprecizat 872
Nivel de evidență B+
poliolefine clorura de sodiu 0,9% 0,3 & 1,2 mg/ml
Injectabil   Paclitaxel   
Injectabil   Carboplatin 2 mg/ml
4°C
24 Ora
Ferit de lumina 872
Nivel de evidență B+
poliolefine clorura de sodiu 0,9% 0,3 & 1,2 mg/ml
Injectabil   Paclitaxel   
Injectabil   Doxorubicin hydrochloride 0,2 mg/ml
4°C
24 Ora
Ferit de lumina 1286
Joker
poliolefine Glucoza 5% 0,3 & 1,2 mg/ml
Injectabil   Paclitaxel   
Injectabil   Doxorubicin hydrochloride 0,2 mg/ml
23°C
24 Ora
Lumina 1286
Joker
poliolefine Glucoza 5% 0,3 & 1,2 mg/ml
Injectabil   Paclitaxel   
Injectabil   Carboplatin 2 mg/ml
23°C
24 Ora
Neprecizat 872
Nivel de evidență B+
poliolefine Glucoza 5% 0,3 & 1,2 mg/ml
Injectabil   Paclitaxel   
Injectabil   Doxorubicin hydrochloride 0,2 mg/ml
32°C
24 Ora
Lumina 1286
Joker
poliolefine Glucoza 5% 0,3 & 1,2 mg/ml
Injectabil   Paclitaxel   
Injectabil   Carboplatin 2 mg/ml
32°C
24 Ora
Neprecizat 872
Nivel de evidență B+
poliolefine Glucoza 5% 0,3 & 1,2 mg/ml
Injectabil   Paclitaxel   
Injectabil   Carboplatin 2 mg/ml
4°C
24 Ora
Ferit de lumina 872
Nivel de evidență B+
poliolefine Glucoza 5% 0,3 & 1,2 mg/ml
Injectabil   Paclitaxel   
Injectabil   Doxorubicin hydrochloride 0,2 mg/ml
4°C
24 Ora
Ferit de lumina 1286
Joker
neprecizat clorura de sodiu 0,9% 0,27 mg/ml
Injectabil   Paclitaxel   
Injectabil   Topotecan 0,028 mg/ml
20°C-23°C
4 Ora
Lumina 1026
Nivel de evidență C
neprecizat Glucoza 5% 0,27 mg/ml
Injectabil   Paclitaxel   
Injectabil   Topotecan 0,028 mg/ml
20°C-23°C
4 Ora
Lumina 1026
Nivel de evidență C

  Mentions Légales