zadnja posodobitev :
17/12/2025
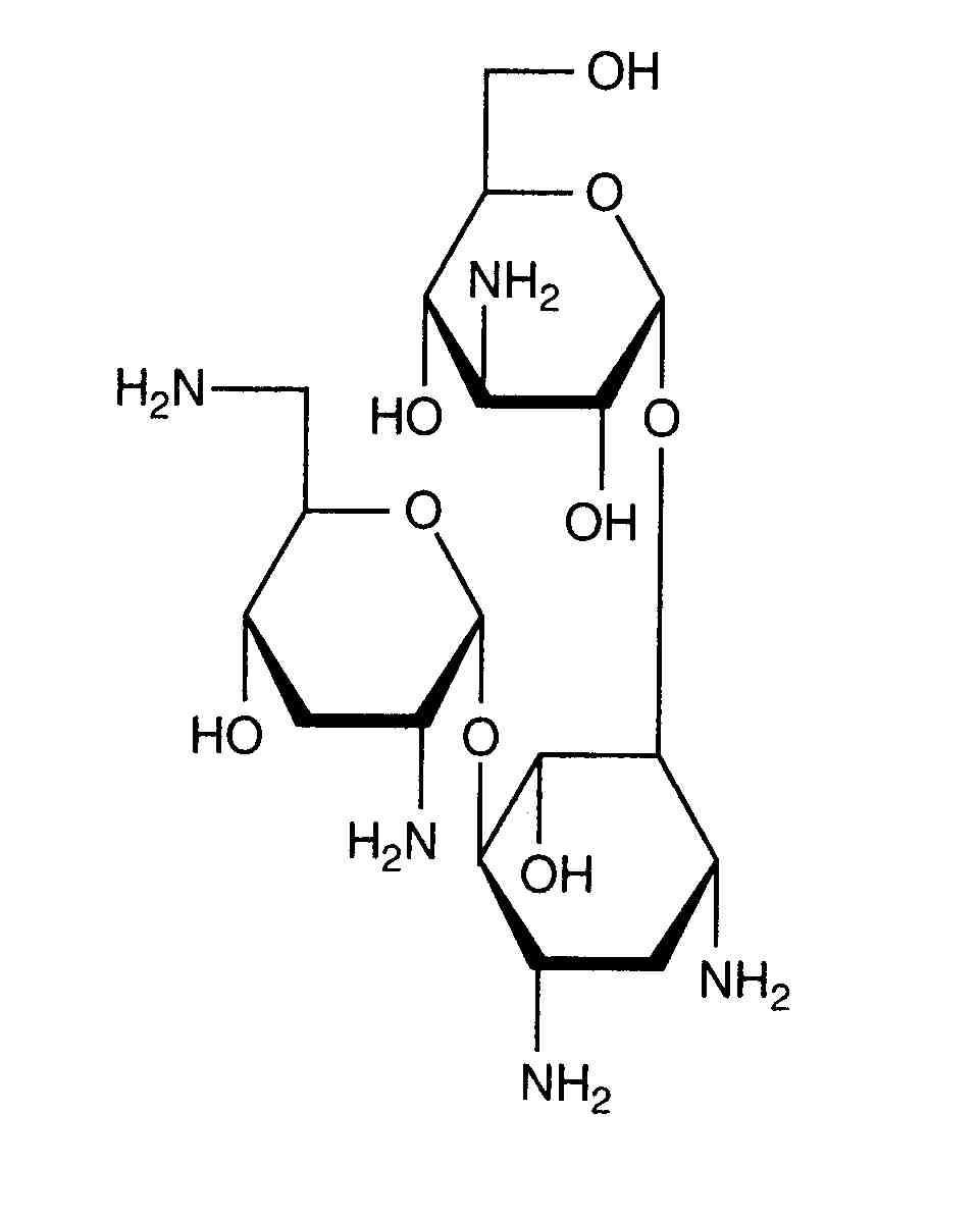
Antibiotik   Tobramycin sulfate   
Kapljice za oči
Aerosol Brizgalka Peroralna raztopina
Stabilnost farmacevtskih preparatov Stabilnost mešanice Faktorji, ki vplivajo na stabilnost Kompatibilnost Viri pdf
   Kemična formula  

Kapljice za oči
Viri   Kapljice za oči   Viri : Tobramycin sulfate   
Tip objava
2487 časopis McBride HA, Martinez DR, Trang JM, Lander RD, Helms HA.
Stability of gentamicin sulfate and tobramycin sulfate in extemporaneously prepared ophthalmic solutions at 8 degrees C
Am J Hosp Pharm 1991 ; 48: 507-509.

  Mentions Légales