zadnja posodobitev :
18/03/2026
Različen   N-acetylcysteine  
Aerosol
Brizgalka Kapljice za oči Peroralna raztopina
Stabilnost farmacevtskih preparatov Stabilnost mešanice Faktorji, ki vplivajo na stabilnost Kompatibilnost Viri pdf
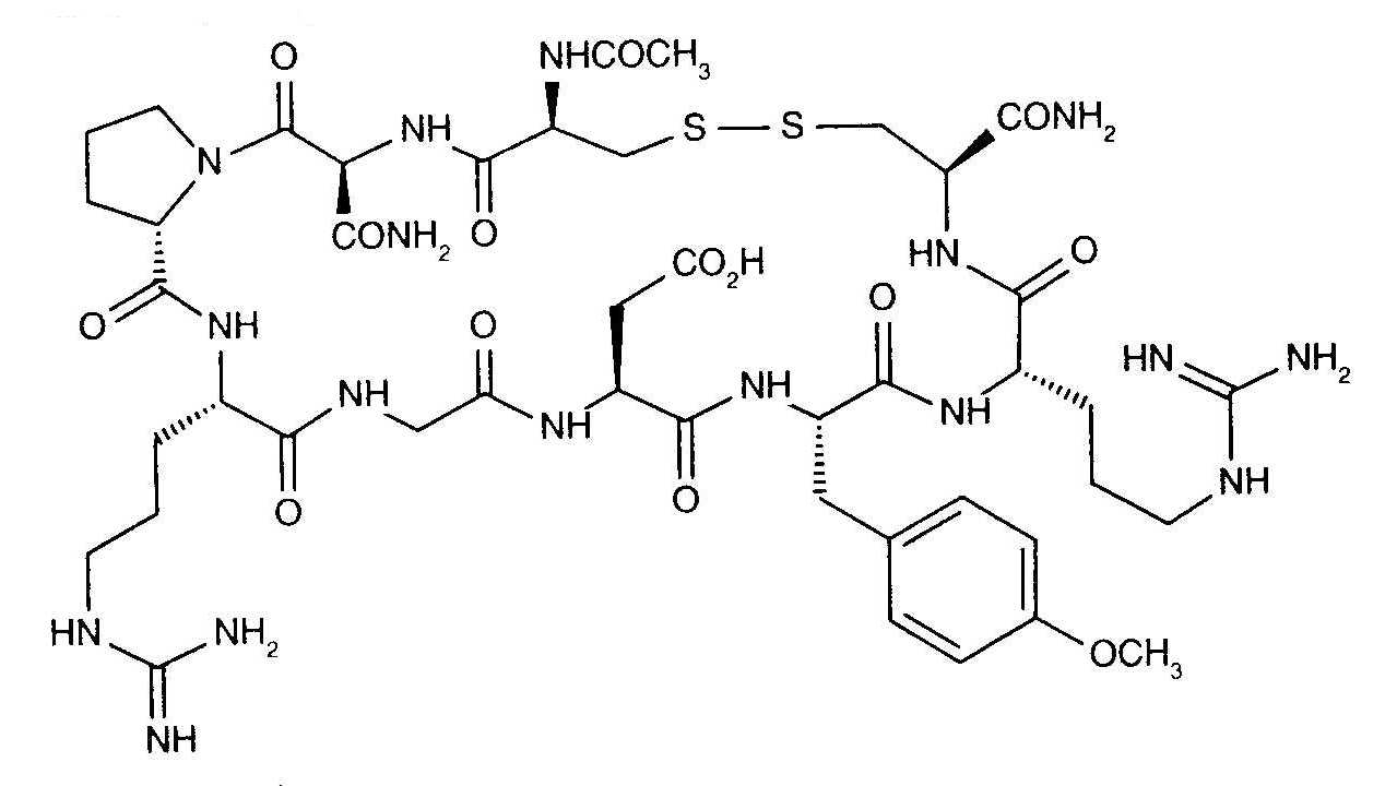
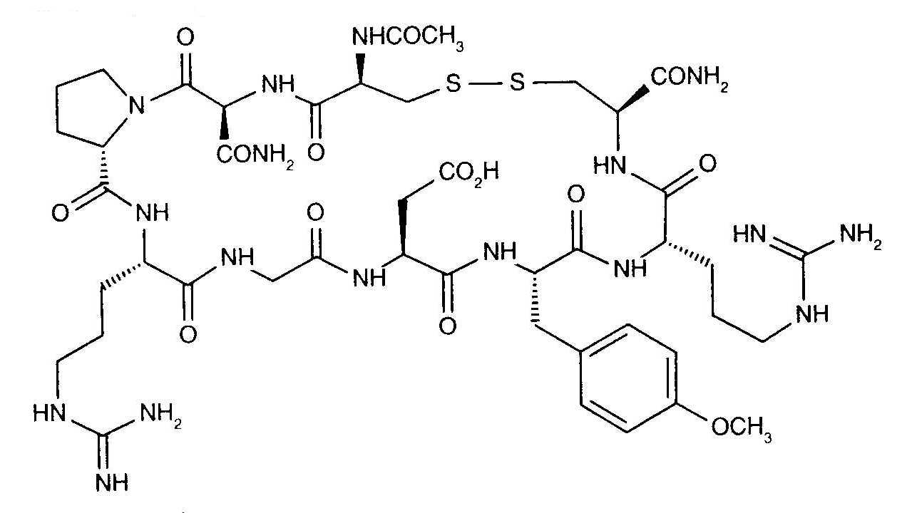
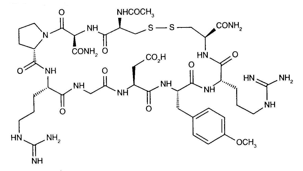
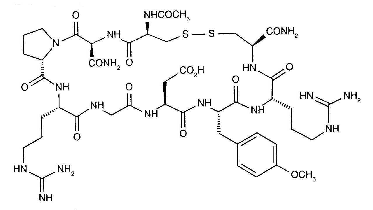
   Kemična formula  

Aerosol
Stabilnost mešanice   Aerosol   Stabilnost mešanice : N-acetylcysteine     
Vsebnik Ekscipient Sestava Temperatura Shranjevanje Trajanje stabilnosti Viri
Steklo
Aerosol   N-acetylcysteine Komercialni drog100 mg/mL  
Aerosol   Formoterol fumarate Komercialni drog20 µg/2mL  
25°C
1 čas
Nedoločeno 3498
Nedoločeno
Nič
Aerosol   N-acetylcysteine Tekočina182 mg/l  ®=? Acetylcysteine sodium Bristol Myers Squibb®
