Son güncelleme :
18/03/2026
Antifungal   Amphotericin B  
Gargara
Aerosol Enjeksiyon Göz damlası Oral solüsyon / oral çözelti
Farmasötik preparatlar Kararlılığı Karışımlardaki stabilitesi Stabiliteyi etkileyen faktörler Uyumluluk Kaynaklar pdf
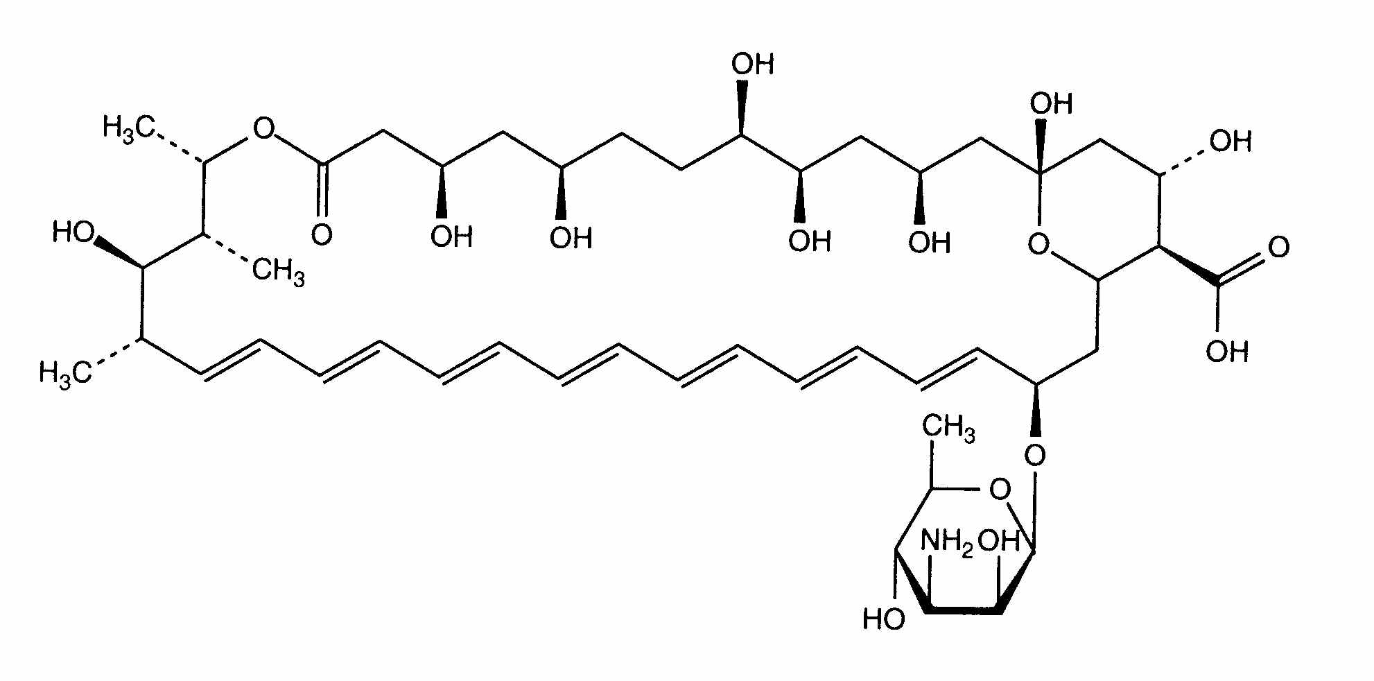
   Kimyasal yapı   

Gargara
Uyumluluk   Gargara   Uyumluluk : Amphotericin B              
veri yok

  Mentions Légales