Останнє оновлення :
27/11/2025
Антибіотик   Tobramycin sulfate   
Очні краплі
ін'єкція аерозоль Розчин для перорального застосування
Стабільність фармацевтичних препаратів Стійкість сумішей Фактори, що впливають на стабільність Сумісність Список літератури pdf
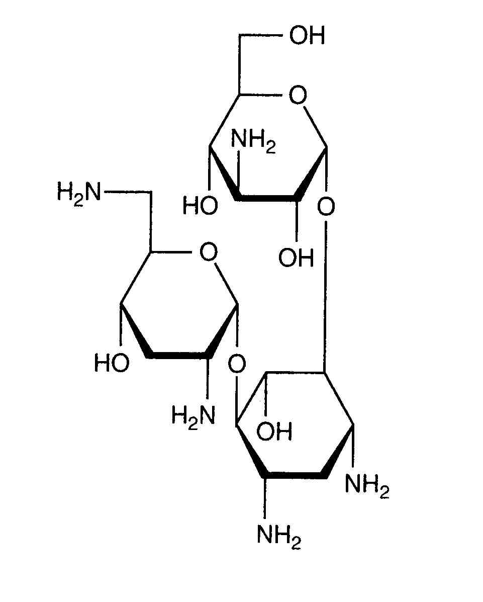
   Хімічна структура  

Очні краплі
Список літератури   Очні краплі   Список літератури : Tobramycin sulfate   
Тип Публікація
2487 журнал McBride HA, Martinez DR, Trang JM, Lander RD, Helms HA.
Stability of gentamicin sulfate and tobramycin sulfate in extemporaneously prepared ophthalmic solutions at 8 degrees C
Am J Hosp Pharm 1991 ; 48: 507-509.

  Mentions Légales