Laatste update :
18/03/2026
Diverse   N-acetylcysteine  
Aerosol
injecteerbaar geneesmiddel Oogwater Orale Oplossing
Stabiliteit van farmaceutische preparaten Stabiliteit in mengsels Factoren die de stabiliteit beïnvloeden Verenigbaarheden Literatuur pdf
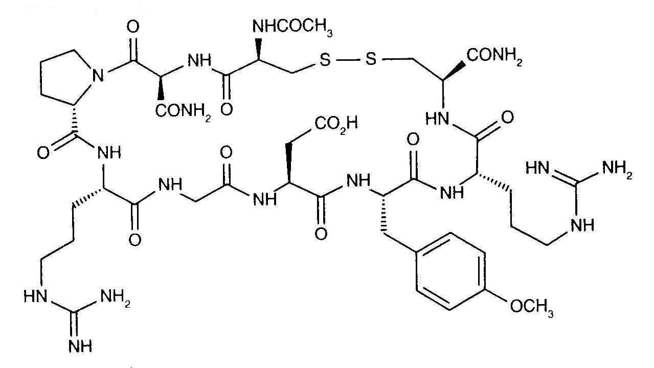
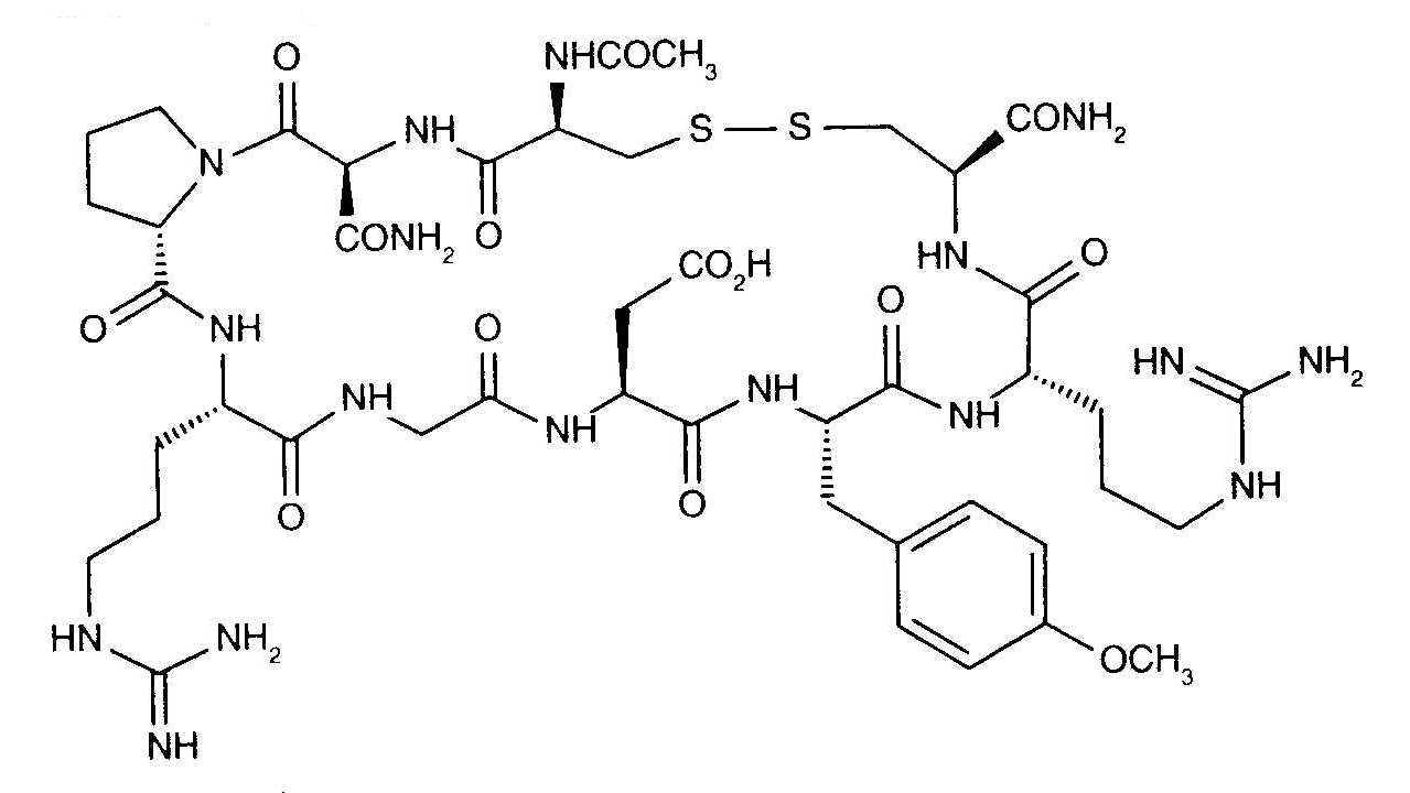
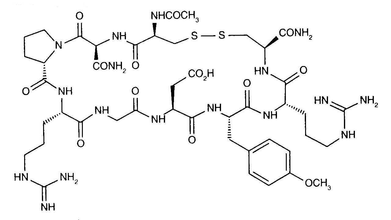
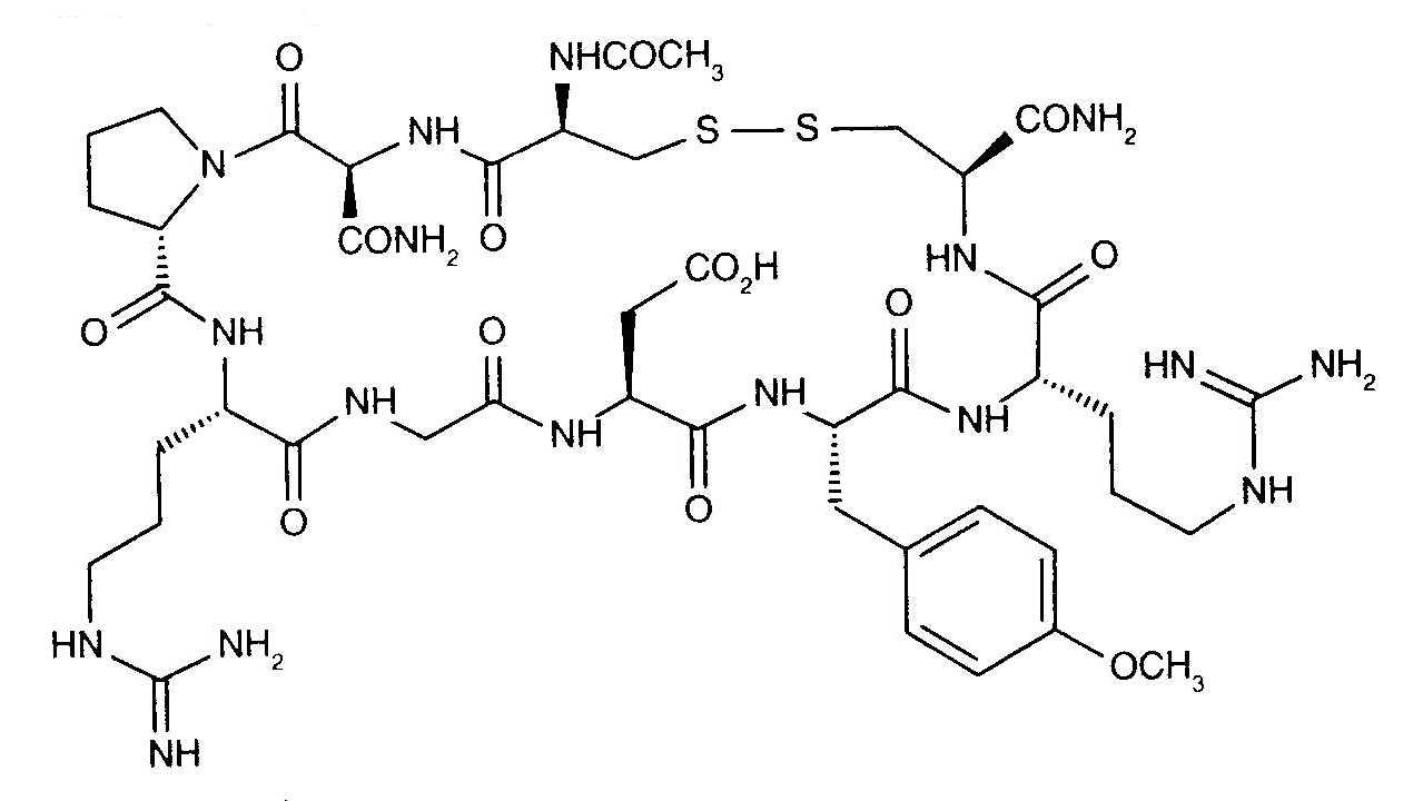
   Molecuulstructuur  

Aerosol
Stabiliteit in mengsels   Aerosol   Stabiliteit in mengsels : N-acetylcysteine     
Verpakking  ikˈsipēənt hulpstof Stof Temperatuur Bewaring Duur van de stabiliteit Literatuur
Glas
Aerosol   N-acetylcysteine Commercieel geneesmiddel100 mg/mL  
Aerosol   Formoterol fumarate Commercieel geneesmiddel20 µg/2mL  
25°C
1 Uur
Niet gespecificeerd 3498
Niet gespecificeerd
Geen
Aerosol   N-acetylcysteine vloeistof182 mg/l  ®=? Acetylcysteine sodium Bristol Myers Squibb®
