Poslední aktualizace :
18/03/2026
rakovina drog   Paclitaxel  
injekce
Stabilita roztoků Stabilita směsí Faktory ovlivňující stabilitu Kompatibilita Způsoby aplikace Odkazy pdf
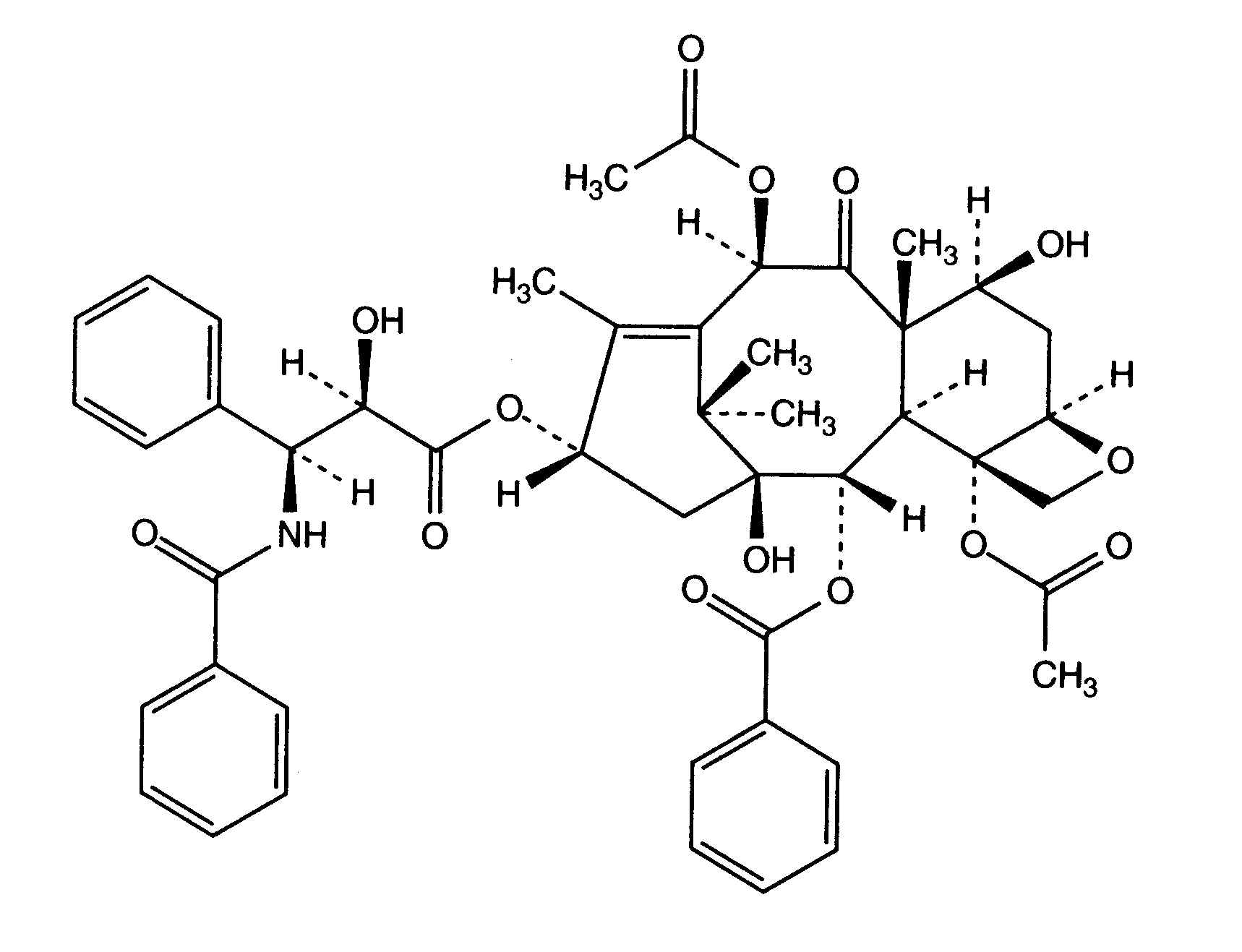
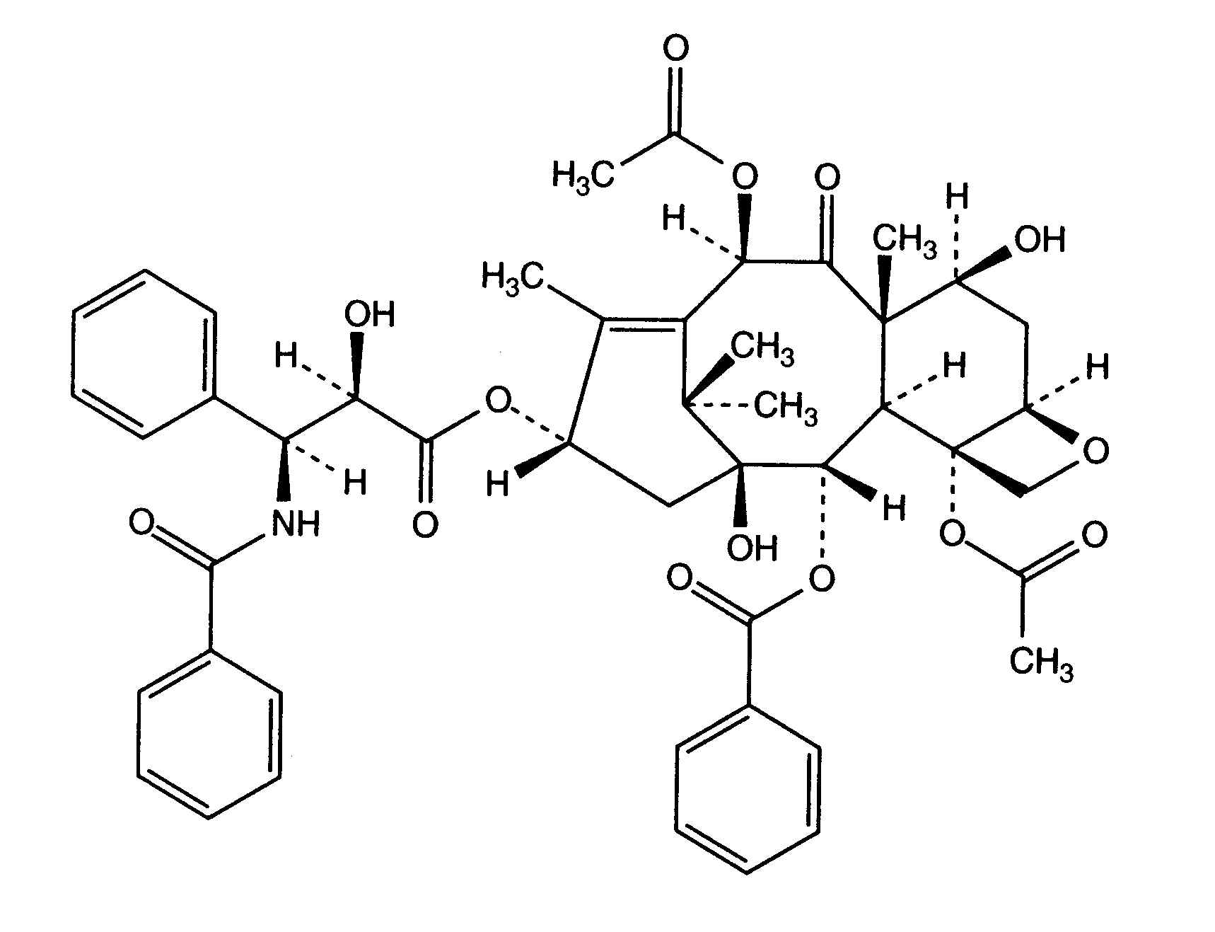
   Chemický vzorec  

Obchodní název   Obchodní název     

Trade names are indicative and excipients composition can be different depending on the country and manufacturers

Aclipak Malajsie
Acoexcel Mexiko
Acupaxil Maroko
Anzatax Egypt, Írán, Malajsie, Maroko, nový Zéland, Peru, Saúdská Arábie, Spojené arabské emiráty, Tunisko, Turecko
Aritaxel NÏmecko
Cantaxel Indie
Clitaxel Argentina, Venezuela
Dalys Argentina
Ebetaxel Írán, Maroko, Rakousko, Saúdská Arábie, Tunisko, Turecko
Genexol Egypt, Indie, Írán
Onxol USA
Paclinova Argentina
Paclitaxin BrazÌlie, Lucembursko, Malajsie, Slovinsko
Parexel BrazÌlie, Ekvádor, Kolumbie, Venezuela
Paxene äpanÏlsko, Dánsko, Irsko, Nizozemsko, Polsko, ÿecko
Poltaxel Polsko
Ribotax NÏmecko
Taxol BrazÌlie, Dánsko, Egypt, Írán, Itálie, Japonsko, Kolumbie, Malajsie, Maroko, Nizozemsko, nový Zéland, Peru, Polsko, Portugalsko, Rakousko, Slovinsko, Spojené arabské emiráty, Švédsko, Švýcarsko, Turecko, Venezuela, ÿecko
Taxomedac NÏmecko
Vitax BrazÌlie, Peru, Turecko
Stabilita směsí   injekce   Stabilita směsí : Paclitaxel     
Obal RozpouötÏdlo Koncentrace SlouËenina Teplota Uchovávání Trvání stability Odkazy
Sklo Chlorid sodný 0,9% 0,145 mg/ml
injekce   Paclitaxel   
injekce   Granisetron hydrochloride 0,5 mg/ml
20°C-23°C
