Τελευταία ενημέρωση :
17/12/2025
Αντιβιοτικό   Tobramycin sulfate   
Οφθαλμικές σταγόνες
Αεροζόλ Ενέσιμο Πόσιμο διάλυμα
Σταθερότητα και συμβατότητα των φαρμάκων Σταθερότητα σε μίγματα Παράγοντας που επηρεάζει τη σταθερότητα Συμβατότητες Βιβλιογραφία pdf
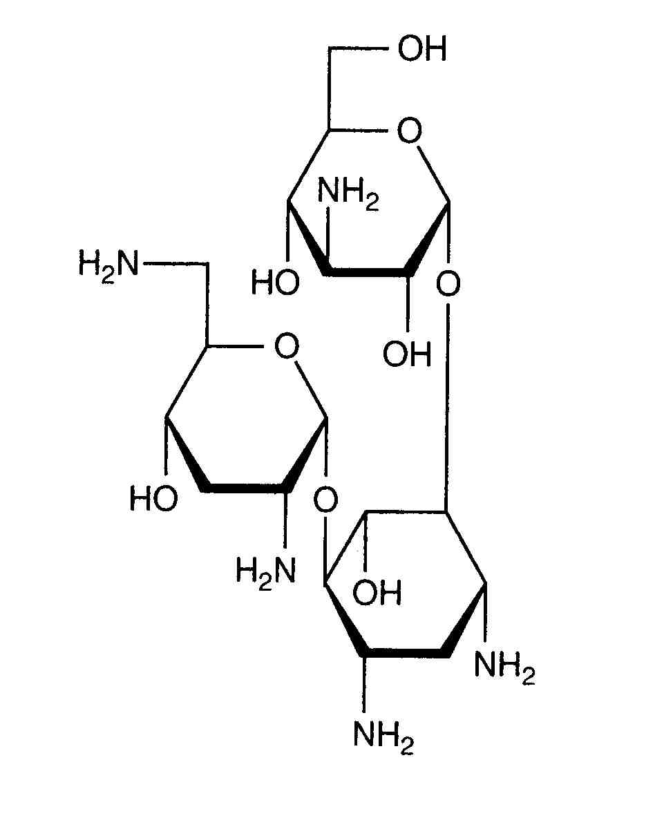
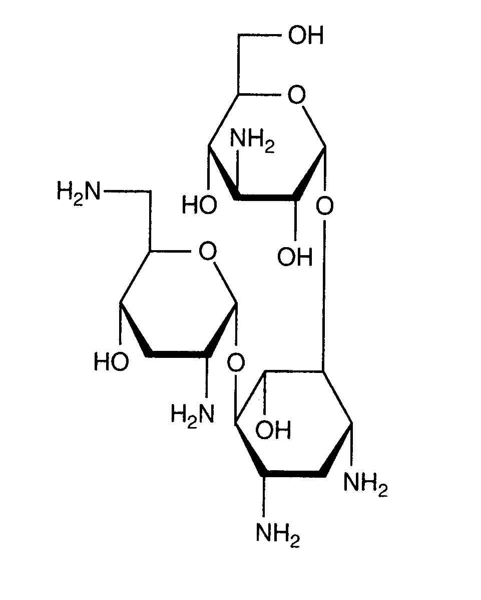
   χημική δομή  

Οφθαλμικές σταγόνες
Βιβλιογραφία   Οφθαλμικές σταγόνες   Βιβλιογραφία : Tobramycin sulfate   
τύπος δημοσίευση
2487 εφημερίδα McBride HA, Martinez DR, Trang JM, Lander RD, Helms HA.
Stability of gentamicin sulfate and tobramycin sulfate in extemporaneously prepared ophthalmic solutions at 8 degrees C
Am J Hosp Pharm 1991 ; 48: 507-509.

  Mentions Légales