Senaste uppdateringen :
18/03/2026
Antimykotikum   Amphotericin B  
Munvatten
Aerosol injektion ögondroppar Oral lösning
Stabilitet av läkemedel Stabilitet i blandningar Faktorer som påverkar stabiliteten Kompatibilitet Hänvisningar pdf
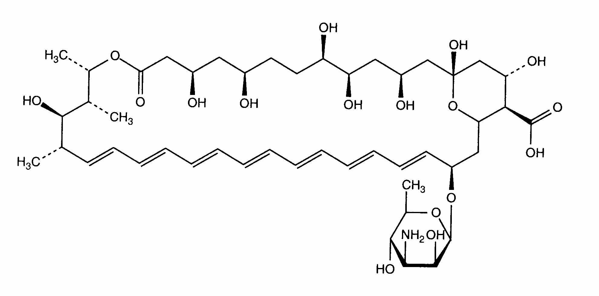
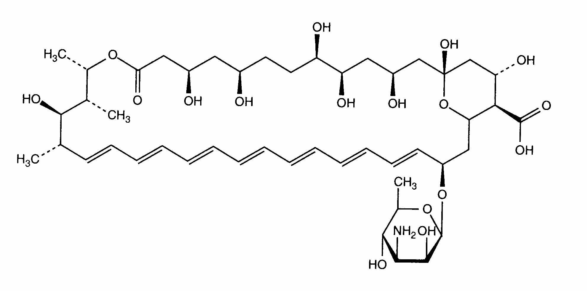
   Molekylstruktur  

Munvatten
Kompatibilitet   Munvatten   Kompatibilitet : Amphotericin B              
Ingen uppgift

  Mentions Légales