Última actualización :
17/12/2025
Antibiótico   Tobramycin sulfate   
Gotas oculares
Aerosol Inyectables Solución Oral
La estabilidad de las preparaciones farmacéuticas Estabilidad en mezcla Factores que influyen sobre la estabilidad Compatibilidades Bibliografía pdf
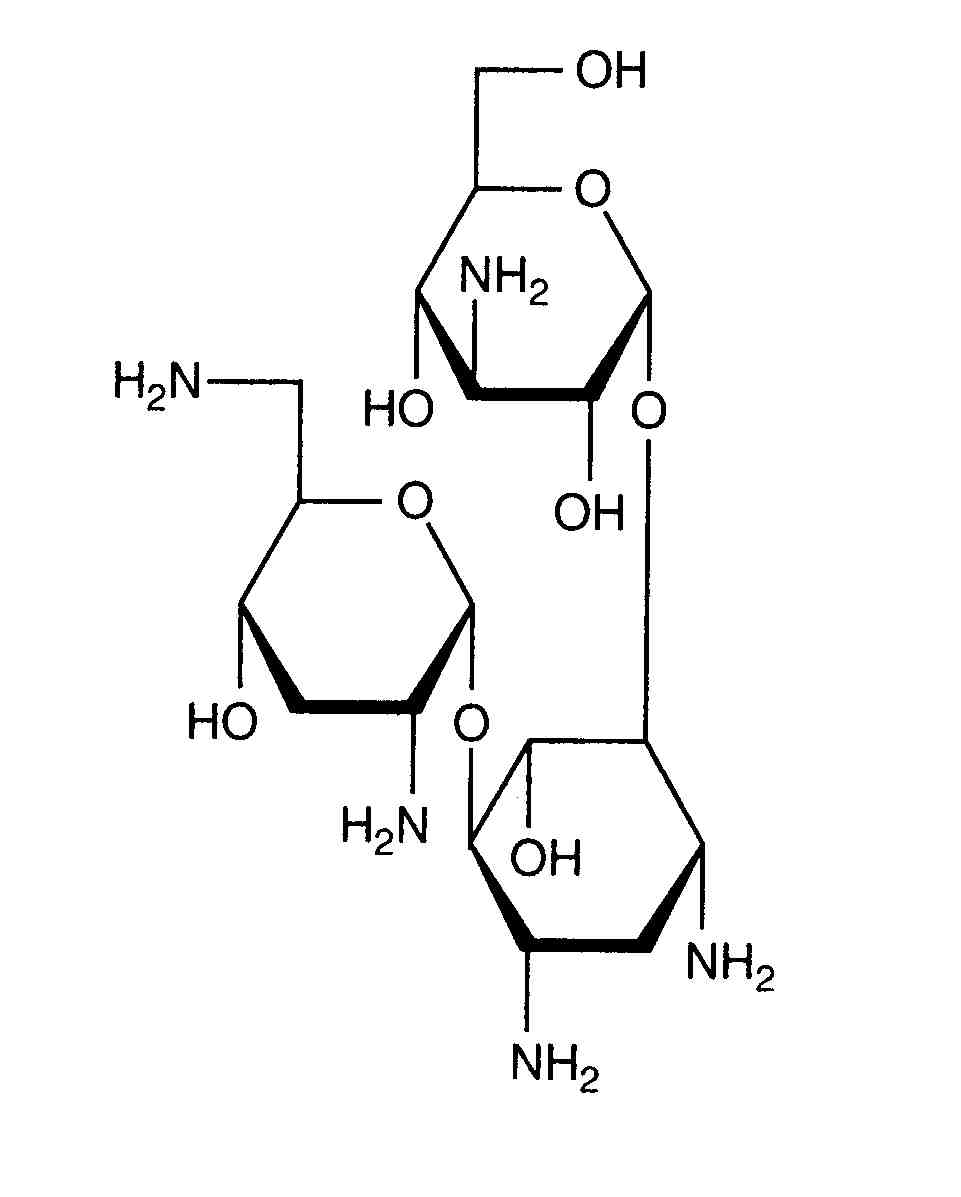
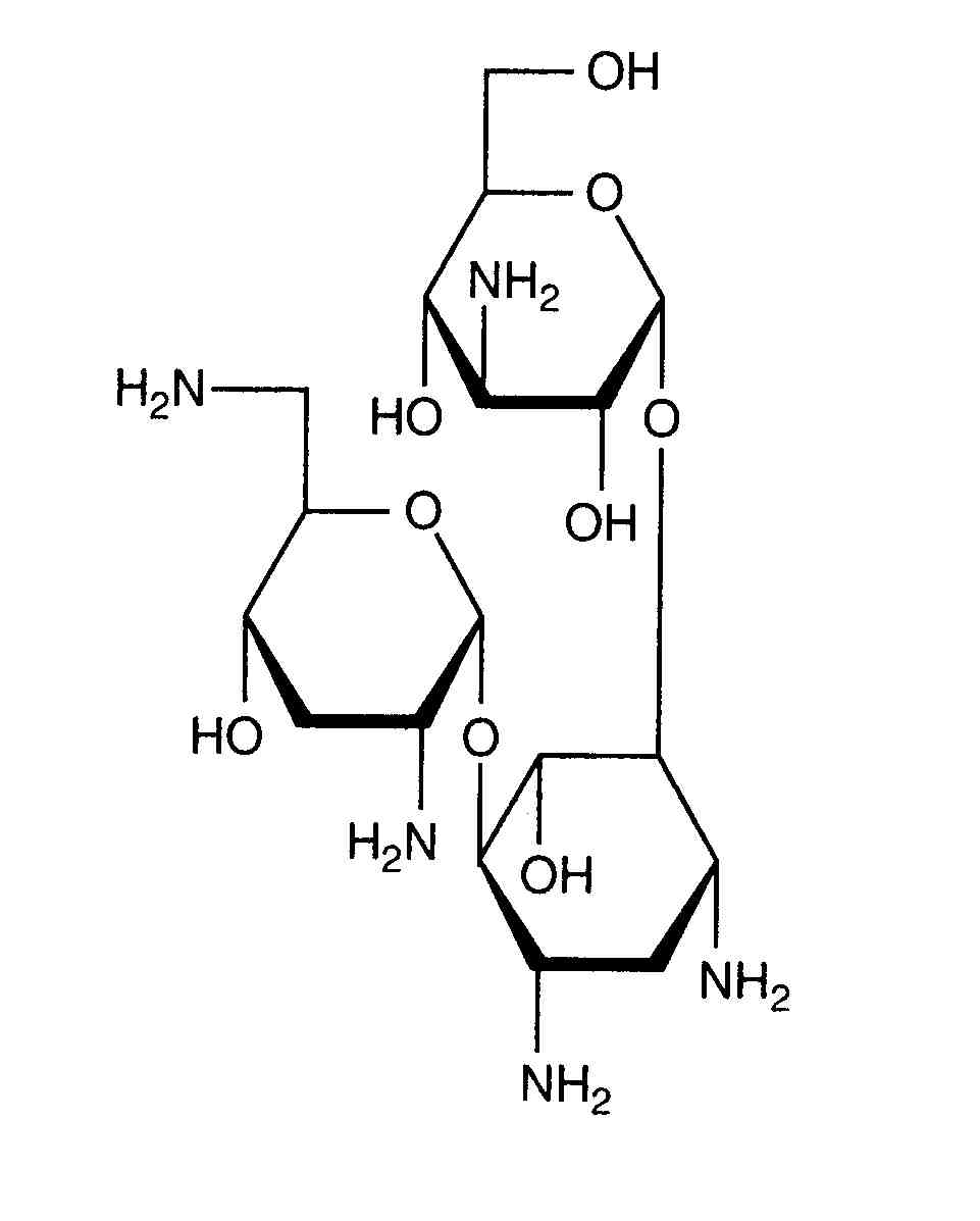
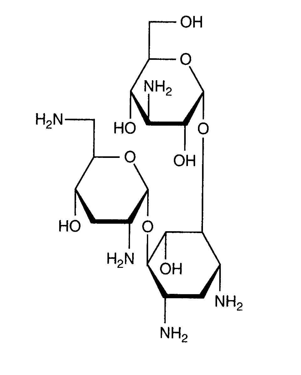
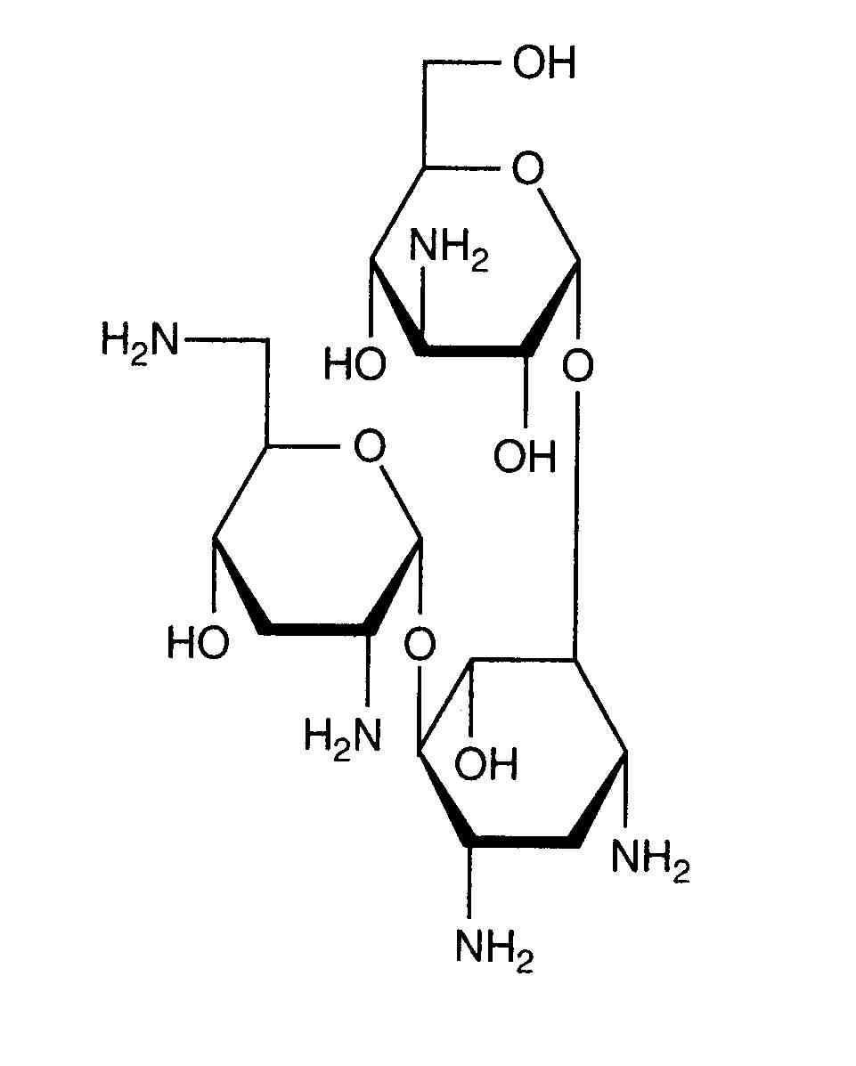
   Estructura química  

Gotas oculares
Bibliografía   Gotas oculares   Bibliografía : Tobramycin sulfate   
Tipo Publicación
2487 periódico McBride HA, Martinez DR, Trang JM, Lander RD, Helms HA.
Stability of gentamicin sulfate and tobramycin sulfate in extemporaneously prepared ophthalmic solutions at 8 degrees C
Am J Hosp Pharm 1991 ; 48: 507-509.

  Mentions Légales