Senaste uppdateringen :
18/03/2026
Diverse   N-acetylcysteine  
Aerosol
injektion ögondroppar Oral lösning
Stabilitet av läkemedel Stabilitet i blandningar Faktorer som påverkar stabiliteten Kompatibilitet Hänvisningar pdf
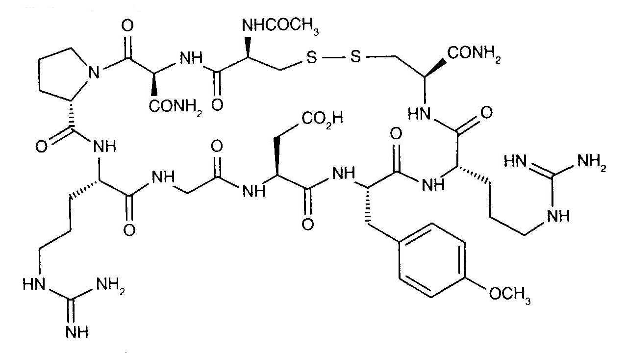
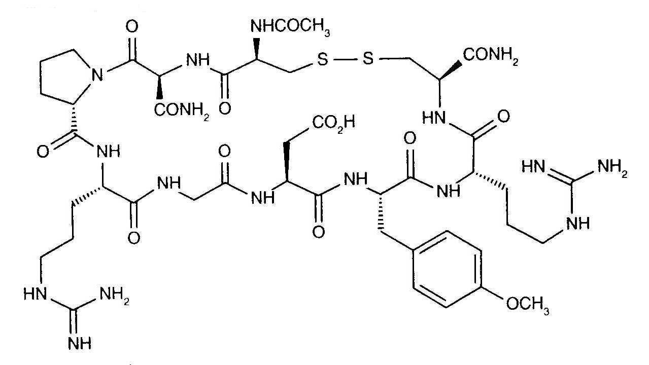
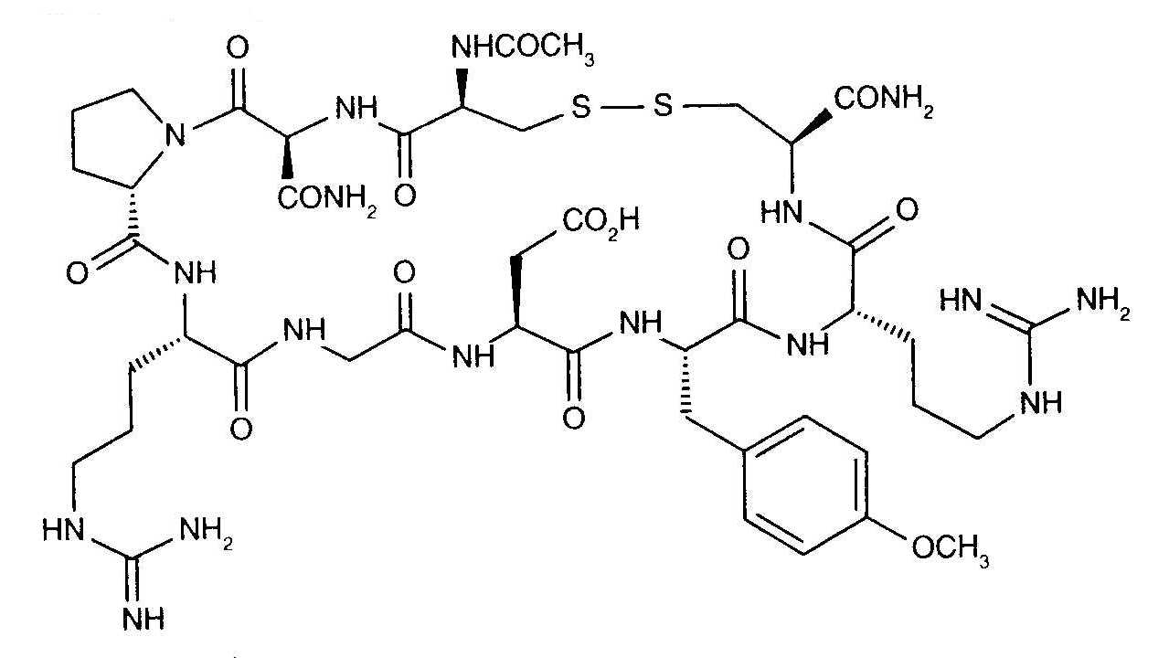
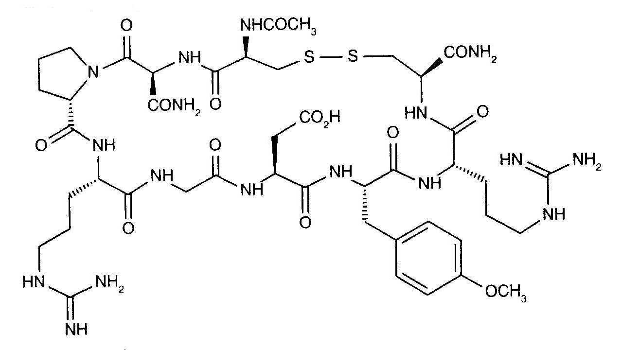
   Molekylstruktur  

Aerosol
Stabilitet i blandningar   Aerosol   Stabilitet i blandningar : N-acetylcysteine     
Behållare Hjälpämne Substans Temperatur Förvaring Stabilitets varaktighet Hänvisningar
Glas
Aerosol   N-acetylcysteine Kommersiell läkemedelsprodukt100 mg/mL  
Aerosol   Formoterol fumarate Kommersiell läkemedelsprodukt20 µg/2mL  
25°C
1 Timma
Ej angiven 3498
Ej angiven
Ingen
Aerosol   N-acetylcysteine Flytande182 mg/l  ®=? Acetylcysteine sodium Bristol Myers Squibb®
Aerosol   Levalbuterol Flytande0.22 mg/  ®=? Levalbuterol Sepracor®
21-25°C
0.5 Timma
Ljus 2803
Ej angiven
Ingen
Aerosol   N-acetylcysteine injektionsflaska100 mg =  Mucomyst®
Aerosol   Netilmicin sulfate injektionsflaska1000 mg   Netromicine®
Aerosol   Betamethasone sodium phosphate injektionsflaska8 mg = 2  Celestene®
23-27°C
1 Timma
Ljus 2648
Ej angiven
Aerosol   N-acetylcysteine Kommersiell läkemedelsprodukt800 mg/4 ml  Mucomyst®
Aerosol   Arformoterol Kommersiell läkemedelsprodukt15 µg/2 ml  Brovana®
25°C
0.5 Timma
Ljus 3019
Ej angiven
Ingen
Aerosol   N-acetylcysteine Flytande90 mg/ml  Acetein®
Aerosol   Ipratropium bromide Flytande104 µg/ml  Atrovent®
25°C
1 Timma
Ej angiven 2787
Ej angiven
Ingen
Aerosol   N-acetylcysteine Flytande90 mg/ml  Acetein®
Aerosol   Fenoterol Flytande243 µg/ml  Berotec®
25°C
7 Timma
Ej angiven 2787

  Mentions Légales