Последно актуализиране :
17/12/2025
Антибиотик   Tobramycin sulfate   
Капки за очи
Аерозол Инжекция/Инжекционен Орален разтвор
Стабилност на лекарствени препарати Стабилност на смеси Фактори, повлияващи стабилността Съвместимост Библиография Pdf
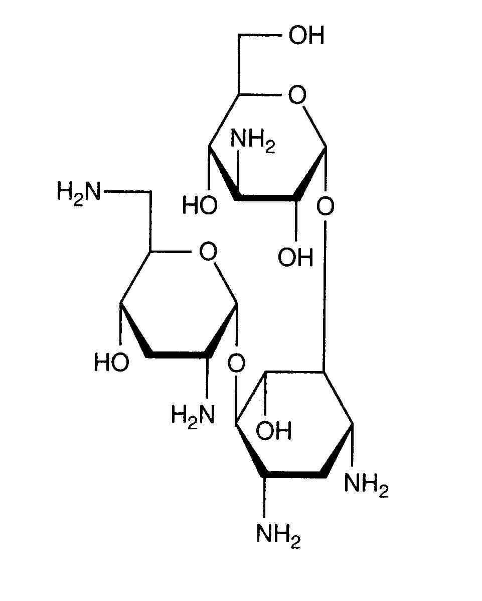
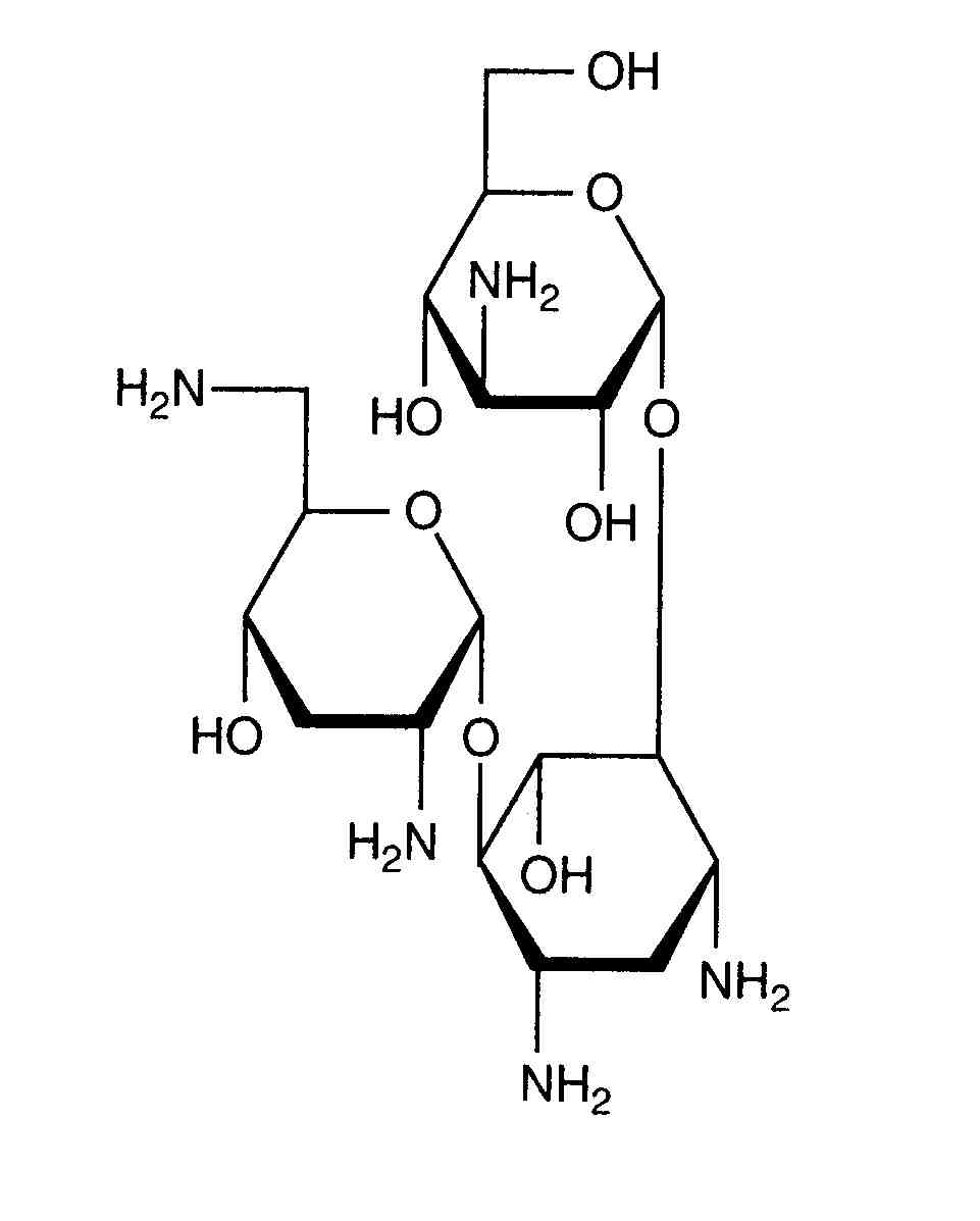
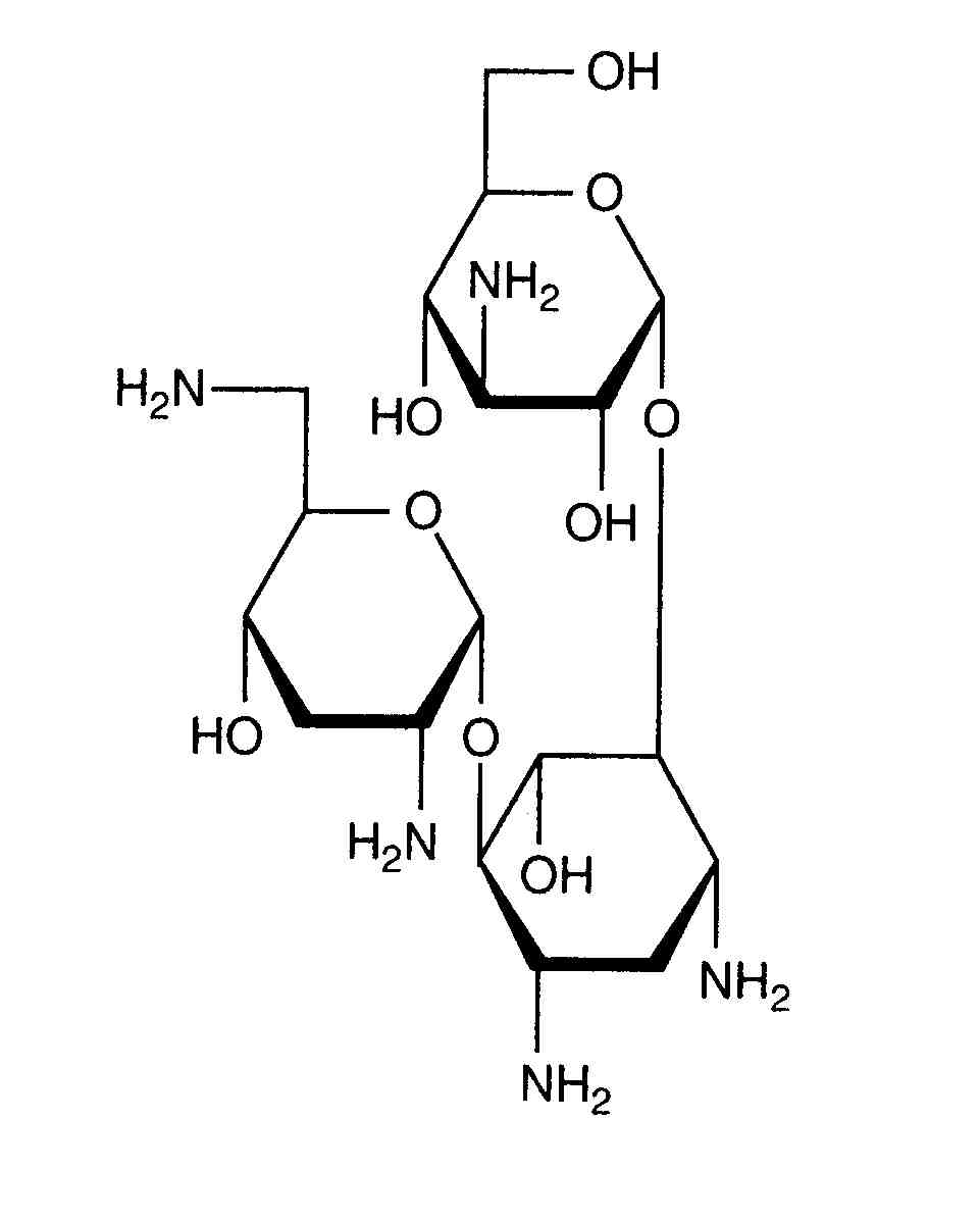
   Химична структура  

Капки за очи
Библиография   Капки за очи   Библиография : Tobramycin sulfate   
Вид Публикация
2487 Списание McBride HA, Martinez DR, Trang JM, Lander RD, Helms HA.
Stability of gentamicin sulfate and tobramycin sulfate in extemporaneously prepared ophthalmic solutions at 8 degrees C
Am J Hosp Pharm 1991 ; 48: 507-509.

  Mentions Légales