Ultimo aggiornamento :
18/03/2026
Altro   N-acetylcysteine  
Aerosol
Collirio Iniezione Soluzione orale
Stabilità dei preparati farmaceutici Stabilità in miscela Fattori che influenzano la stabilità Compatibilità Bibliografia pdf
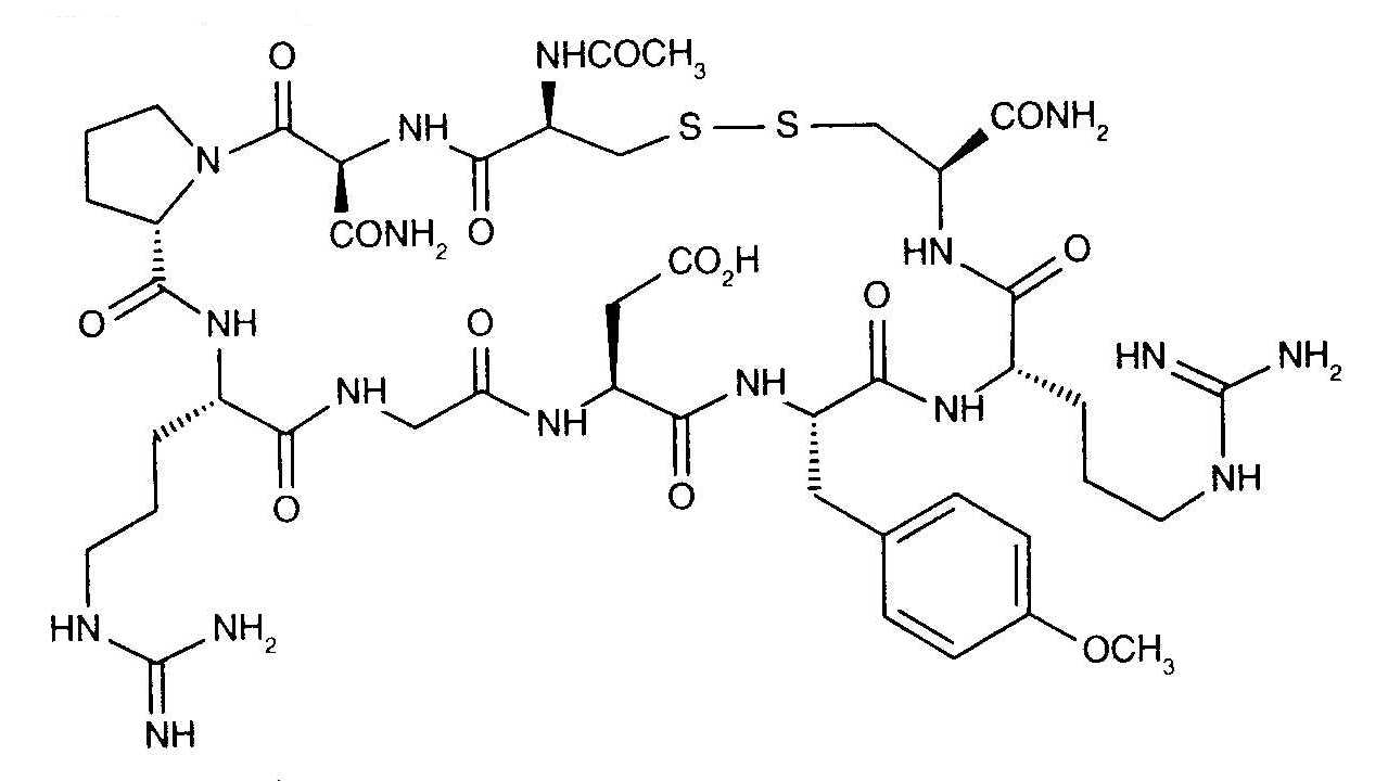
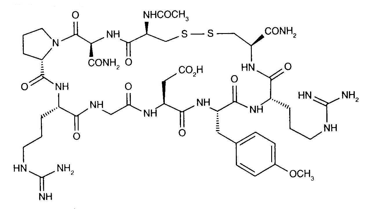
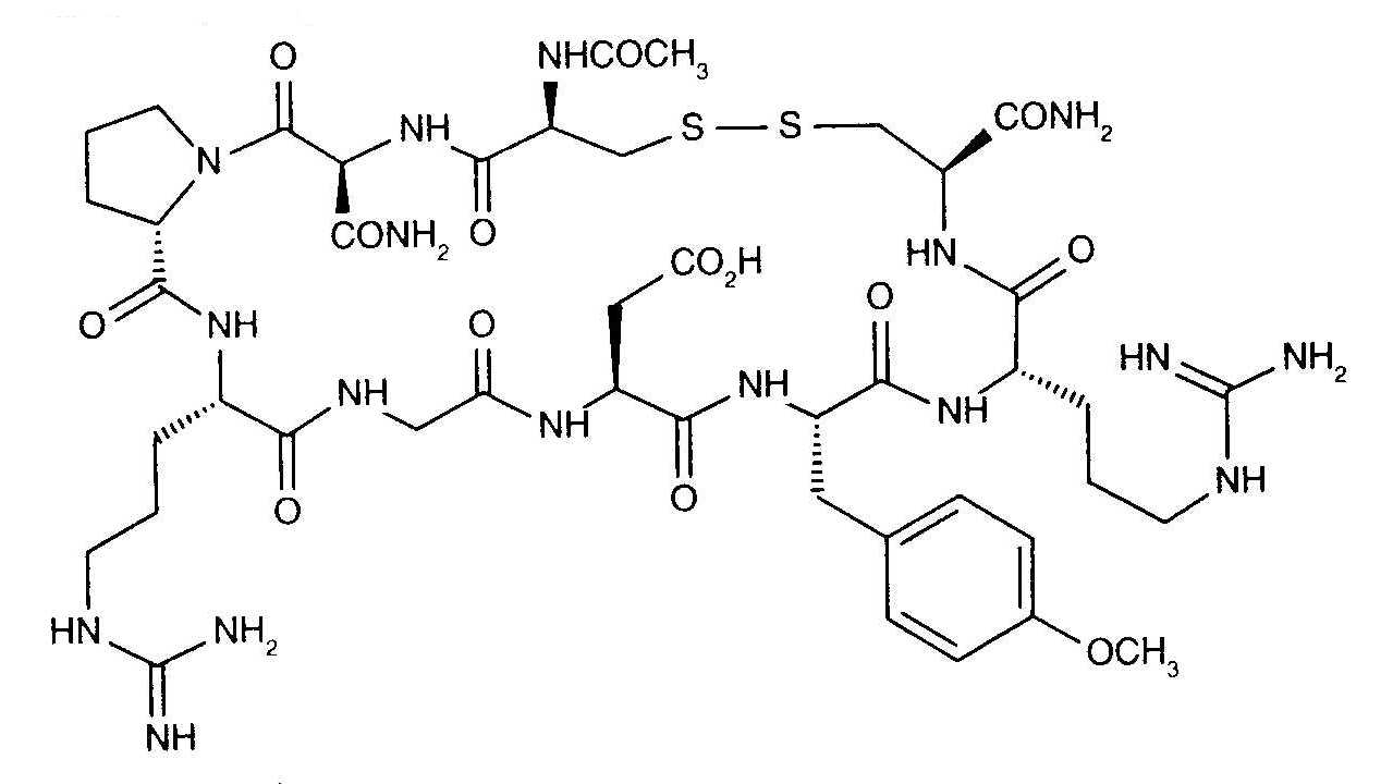
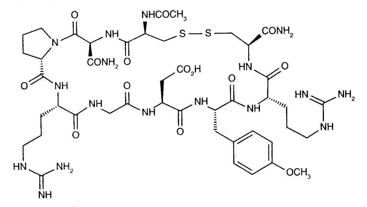
   Struttura chimica  

Aerosol
Stabilità in miscela   Aerosol   Stabilità in miscela : N-acetylcysteine     
contenitore eccipiente Molecola Temperatura Conservazione Durata della stabilità Bibliografia
Vetro
Aerosol   N-acetylcysteine Prodotto farmaceutico commerciale100 mg/mL  
Aerosol   Formoterol fumarate Prodotto farmaceutico commerciale20 µg/2mL  
25°C
1 Ora
Non precisata 3498
Non precisato
Nessuno
Aerosol   N-acetylcysteine liquido182 mg/l  ®=? Acetylcysteine sodium Bristol Myers Squibb®
