Poslední aktualizace :
17/12/2025
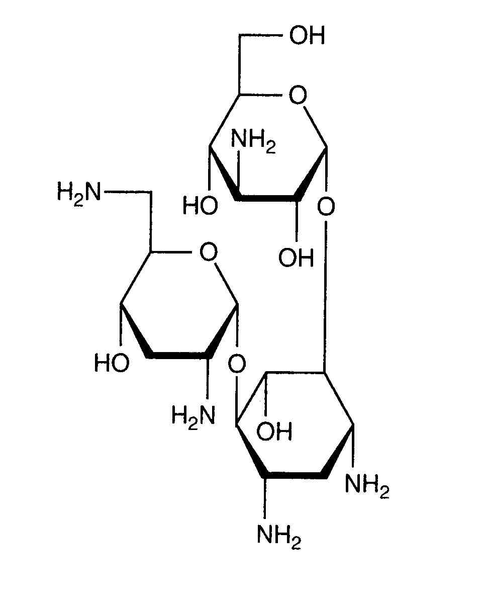
Antibiotikas   Tobramycin sulfate   
Akių lašai
Aerozolis Geriamas tirpalas Įpurškimas
Stabilumas farmacinių preparatų Mišinių stabilumas Stabilumą lemiantys veiksniai Suderinamumas Bibliografija pdf
   Cheminė sandara  

Akių lašai
Bibliografija   Akių lašai   Bibliografija : Tobramycin sulfate   
tipas leidinys
2487 Žurnalas McBride HA, Martinez DR, Trang JM, Lander RD, Helms HA.
Stability of gentamicin sulfate and tobramycin sulfate in extemporaneously prepared ophthalmic solutions at 8 degrees C
Am J Hosp Pharm 1991 ; 48: 507-509.

  Mentions Légales