Останнє оновлення :
18/03/2026
різноманітні   N-acetylcysteine  
аерозоль
ін'єкція Очні краплі Розчин для перорального застосування
Стабільність фармацевтичних препаратів Стійкість сумішей Фактори, що впливають на стабільність Сумісність Список літератури pdf
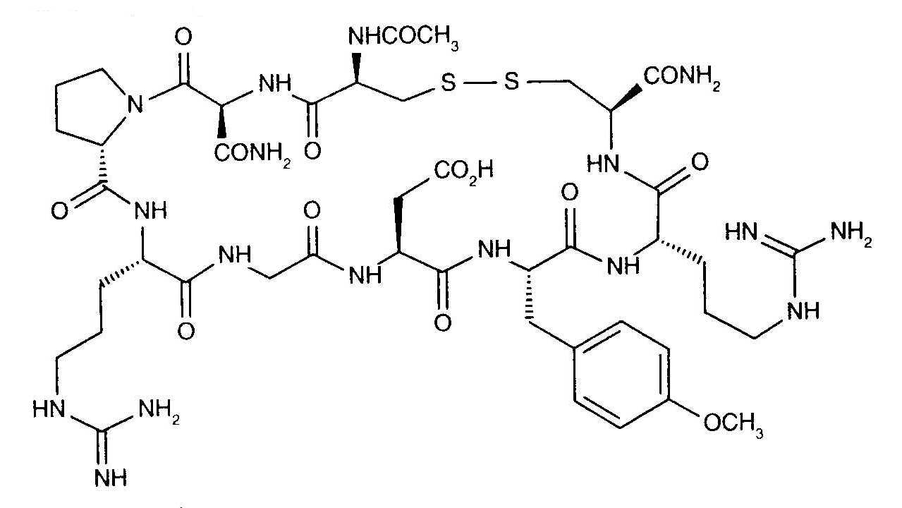
   Хімічна структура  

аерозоль
Стійкість сумішей   аерозоль   Стійкість сумішей : N-acetylcysteine     
Контейнер допоміжна речовина З'єднання температура Зберігання Тривалість стабільності Список літератури
скло
аерозоль   N-acetylcysteine Комерційний лікарський продукт100 mg/mL  
аерозоль   Formoterol fumarate Комерційний лікарський продукт20 µg/2mL  
25°C
1 годину
Не визначено 3498
Не визначено
Жодного
аерозоль   N-acetylcysteine рідина182 mg/l  ®=? Acetylcysteine sodium Bristol Myers Squibb®
аерозоль   Levalbuterol рідина0.22 mg/  ®=? Levalbuterol Sepracor®
21-25°C
0.5 годину
світло 2803
Не визначено
Жодного
аерозоль   N-acetylcysteine Пляшка для ін'єкцій100 mg =  Mucomyst®
аерозоль   Netilmicin sulfate Пляшка для ін'єкцій1000 mg   Netromicine®
аерозоль   Betamethasone sodium phosphate Пляшка для ін'єкцій8 mg = 2  Celestene®
23-27°C
1 годину
світло 2648
Не визначено
аерозоль   N-acetylcysteine Комерційний лікарський продукт800 mg/4 ml  Mucomyst®
аерозоль   Arformoterol Комерційний лікарський продукт15 µg/2 ml  Brovana®
25°C
0.5 годину
світло 3019
Не визначено
Жодного
аерозоль   N-acetylcysteine рідина90 mg/ml  Acetein®
аерозоль   Ipratropium bromide рідина104 µg/ml  Atrovent®
25°C
1 годину
Не визначено 2787
Не визначено
Жодного
аерозоль   N-acetylcysteine рідина90 mg/ml  Acetein®
аерозоль   Fenoterol рідина243 µg/ml  Berotec®
25°C
7 годину
Не визначено 2787

  Mentions Légales