Last update :
18/03/2026
Various   N-acetylcysteine  
aerosol
Eye-drops injection Oral solution
Stability of pharmaceutical preparations Stability of mixtures Factors which affect stability Compatibility References pdf
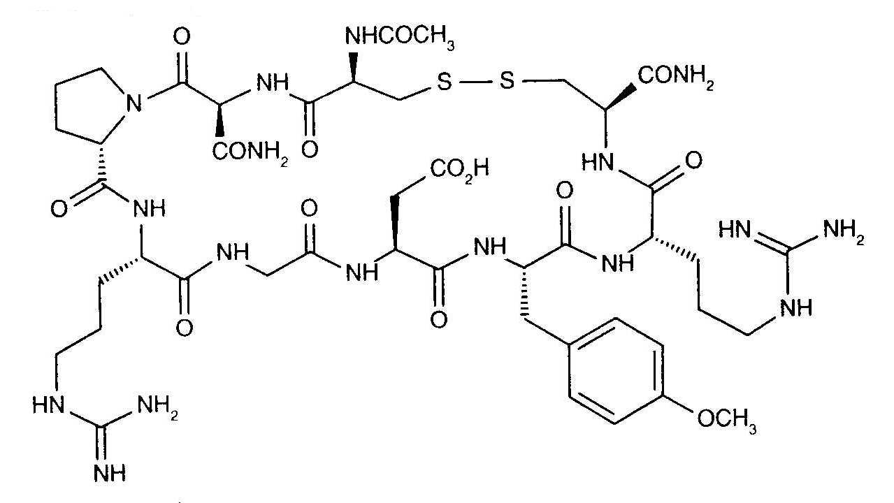
   Chemical structure  

aerosol
Stability of mixtures   aerosol   Stability of mixtures : N-acetylcysteine     
Container excipient Compound Temperature Storage Duration of stability References
Glass
aerosol   N-acetylcysteine Commercial Drug product100 mg/mL  
aerosol   Formoterol fumarate Commercial Drug product20 µg/2mL  
25°C
1 Hour
Not specified 3498
Not specified
None
aerosol   N-acetylcysteine liquid182 mg/l  ®=? Acetylcysteine sodium Bristol Myers Squibb®
aerosol   Levalbuterol liquid0.22 mg/  ®=? Levalbuterol Sepracor®
21-25°C
0.5 Hour
Light 2803
Not specified
None
aerosol   N-acetylcysteine Medicine bottle for injection100 mg =  Mucomyst®
aerosol   Netilmicin sulfate Medicine bottle for injection1000 mg   Netromicine®
aerosol   Betamethasone sodium phosphate Medicine bottle for injection8 mg = 2  Celestene®
23-27°C
1 Hour
Light 2648
Not specified
aerosol   N-acetylcysteine Commercial Drug product800 mg/4 ml  Mucomyst®
aerosol   Arformoterol Commercial Drug product15 µg/2 ml  Brovana®
25°C
0.5 Hour
Light 3019
Not specified
None
aerosol   N-acetylcysteine liquid90 mg/ml  Acetein®
aerosol   Ipratropium bromide liquid104 µg/ml  Atrovent®
25°C
1 Hour
Not specified 2787
Not specified
None
aerosol   N-acetylcysteine liquid90 mg/ml  Acetein®
aerosol   Fenoterol liquid243 µg/ml  Berotec®
25°C
7 Hour
Not specified 2787

  Mentions Légales