آخر تحديث :
27/11/2025
مختلف   N-acetylcysteine  
الأيروصولات
حقن عن طريق الفم  قطرات العين
استقرار المستحضرات الصيدلانية استقرار مخاليط العوامل التي تؤثر على الاستقرار التوافق مراجع pdf
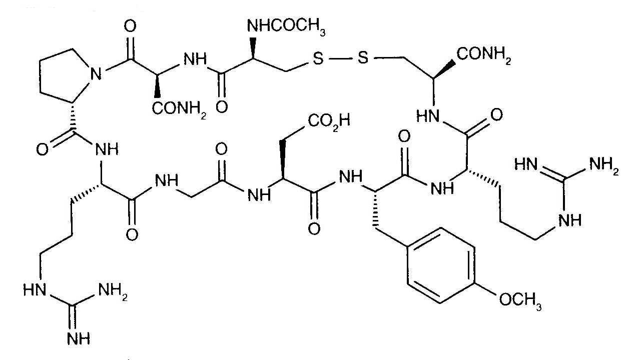
   التركيب الكيميائي  

الأيروصولات
استقرار مخاليط   الأيروصولات   استقرار مخاليط : N-acetylcysteine     
حاوية الاضافات مركب درجة الحرارة تخزين مدة الاستقرار مراجع
زجاج
الأيروصولات   N-acetylcysteine منتج دوائي تجاري100 mg/mL  
الأيروصولات   Formoterol fumarate منتج دوائي تجاري20 µg/2mL  
25°C
1 ساعة
لم يتم تحديد 3498
لم يتم تحديد
لا شيء
الأيروصولات   N-acetylcysteine سائل182 mg/l  ®=? Acetylcysteine sodium Bristol Myers Squibb®
الأيروصولات   Levalbuterol سائل0.22 mg/  ®=? Levalbuterol Sepracor®
21-25°C
0.5 ساعة
ضوء 2803
لم يتم تحديد
لا شيء
الأيروصولات   N-acetylcysteine زجاجة الدواء للحقن100 mg =  Mucomyst®
الأيروصولات   Netilmicin sulfate زجاجة الدواء للحقن1000 mg   Netromicine®
الأيروصولات   Betamethasone sodium phosphate زجاجة الدواء للحقن8 mg = 2  Celestene®
23-27°C
1 ساعة
ضوء 2648
لم يتم تحديد
الأيروصولات   N-acetylcysteine منتج دوائي تجاري800 mg/4 ml  Mucomyst®
الأيروصولات   Arformoterol منتج دوائي تجاري15 µg/2 ml  Brovana®
25°C
0.5 ساعة
ضوء 3019
لم يتم تحديد
لا شيء
الأيروصولات   N-acetylcysteine سائل90 mg/ml  Acetein®
الأيروصولات   Ipratropium bromide سائل104 µg/ml  Atrovent®
25°C
1 ساعة
لم يتم تحديد 2787
لم يتم تحديد
لا شيء
الأيروصولات   N-acetylcysteine سائل90 mg/ml  Acetein®
الأيروصولات   Fenoterol سائل243 µg/ml  Berotec®
25°C
7 ساعة
لم يتم تحديد 2787

  Mentions Légales