viimane versioon :
27/11/2025
mitmesugune   N-acetylcysteine  
aerosool
Silmatilgad Süsteravim suukaudne lahus
Stabiilsust ravimpreparaadid Stabiilsust mõjutavad tegurid stabiilsust mõjutavad faktorid Sobimatus Viited pdf
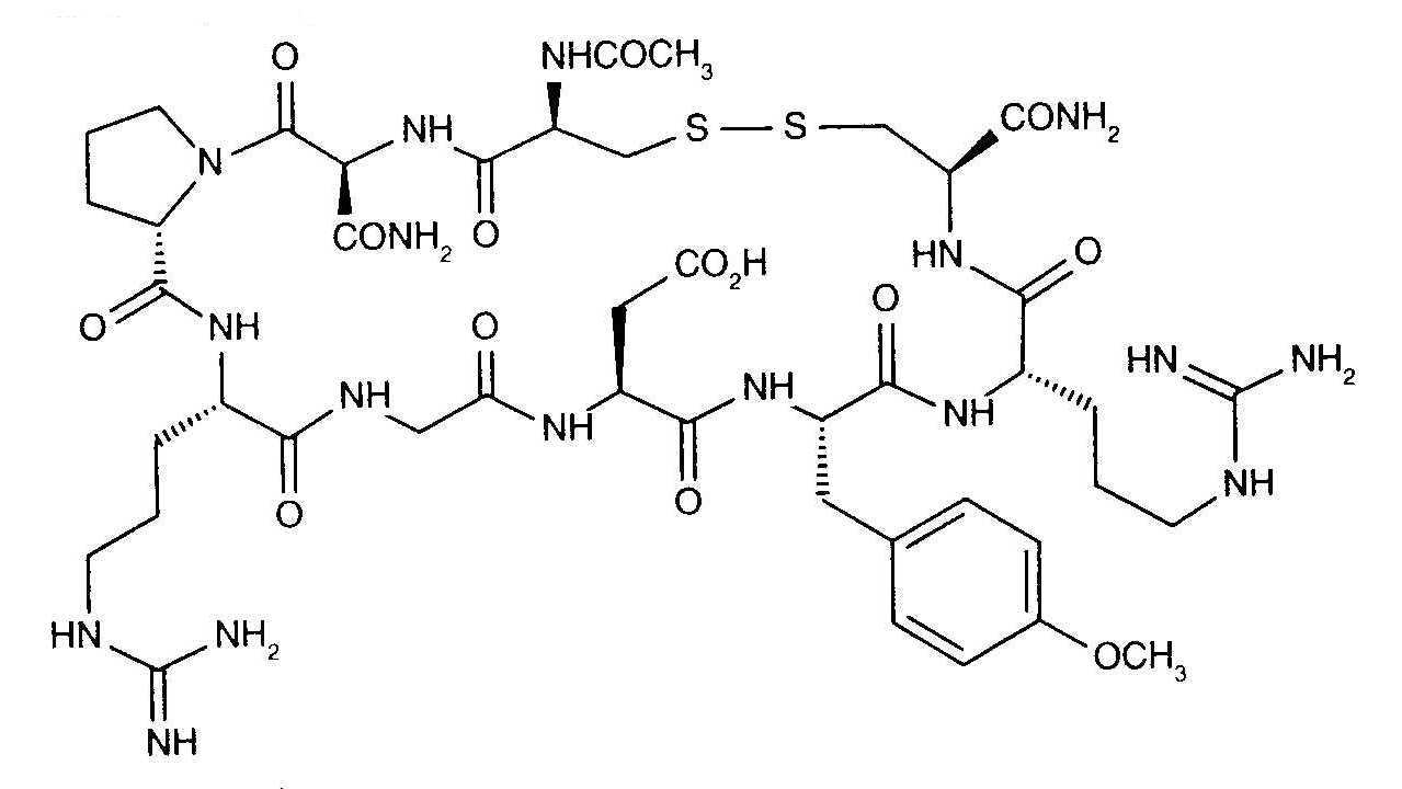
   keemiline struktuur  

aerosool
Stabiilsust mõjutavad tegurid   aerosool   Stabiilsust mõjutavad tegurid : N-acetylcysteine     
konteiner  abiaine ingredient temperatuur ladustamine Stabiilsuse kestus Viited
klaas
aerosool   N-acetylcysteine Kommertsravim100 mg/mL  
aerosool   Formoterol fumarate Kommertsravim20 µg/2mL  
25°C
1 Tund
pole täpsustatud 3498
pole täpsustatud
ei
aerosool   N-acetylcysteine Lahus182 mg/l  ®=? Acetylcysteine sodium Bristol Myers Squibb®
aerosool   Levalbuterol Lahus0.22 mg/  ®=? Levalbuterol Sepracor®
21-25°C
0.5 Tund
valgus 2803
pole täpsustatud
ei
aerosool   N-acetylcysteine Süsteravimi viaal100 mg =  Mucomyst®
aerosool   Netilmicin sulfate Süsteravimi viaal1000 mg   Netromicine®
aerosool   Betamethasone sodium phosphate Süsteravimi viaal8 mg = 2  Celestene®
23-27°C
1 Tund
valgus 2648
pole täpsustatud
aerosool   N-acetylcysteine Kommertsravim800 mg/4 ml  Mucomyst®
aerosool   Arformoterol Kommertsravim15 µg/2 ml  Brovana®
25°C
0.5 Tund
valgus 3019
pole täpsustatud
ei
aerosool   N-acetylcysteine Lahus90 mg/ml  Acetein®
aerosool   Ipratropium bromide Lahus104 µg/ml  Atrovent®
25°C
1 Tund
pole täpsustatud 2787
pole täpsustatud
ei
aerosool   N-acetylcysteine Lahus90 mg/ml  Acetein®
aerosool   Fenoterol Lahus243 µg/ml  Berotec®
25°C
7 Tund
pole täpsustatud 2787

  Mentions Légales