4 Hodina
SvÏtlo 57
Úroveň zkoušky A+
Sklo GlukÛza 5% 0,3 & 1,2 mg/ml
injekce   Paclitaxel   
injekce   Ondansetron hydrochloride 0,03 & 0,3 mg/ml
23°C
4 Hodina
SvÏtlo 47
Úroveň zkoušky A
Sklo GlukÛza 5% 0,3 & 1,2 mg/ml
injekce   Paclitaxel   
injekce   Ranitidine hydrochloride 0,5 & 2 mg/ml
23°C
4 Hodina
SvÏtlo 47
Úroveň zkoušky A
Sklo GlukÛza 5% 1,2 mg/ml
injekce   Paclitaxel   
injekce   Ondansetron hydrochloride 0,3 mg/ml
injekce   Ranitidine hydrochloride 2,0 mg/ml
23°C
4 Hodina
SvÏtlo 47
Úroveň zkoušky A
Sklo GlukÛza 5% 0,3 & 1,2 mg/ml
injekce   Paclitaxel   
injekce   Fluconazole 2 mg/ml
23°C
4 Hodina
SvÏtlo 151
Úroveň zkoušky A
Sklo GlukÛza 5% 0,62 mg/ml
injekce   Paclitaxel   
injekce   Palonosetron hydrochloride 26,6 µg/ml
25°C
4 Hodina
Nespecifikováno 1940
Úroveň zkoušky A+
Sklo GlukÛza 5% 0,6 mg/ml
injekce   Paclitaxel   
injekce   Acetyl L-carnitine 15 mg/ml
25°C
4 Hodina
3277
Úroveň zkoušky A+
Polyoleofin Chlorid sodný 0,9% 0,3 & 1,2 mg/ml
injekce   Paclitaxel   
injekce   Doxorubicin hydrochloride 0,2 mg/ml
23°C
24 Hodina
SvÏtlo 1286
JOKER
Polyoleofin Chlorid sodný 0,9% 0,3 & 1,2 mg/ml
injekce   Paclitaxel   
injekce   Carboplatin 2 mg/ml
23°C
24 Hodina
Nespecifikováno 872
Úroveň zkoušky B+
Polyoleofin Chlorid sodný 0,9% 0,3 & 1,2 mg/ml
injekce   Paclitaxel   
injekce   Doxorubicin hydrochloride 0,2 mg/ml
32°C
24 Hodina
SvÏtlo 1286
JOKER
Polyoleofin Chlorid sodný 0,9% 0,3 & 1,2 mg/ml
injekce   Paclitaxel   
injekce   Carboplatin 2 mg/ml
32°C
24 Hodina
Nespecifikováno 872
Úroveň zkoušky B+