Aerosol   Levalbuterol Tekočina0.22 mg/  ®=? Levalbuterol Sepracor®
21-25°C
0.5 čas
Svetloba 2803
Nedoločeno
Nič
Aerosol   N-acetylcysteine Medicinske steklenica za injiciranje100 mg =  Mucomyst®
Aerosol   Netilmicin sulfate Medicinske steklenica za injiciranje1000 mg   Netromicine®
Aerosol   Betamethasone sodium phosphate Medicinske steklenica za injiciranje8 mg = 2  Celestene®
23-27°C
1 čas
Svetloba 2648
Nedoločeno
Aerosol   N-acetylcysteine Komercialni drog800 mg/4 ml  Mucomyst®
Aerosol   Arformoterol Komercialni drog15 µg/2 ml  Brovana®
25°C
0.5 čas
Svetloba 3019
Nedoločeno
Nič
Aerosol   N-acetylcysteine Tekočina90 mg/ml  Acetein®
Aerosol   Ipratropium bromide Tekočina104 µg/ml  Atrovent®
25°C
1 čas
Nedoločeno 2787
Nedoločeno
Nič
Aerosol   N-acetylcysteine Tekočina90 mg/ml  Acetein®
Aerosol   Fenoterol Tekočina243 µg/ml  Berotec®
25°C
7 čas
Nedoločeno 2787

  Mentions Légales