Última actualização :
17/12/2025
antibiótico   Tobramycin sulfate   
solução oftálmica
aerossol injetável Solução Oral
Estabilidade de preparações farmacêuticas Estabilidade em misturas Factores que afectam a sua estabilidade Compatibilidade Bibliografía pdf
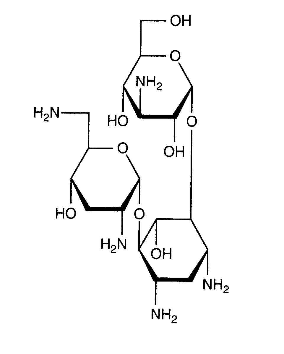
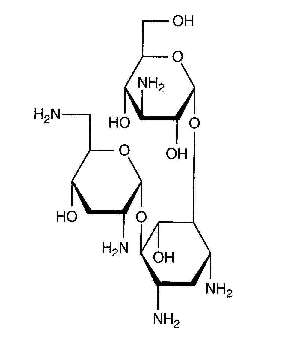
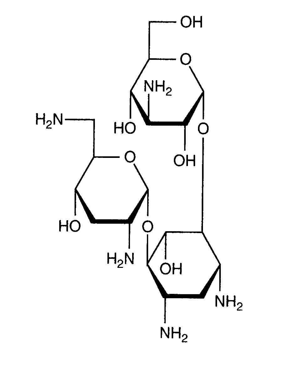
   estrutura química  

solução oftálmica
Bibliografía   solução oftálmica   Bibliografía : Tobramycin sulfate   
tipo publicação
2487 jornal McBride HA, Martinez DR, Trang JM, Lander RD, Helms HA.
Stability of gentamicin sulfate and tobramycin sulfate in extemporaneously prepared ophthalmic solutions at 8 degrees C
Am J Hosp Pharm 1991 ; 48: 507-509.

  Mentions Légales