Viimeisin päivitys :
18/03/2026
Sienilääkkeet   Amphotericin B  
Suuvesi
Aerosoli Injektioneste Oraaliliuos Silmätipat
Vakaus lääkevalmisteen Stabilius seoksissa Tekijät, jotka vaikuttavat stabiliuteen Yhteensopivuus Viitteet pdf
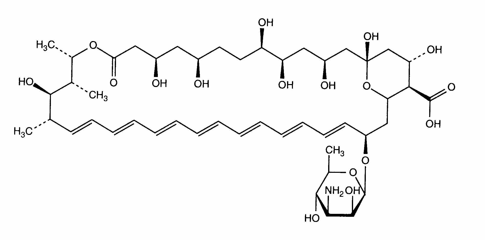
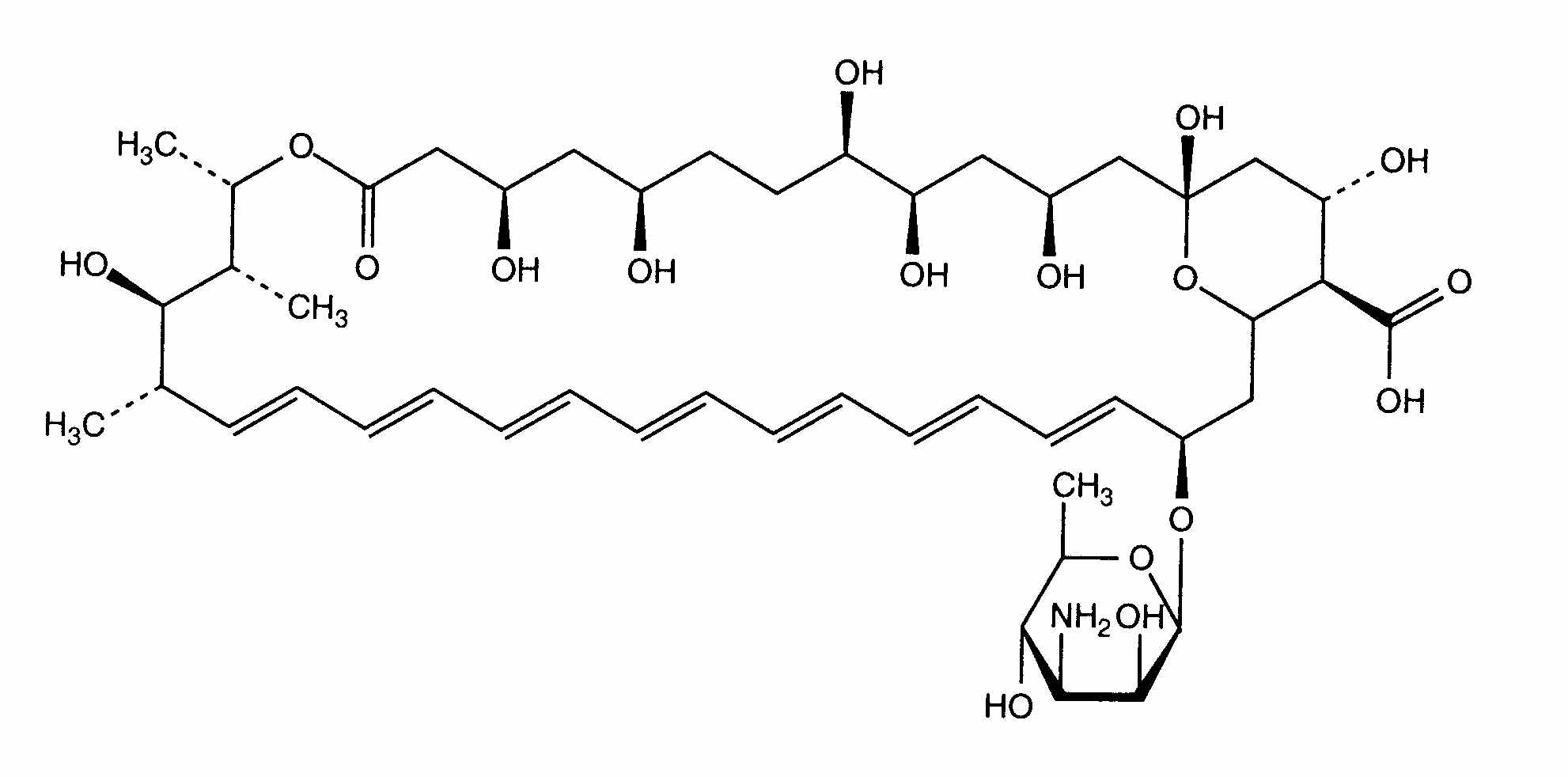
   Kemiallinen rakenne  

Suuvesi
Yhteensopivuus   Suuvesi   Yhteensopivuus : Amphotericin B              
ei tietoa

  Mentions Légales