Aerosol   Levalbuterol vloeistof0.22 mg/  ®=? Levalbuterol Sepracor®
21-25°C
0.5 Uur
Licht 2803
Niet gespecificeerd
Geen
Aerosol   N-acetylcysteine Geneeskunde fles voor injectie100 mg =  Mucomyst®
Aerosol   Netilmicin sulfate Geneeskunde fles voor injectie1000 mg   Netromicine®
Aerosol   Betamethasone sodium phosphate Geneeskunde fles voor injectie8 mg = 2  Celestene®
23-27°C
1 Uur
Licht 2648
Niet gespecificeerd
Aerosol   N-acetylcysteine Commercieel geneesmiddel800 mg/4 ml  Mucomyst®
Aerosol   Arformoterol Commercieel geneesmiddel15 µg/2 ml  Brovana®
25°C
0.5 Uur
Licht 3019
Niet gespecificeerd
Geen
Aerosol   N-acetylcysteine vloeistof90 mg/ml  Acetein®
Aerosol   Ipratropium bromide vloeistof104 µg/ml  Atrovent®
25°C
1 Uur
Niet gespecificeerd 2787
Niet gespecificeerd
Geen
Aerosol   N-acetylcysteine vloeistof90 mg/ml  Acetein®
Aerosol   Fenoterol vloeistof243 µg/ml  Berotec®
25°C
7 Uur
Niet gespecificeerd 2787

  Mentions Légales