Poslední aktualizace :
17/12/2025
Antibiotikum   Tobramycin sulfate   
Humbuk
Aerosol injekce Perorální roztok
Stabilita farmaceutických přípravků Stabilita směsí Faktory ovlivňující stabilitu Kompatibilita Odkazy pdf
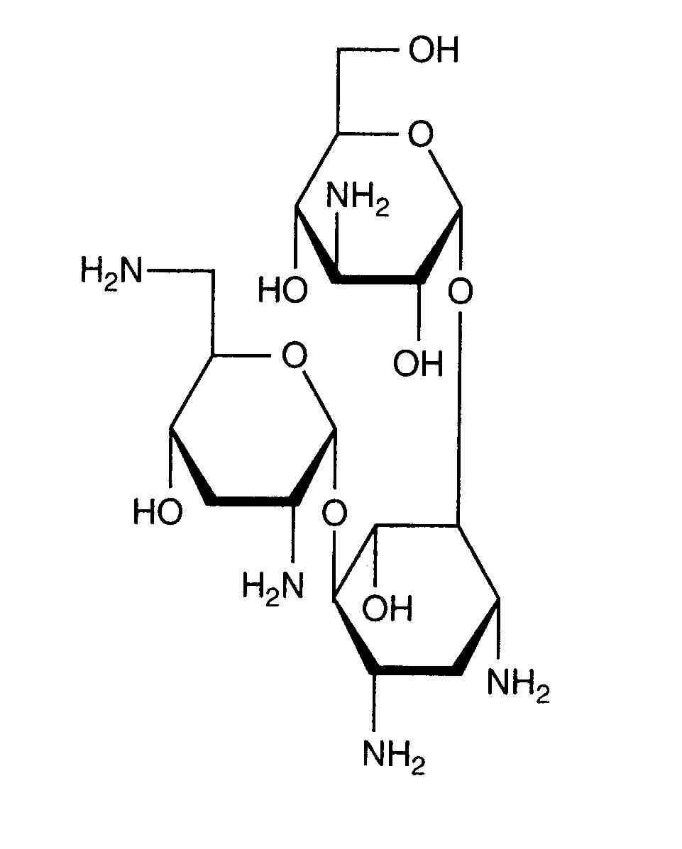
   Chemický vzorec  

Humbuk
Odkazy   Humbuk   Odkazy : Tobramycin sulfate   
typ uveřejnění
2487 noviny McBride HA, Martinez DR, Trang JM, Lander RD, Helms HA.
Stability of gentamicin sulfate and tobramycin sulfate in extemporaneously prepared ophthalmic solutions at 8 degrees C
Am J Hosp Pharm 1991 ; 48: 507-509.

  Mentions Légales