最新更新 :
18/03/2026
様々なもの   N-acetylcysteine  
エアロゾル
注射薬 点眼薬 経口液
調剤時の安定性 混合時の安定性 安定性に影響する因子 互換性 引用文献 PDF
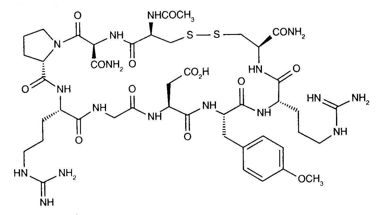
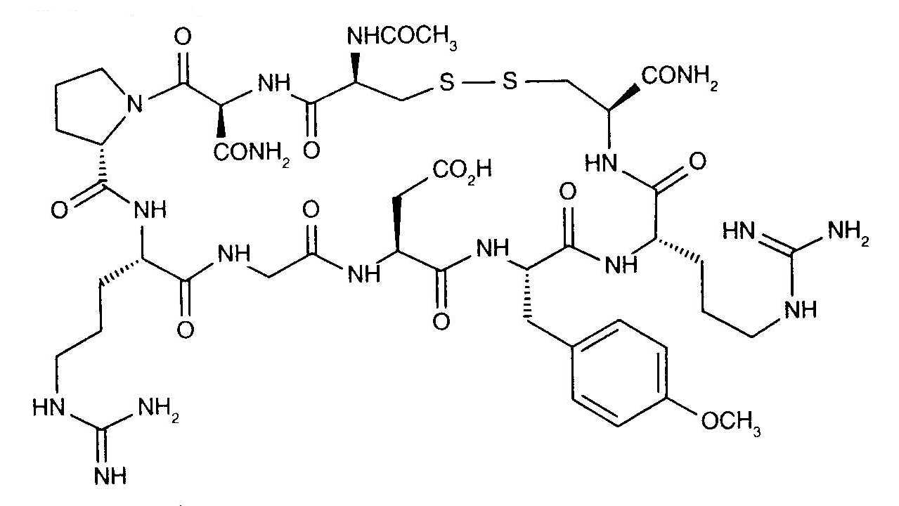
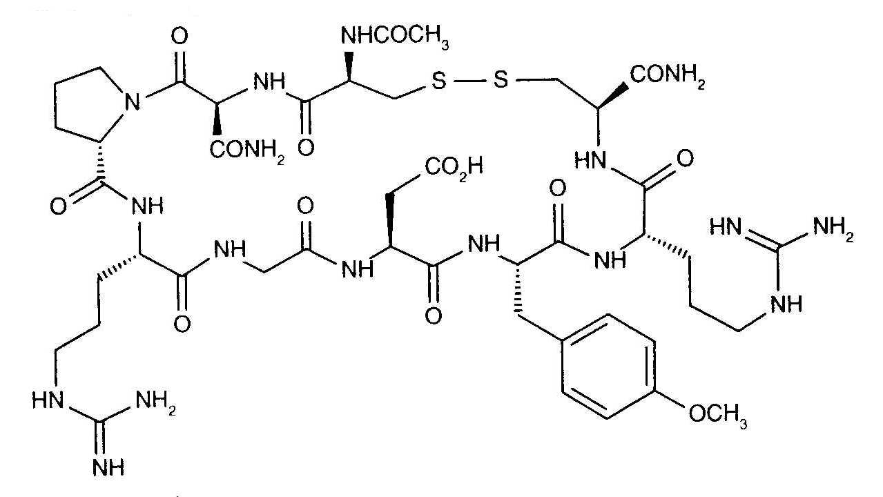
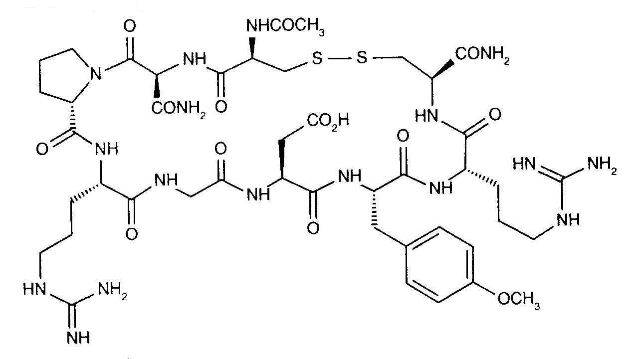
   化学構造  

エアロゾル
混合時の安定性   エアロゾル   混合時の安定性 : N-acetylcysteine     
容器 添加剤 化合物 温度 保管 安定期間 引用文献
ガラス
エアロゾル   N-acetylcysteine 市販医薬品100 mg/mL  
エアロゾル   Formoterol fumarate 市販医薬品20 µg/2mL  
25°C
1 時間
特記なし 3498
指定なし
なし
エアロゾル   N-acetylcysteine 液体182 mg/l  ®=? Acetylcysteine sodium Bristol Myers Squibb®
エアロゾル   Levalbuterol 液体0.22 mg/  ®=? Levalbuterol Sepracor®
21-25°C
0.5 時間
光 2803
指定なし
なし
エアロゾル   N-acetylcysteine 注射用瓶100 mg =  Mucomyst®
エアロゾル   Netilmicin sulfate 注射用瓶1000 mg   Netromicine®
エアロゾル   Betamethasone sodium phosphate 注射用瓶8 mg = 2  Celestene®
23-27°C
1 時間
光 2648
指定なし
エアロゾル   N-acetylcysteine 市販医薬品800 mg/4 ml  Mucomyst®
エアロゾル   Arformoterol 市販医薬品15 µg/2 ml  Brovana®
25°C
0.5 時間
光 3019
指定なし
なし
エアロゾル   N-acetylcysteine 液体90 mg/ml  Acetein®
エアロゾル   Ipratropium bromide 液体104 µg/ml  Atrovent®
25°C
1 時間
特記なし 2787
指定なし
なし
エアロゾル   N-acetylcysteine 液体90 mg/ml  Acetein®
エアロゾル   Fenoterol 液体243 µg/ml  Berotec®
25°C
7 時間
特記なし 2787

  Mentions Légales