Dernière mise à jour :
18/03/2026
Divers   N-acetylcysteine  
Aérosol
Collyre injectable Solution buvable
Stabilité des préparations Stabilité en mélange Facteur influençant la stabilité Compatibilités Bibliographie pdf
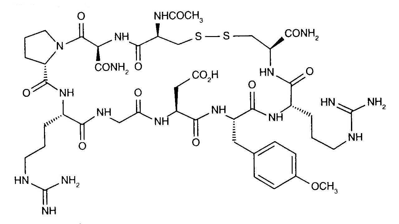
   Structure chimique  

Aérosol
Stabilité en mélange   Aérosol   Stabilité en mélange : N-acetylcysteine     
Contenant Excipient Molécule Température Conservation Durée de stabilité Bibliographie
Verre
Aérosol   N-acetylcysteine Spécialité pharmaceutique100 mg/mL  
Aérosol   Formoterol fumarate Spécialité pharmaceutique20 µg/2mL  
25°C
1 Heure
Non précisée 3498
Non précisé
Aucun
Aérosol   N-acetylcysteine Liquide 182 mg/l  ®=? Acetylcysteine sodium Bristol Myers Squibb®
Aérosol   Levalbuterol Liquide 0.22 mg/  ®=? Levalbuterol Sepracor®
21-25°C
0.5 Heure
Lumière 2803
Non précisé
Aucun
Aérosol   N-acetylcysteine Flacon injectable100 mg =  Mucomyst®
Aérosol   Netilmicin sulfate Flacon injectable1000 mg   Netromicine®
Aérosol   Betamethasone sodium phosphate Flacon injectable8 mg = 2  Celestene®
23-27°C
1 Heure
Lumière 2648
Non précisé
Aérosol   N-acetylcysteine Spécialité pharmaceutique800 mg/4 ml  Mucomyst®
Aérosol   Arformoterol Spécialité pharmaceutique15 µg/2 ml  Brovana®
25°C
0.5 Heure
Lumière 3019
Non précisé
Aucun
Aérosol   N-acetylcysteine Liquide 90 mg/ml  Acetein®
Aérosol   Ipratropium bromide Liquide 104 µg/ml  Atrovent®
25°C
1 Heure
Non précisée 2787
Non précisé
Aucun
Aérosol   N-acetylcysteine Liquide 90 mg/ml  Acetein®
Aérosol   Fenoterol Liquide 243 µg/ml  Berotec®
25°C
7 Heure
Non précisée 2787

  Mentions Légales