Polyoleofin Chlorid sodný 0,9% 0,3 & 1,2 mg/ml
injekce   Paclitaxel   
injekce   Carboplatin 2 mg/ml
4°C
24 Hodina
Chráněno před světlem 872
Úroveň zkoušky B+
Polyoleofin Chlorid sodný 0,9% 0,3 & 1,2 mg/ml
injekce   Paclitaxel   
injekce   Doxorubicin hydrochloride 0,2 mg/ml
4°C
24 Hodina
Chráněno před světlem 1286
JOKER
Polyoleofin GlukÛza 5% 0,3 & 1,2 mg/ml
injekce   Paclitaxel   
injekce   Doxorubicin hydrochloride 0,2 mg/ml
23°C
24 Hodina
SvÏtlo 1286
JOKER
Polyoleofin GlukÛza 5% 0,3 & 1,2 mg/ml
injekce   Paclitaxel   
injekce   Carboplatin 2 mg/ml
23°C
24 Hodina
Nespecifikováno 872
Úroveň zkoušky B+
Polyoleofin GlukÛza 5% 0,3 & 1,2 mg/ml
injekce   Paclitaxel   
injekce   Doxorubicin hydrochloride 0,2 mg/ml
32°C
24 Hodina
SvÏtlo 1286
JOKER
Polyoleofin GlukÛza 5% 0,3 & 1,2 mg/ml
injekce   Paclitaxel   
injekce   Carboplatin 2 mg/ml
32°C
24 Hodina
Nespecifikováno 872
Úroveň zkoušky B+
Polyoleofin GlukÛza 5% 0,3 & 1,2 mg/ml
injekce   Paclitaxel   
injekce   Carboplatin 2 mg/ml
4°C
24 Hodina
Chráněno před světlem 872
Úroveň zkoušky B+
Polyoleofin GlukÛza 5% 0,3 & 1,2 mg/ml
injekce   Paclitaxel   
injekce   Doxorubicin hydrochloride 0,2 mg/ml
4°C
24 Hodina
Chráněno před světlem 1286
JOKER
Nespecifikováno Chlorid sodný 0,9% 0,27 mg/ml
injekce   Paclitaxel   
injekce   Topotecan 0,028 mg/ml
20°C-23°C
4 Hodina
SvÏtlo 1026
Úroveň zkoušky C
Nespecifikováno GlukÛza 5% 0,27 mg/ml
injekce   Paclitaxel   
injekce   Topotecan 0,028 mg/ml
20°C-23°C
4 Hodina
SvÏtlo 1026
Úroveň zkoušky C

  Mentions Légales