Pēdējā atjaunošana :
17/12/2025
Antibiotika   Tobramycin sulfate   
Acu pilieni
Aerosols Injekcija Orāls šķīdums
Stabilitāte farmaceitisko preparātu Maisījuma stabilitāte Stabilitāti ietekmējoši faktori Saderība Literatūras saraksts pdf
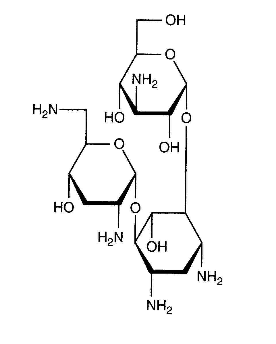
   Ķīmiskā uzbūve   

Acu pilieni
Literatūras saraksts   Acu pilieni   Literatūras saraksts : Tobramycin sulfate   
tips publicēšana
2487 Žurnāls McBride HA, Martinez DR, Trang JM, Lander RD, Helms HA.
Stability of gentamicin sulfate and tobramycin sulfate in extemporaneously prepared ophthalmic solutions at 8 degrees C
Am J Hosp Pharm 1991 ; 48: 507-509.

  Mentions Légales