Dernière mise à jour :
27/11/2025
Infostab
Liste des molécules
Listes récapitulatives
Recherches de compatibilités
Tableau de compatibilités en Y
Bibliographie
Equipes de recherche
Valistab
Posters
Liens infostab
Partenaires
Auteurs
Manuel d'utilisation
Lettre d'actualité
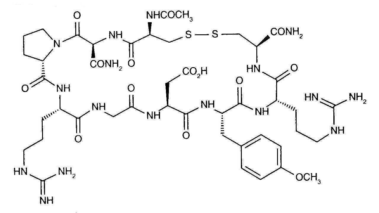
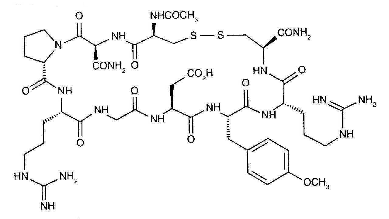
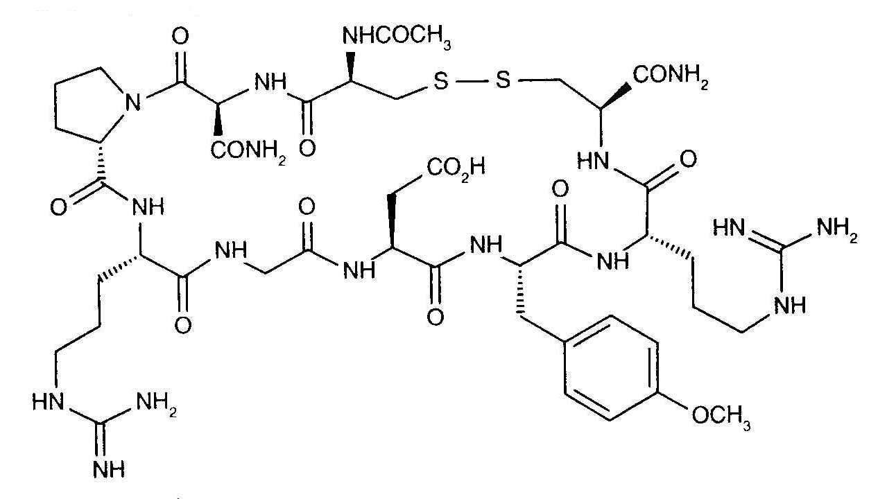
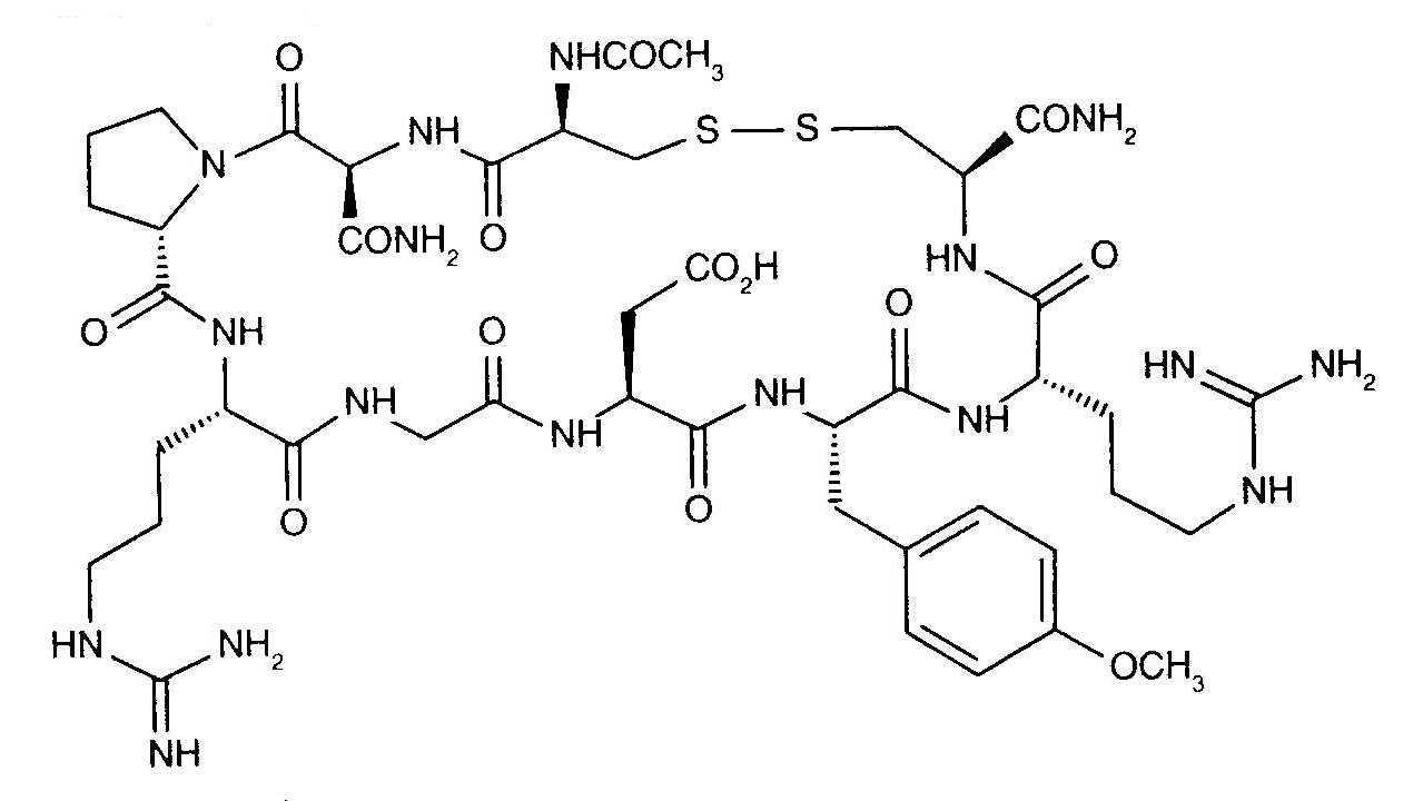
N-acetylcysteine
Structure chimique
Bibliographie : N-acetylcysteine
Type
Source
549
Revue
Owsley HD, Rusho WJ.
Compatibility of common respiratory therapy drug combinations.
Int J Pharm Compound 1997 ; 1: 121-122.
2648
Revue
Rieutord A, Arnaud P, Dauphin JF, Brion F.
Stability and compatibility of an aerosol mixture including N-acetylcysteine, netilmicin and betamethasone
Int J Pharm 1999 ; 190, 1: 103-107.
2787
Revue
Lee TY, Chen CM, Lee CN, Chaing YC.
Compatibility and osmolality of inhaled N-acetylcysteine nebulizing solution with fenoterol and ipratropium.
Am J Health-Syst Pharm 2005 ; 62, 8: 828-833.
2803
Revue
Bonasia PJ, McVicar WK, Williams B, Ong S.
Chemical and physical compatibility of levalbuterol inhalation solution concentrate mixed with budesonide, ipratropium bromide, cromolyn sodium or acetylcysteine sodium.
Respiratory Care 2008 ; 683, 12: 1716-1722.
3019
Revue
Bonasia P, Cook C, Cheng Y et al.
Compatibility of arformoterol tartrate inhalation solution with three nebulized drugs.
Curr Med Res Opin 2007 ; 23: 2477-2483.
3498
Revue
Akapo S, Gupta J, martinez E, Mccrea C, Ye L, Roach M
Compatibility and aerosol characteristics of formoterol fumarate mixed with other nebulizing solutions.
Ann Pharmacotherapy 2008 ; 42, 10: 1416-1424.
Mentions Légales