Dernière mise à jour :
05/12/2025
Infostab
Liste des molécules
Listes récapitulatives
Recherches de compatibilités
Tableau de compatibilités en Y
Bibliographie
Equipes de recherche
Valistab
Posters
Liens infostab
Partenaires
Auteurs
Manuel d'utilisation
Lettre d'actualité
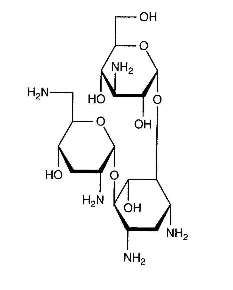
Tobramycin sulfate
Structure chimique
Bibliographie : Tobramycin sulfate
Type
Source
2487
Revue
McBride HA, Martinez DR, Trang JM, Lander RD, Helms HA.
Stability of gentamicin sulfate and tobramycin sulfate in extemporaneously prepared ophthalmic solutions at 8 degrees C
Am J Hosp Pharm 1991 ; 48: 507-509.
Mentions Légales