Aerosol   Levalbuterol liquido0.22 mg/  ®=? Levalbuterol Sepracor®
21-25°C
0.5 Ora
Luce 2803
Non precisato
Nessuno
Aerosol   N-acetylcysteine Bottiglia di medicina per l'iniezione100 mg =  Mucomyst®
Aerosol   Netilmicin sulfate Bottiglia di medicina per l'iniezione1000 mg   Netromicine®
Aerosol   Betamethasone sodium phosphate Bottiglia di medicina per l'iniezione8 mg = 2  Celestene®
23-27°C
1 Ora
Luce 2648
Non precisato
Aerosol   N-acetylcysteine Prodotto farmaceutico commerciale800 mg/4 ml  Mucomyst®
Aerosol   Arformoterol Prodotto farmaceutico commerciale15 µg/2 ml  Brovana®
25°C
0.5 Ora
Luce 3019
Non precisato
Nessuno
Aerosol   N-acetylcysteine liquido90 mg/ml  Acetein®
Aerosol   Ipratropium bromide liquido104 µg/ml  Atrovent®
25°C
1 Ora
Non precisata 2787
Non precisato
Nessuno
Aerosol   N-acetylcysteine liquido90 mg/ml  Acetein®
Aerosol   Fenoterol liquido243 µg/ml  Berotec®
25°C
7 Ora
Non precisata 2787

  Mentions Légales