Viimeisin päivitys :
18/03/2026
Muut   N-acetylcysteine  
Aerosoli
Injektioneste Oraaliliuos Silmätipat
Vakaus lääkevalmisteen Stabilius seoksissa Tekijät, jotka vaikuttavat stabiliuteen Yhteensopivuus Viitteet pdf
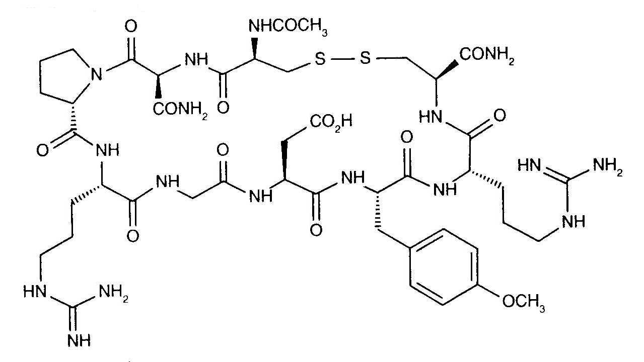
   Kemiallinen rakenne  

Aerosoli
Stabilius seoksissa   Aerosoli   Stabilius seoksissa : N-acetylcysteine     
Astia Apuaine Yhdiste Lämpötila Säilytys Vakauden kesto Viitteet
Lasi
Aerosoli   N-acetylcysteine Kaupallinen lääketuote100 mg/mL  
Aerosoli   Formoterol fumarate Kaupallinen lääketuote20 µg/2mL  
25°C
1 tunti
Ei määritetty 3498
Ei määritetty
Ei ole
Aerosoli   N-acetylcysteine Neste182 mg/l  ®=? Acetylcysteine sodium Bristol Myers Squibb®
Aerosoli   Levalbuterol Neste0.22 mg/  ®=? Levalbuterol Sepracor®
21-25°C
0.5 tunti
Valo 2803
Ei määritetty
Ei ole
Aerosoli   N-acetylcysteine Injektionestepullo100 mg =  Mucomyst®
Aerosoli   Netilmicin sulfate Injektionestepullo1000 mg   Netromicine®
Aerosoli   Betamethasone sodium phosphate Injektionestepullo8 mg = 2  Celestene®
23-27°C
1 tunti
Valo 2648
Ei määritetty
Aerosoli   N-acetylcysteine Kaupallinen lääketuote800 mg/4 ml  Mucomyst®
Aerosoli   Arformoterol Kaupallinen lääketuote15 µg/2 ml  Brovana®
25°C
0.5 tunti
Valo 3019
Ei määritetty
Ei ole
Aerosoli   N-acetylcysteine Neste90 mg/ml  Acetein®
Aerosoli   Ipratropium bromide Neste104 µg/ml  Atrovent®
25°C
1 tunti
Ei määritetty 2787
Ei määritetty
Ei ole
Aerosoli   N-acetylcysteine Neste90 mg/ml  Acetein®
Aerosoli   Fenoterol Neste243 µg/ml  Berotec®
25°C
7 tunti
Ei määritetty 2787

  Mentions Légales