Senaste uppdateringen :
17/12/2025
Antibiotikum   Tobramycin sulfate   
ögondroppar
Aerosol injektion Oral lösning
Stabilitet av läkemedel Stabilitet i blandningar Faktorer som påverkar stabiliteten Kompatibilitet Hänvisningar pdf
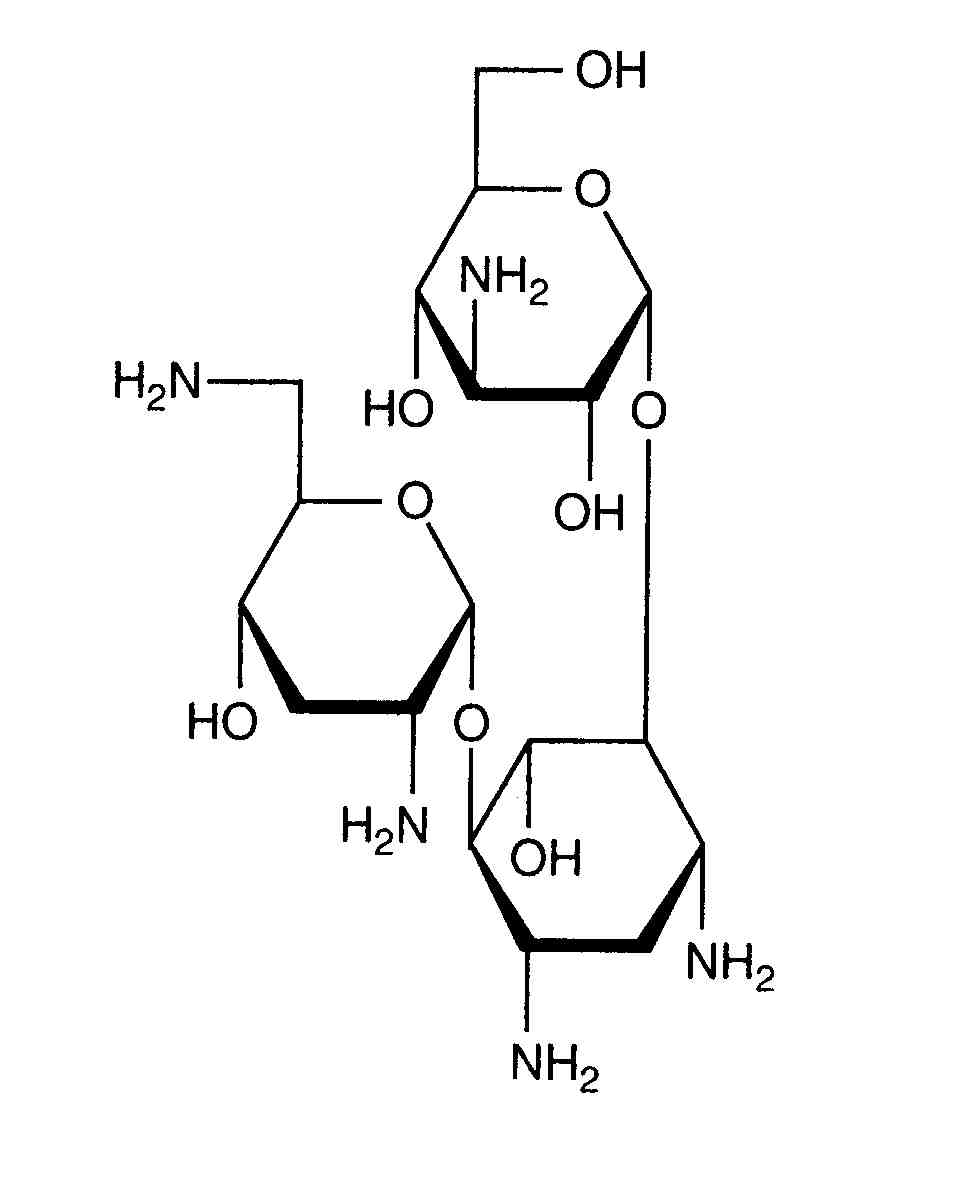
   Molekylstruktur  

ögondroppar
Hänvisningar   ögondroppar   Hänvisningar : Tobramycin sulfate   
Typ Publikation
2487 tidningen McBride HA, Martinez DR, Trang JM, Lander RD, Helms HA.
Stability of gentamicin sulfate and tobramycin sulfate in extemporaneously prepared ophthalmic solutions at 8 degrees C
Am J Hosp Pharm 1991 ; 48: 507-509.

  Mentions Légales