Letztes “update” :
27/11/2025
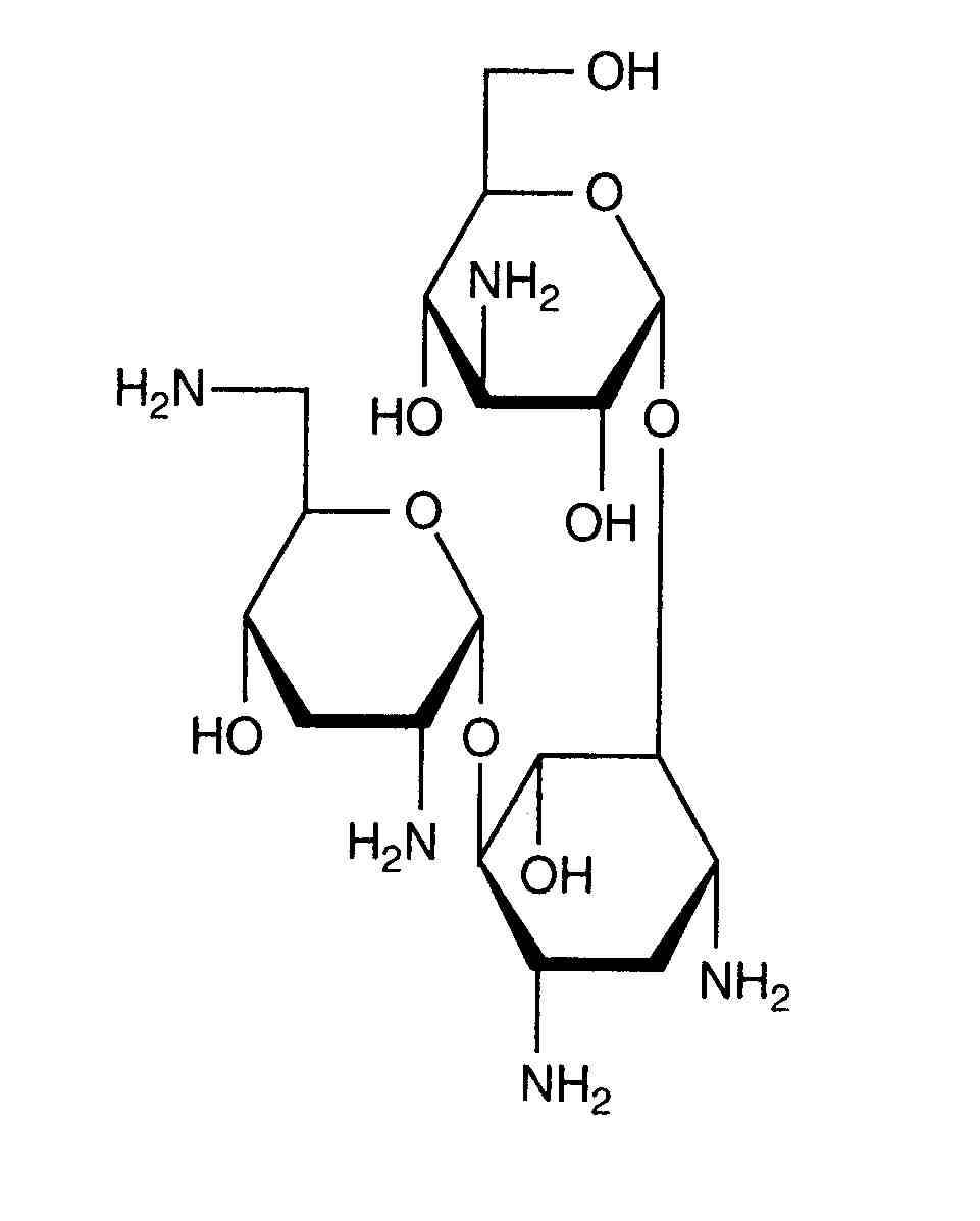
Antibiotikum   Tobramycin sulfate   
Augentropfen
Aerosol Injektion Lösung zum Einnehmen
Stabilität von pharmazeutischen Präparaten Gemengestabilität Stabilitätbeeinflussende Faktoren Kompatibilitäten Literaturverzeichnis pdf
   Chemische Struktur  

Augentropfen
Literaturverzeichnis   Augentropfen   Literaturverzeichnis : Tobramycin sulfate   
Typ Veröffentlichung
2487 Zeitung McBride HA, Martinez DR, Trang JM, Lander RD, Helms HA.
Stability of gentamicin sulfate and tobramycin sulfate in extemporaneously prepared ophthalmic solutions at 8 degrees C
Am J Hosp Pharm 1991 ; 48: 507-509.

  Mentions Légales