Seneste opdatering :
27/11/2025
Diverse   N-acetylcysteine  
Aerosol
Injektion Oral opløsning Øjendråber
Stabilitet af farmaceutiske tilberedninger Stabilitet i blandinger Faktorer der påvirker stabiliteten Kompatibilitet Bibliografi pdf
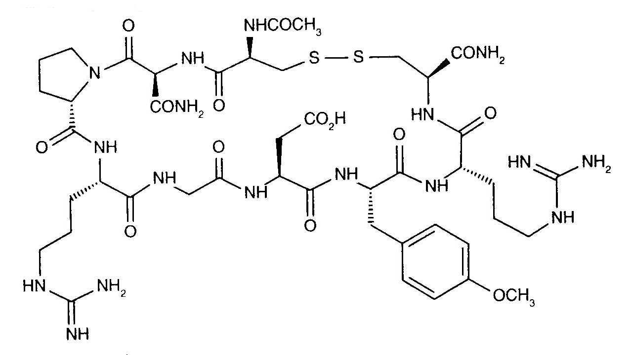
   Kemisk struktur  

Aerosol
Stabilitet i blandinger   Aerosol   Stabilitet i blandinger : N-acetylcysteine     
Beholder Hjælpestof Molekyle Temperatur Konservering Varighed af stabilitet Bibliografi
Glas
Aerosol   N-acetylcysteine Kommercielt lægemiddelprodukt100 mg/mL  
Aerosol   Formoterol fumarate Kommercielt lægemiddelprodukt20 µg/2mL  
25°C
1 Time
Ikke nærmere angivet 3498
Ikke angivet nærmere
Ingen
Aerosol   N-acetylcysteine Væske182 mg/l  ®=? Acetylcysteine sodium Bristol Myers Squibb®
Aerosol   Levalbuterol Væske0.22 mg/  ®=? Levalbuterol Sepracor®
21-25°C
0.5 Time
Lys 2803
Ikke angivet nærmere
Ingen
Aerosol   N-acetylcysteine Medicinflaske til injektion100 mg =  Mucomyst®
Aerosol   Netilmicin sulfate Medicinflaske til injektion1000 mg   Netromicine®
Aerosol   Betamethasone sodium phosphate Medicinflaske til injektion8 mg = 2  Celestene®
23-27°C
1 Time
Lys 2648
Ikke angivet nærmere
Aerosol   N-acetylcysteine Kommercielt lægemiddelprodukt800 mg/4 ml  Mucomyst®
Aerosol   Arformoterol Kommercielt lægemiddelprodukt15 µg/2 ml  Brovana®
25°C
0.5 Time
Lys 3019
Ikke angivet nærmere
Ingen
Aerosol   N-acetylcysteine Væske90 mg/ml  Acetein®
Aerosol   Ipratropium bromide Væske104 µg/ml  Atrovent®
25°C
1 Time
Ikke nærmere angivet 2787
Ikke angivet nærmere
Ingen
Aerosol   N-acetylcysteine Væske90 mg/ml  Acetein®
Aerosol   Fenoterol Væske243 µg/ml  Berotec®
25°C
7 Time
Ikke nærmere angivet 2787

  Mentions Légales