Posledná aktualizácia :
27/11/2025
antibiotikum   Tobramycin sulfate   
Očná instilácia
Aerosól Injekcia Perorálny roztok
Stabilita farmaceutických prípravkov Stabilita v zmesiach Faktory ovplyvňujúce stabilitu Kompatibility Odkazy na literatúru PDF
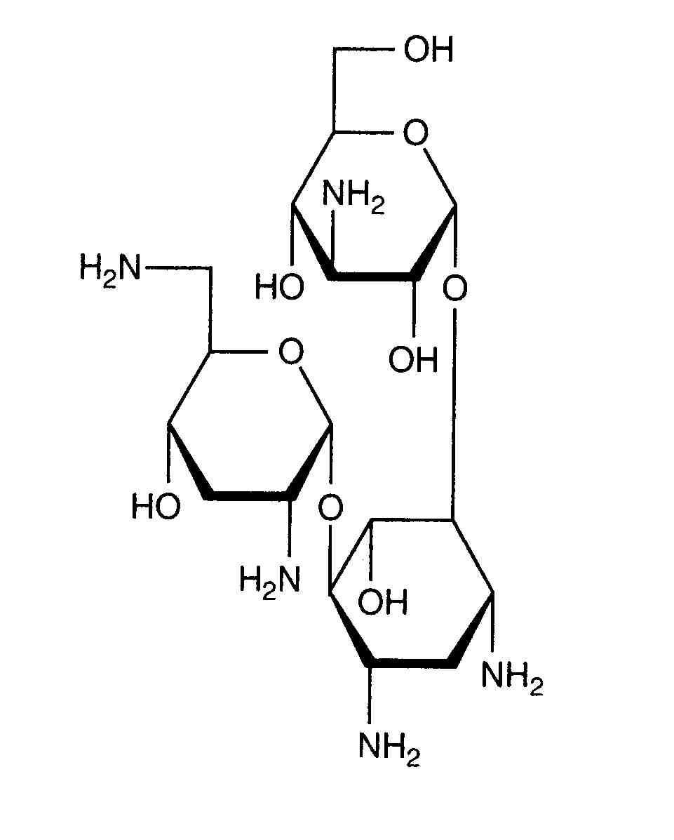
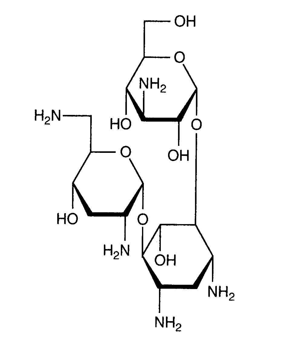
   Chemický vzorec  

Očná instilácia
Odkazy na literatúru   Očná instilácia   Odkazy na literatúru : Tobramycin sulfate   
Typ Publikácia
2487 Časopis McBride HA, Martinez DR, Trang JM, Lander RD, Helms HA.
Stability of gentamicin sulfate and tobramycin sulfate in extemporaneously prepared ophthalmic solutions at 8 degrees C
Am J Hosp Pharm 1991 ; 48: 507-509.

  Mentions Légales